Студопедия

Главная страница Случайная страница

КАТЕГОРИИ:

АвтомобилиАстрономияБиологияГеографияДом и садДругие языкиДругоеИнформатикаИсторияКультураЛитератураЛогикаМатематикаМедицинаМеталлургияМеханикаОбразованиеОхрана трудаПедагогикаПолитикаПравоПсихологияРелигияРиторикаСоциологияСпортСтроительствоТехнологияТуризмФизикаФилософияФинансыХимияЧерчениеЭкологияЭкономикаЭлектроника






курс, 5В110300 – «Фармация» мамандығы студенттеріне арналған фармацевтикалық химия пәнінен тест сұрақтары, 27.05.2015 жылы.

~Сынақ зертханасына сараптамағ а кофеин натрий бензоатының 20%-1, 0 шаншуғ а арналғ ан ерітіндісі қ абылданды. Нормативті қ ұ жат дә рілік тү рдің сандық мө лшерін кофеин жә не натрий бензоаты бойынша анық тауды ұ сынады.

Дә рілік тү р компоненттерінің мө лшері қ андай ә діспен анық талады?

@ кофеин-гравиметрия, натрий бензоаты – ацидиметрия ә дісімен

@ кофеин-ацидиметрия, натрий бензоаты - йодометрия ә дісімен

@ кофеин - аргентометрия, натрий бензоаты - алкалиметрия ә дісімен

@кофеин-йодометрия, натрий бензоаты – ацидиметрия ә дісімен

@ кофеин- сусыз ацидиметрия, натрий бензоаты - алкалиметрия ә дісімен

~Нормативті қ ұ жатқ а сай хлордиазепоксидтің сандық мө лшері оның физикалық жә не химиялық қ асиеттері негізінде берілген реакция бойынша анық талады:

 

Хлордиазепоксидтің сандық мө лшерін қ ай ә діспен анық тайды?

@сусыз алкалиметрия

@ ацетилдеу ә дісі

@ фотоколориметрия

@сусыз ацидиметрия

@ полярография

~Нормативті қ ұ жатқ а сай новокаин гидрохлоридінің сандық мө лшері оның физикалық жә не химиялық қ асиеттері негізінде берілген реакция бойынша анық талады:

 

 

 

Новокаин гидрохлоридінің сандық мө лшерін қ ай ә діспен анық тайды?

@нитритометрия

@ацидиметрия

@ фотоколориметрия

@ алкалиметрия

@ полярография

~Сынақ зертханасында стандартты ү лгінің болмауына байланысты изониазид дә рілік субстанциясының сандық мө лшерін анық тау ү шін спектрофотометрия ә дісі титриметриялық ә діспен алмастырылды.

Бұ л жағ дайда изониазид дә рілік субстанциясының сандық талдауында қ ай ә дісті қ олдануғ а болады?

@комплексонометрия

@ығ ыстыру аргентометрия

@сусыз ортада бейтараптау

@ кері йодометрия

@ перманганатометрия

~Фармацевтикалық ө неркә сіп натрий метамизол таблеткаларын ө ндіру ү шін субстанция қ абылдады. Фармацевт-аналитик субстанцияны идентификациялауда минералды қ ышқ ылдармен қ ыздыра отырып, жү ргізді. Нә тижесінде иісі бойынша анық талатын ө нім тү зілді. Салқ ындатқ аннан кейін темір (III) хлориді ерітіндісін қ осқ анда, қ анық -қ ызыл тү с пайда болды.

 

Натрий метамизол ыдырауы нә тижесінде қ андай ө нім тү зілді?

@этилацетат

@ бензальдегид

@формальдегид

@ацетальдегид

@изонитрил

~Сынақ зертханасында сорғ ыш шкафтың істен шығ уына байланысты хинин гидрохлоридінің сандық мө лшерін сусыз ортада бейтараптау ә дісімен анық тау мү мкін болмады.

Аталғ ан жағ дайда хинин гидрохлоридінің сандық мө лшерін қ андай қ арапайым жә не қ олжетімді ә діспен жү ргізуге болады?

@байланысқ ан хлорсутек қ ышқ ылы бойынша меркуриметрия

@хинин негізі бойынша гравиметрия

@гидролизден кейін броматометрия

@байланысқ ан хлорсутек қ ышқ ылы бойынша бейтараптау

@ гидролизден кейін йодатометрия

~Сынақ зертханасына метилурацил жақ памайы қ абылданды. Жақ памайдың сандық мө лшерін метилурацилдің стандартты ү лгісі болмағ андық тан спектрофотометрия ә дісімен анық тау мү мкін болмады. Сондық тан титриметриялық ә діспен алмастыру ұ сынылды.

Метилурацилдің сандық мө лшерін қ андай ә діспен анық тауғ а болады?

@сусыз алкалиметрия

@кері аргентометрия

@кері алкалиметрия

@кері йодометрия

@ығ ыстыру аргентометрия

~Сынақ зертханасына сараптамағ а хлорамфеникол субстанциясы қ абылданды. Хлорамфениколдың стандартты ү лгісі болмағ андық тан, субстанцияның сандық мө лшерін спектрофотометрия ә дісімен анық тау мү мкін болмады. Сондық тан титриметриялық ә діспен алмастыру ұ сынылды.

Хлорамфеникол субстанциясының сандық мө лшерін қ андай ә діспен анық тауғ а болады?

@нитритометрия

@сусыз алкалиметрия

@кері аргентометрия

@кері алкалиметрия

@йодометрия

~Нормативті қ ұ жат бойынша изониазид субстанциясының сандық мө лшерін тө менде келтірілген химиялық реакция бойынша кері броматометрия ә дісімен жү ргізеді:

 

Сандық есептеуде қ ай эквивалентті молекулалық масса қ олданылады?

@ г.экв=М.м/2

@ г.экв=М.м/5

@ г.экв=М.м/4

@ г.экв=М.м/3

@ г.экв=М.м

~Сынақ зертханасына неостигмин метилсульфатының 0, 05% - 1, 0 шаншуғ а арналғ ан ерітіндісі қ абылданды. Ерітінді сапасына бақ ылау жасауда фармацевт-аналитик идентификациялауды су моншасында натрий гидроксидінің 30% ерітіндісімен қ ыздыра отырып, жү ргізді. Нә тижесінде иісі бойынша анық талатын ө нім тү зілді.

 

Неостигмин метилсульфаты препаратының ыдырауы кезінде қ андай ө нім тү зілді?

@этилацетат

@бензальдегид

@диметиламин

@аммиак

@изонитрил

~Сынақ зертханасына шаншуғ а арналғ ан Кортексиннің лиофилизатты ұ нтағ ы, 10 мг қ абылданды. Қ Р мемлекеттік фармакопеясы талабына сай дә рілік препаратқ а келесі кө рсеткіштер бойынша сараптама жү ргізілді: идентификация, тү стілік, мө лдірлік, рН, тектес қ оспалар, стерилдік, мө лшерінің біркелкілігі, бактериальды эндотоксиндер, сандық анық тау.

Фармацевт-аналитик қ андай сапалық кө рсеткішіне қ осымша сынақ жү ргізуі қ ажет?

@жалпы технологиялық қ оспалар

@сульфатты кү л

@қ ышқ ылдық /сілтілік

@масса біркелкілігі

@пирогендер

~Сынақ зертханасына прокаин гидрохлоридінің 0, 5% - 5, 0 шаншуғ а арналғ ан ерітіндісі қ абылданды. Препараттың сандық мө лшерін нормативті қ ұ жат бойынша нитритометрия ә дісімен анық тауда келесі жағ дайлар бойынша жү ргізілді: дә л ө лшем алу, рН ортасы, температуралық режим, сыртқ ы индикатор – йодкрахмал қ ағ азы, титрант – 0.1М натрий нитриті.

Дә рілік препараттың нитритометриялық анық тауын қ осымша қ андай жағ дайда жү ргізу қ ажет?

@фосфатты буферлі ортада

@β -нафтол қ атысында

@калий бромиді катализаторы қ атысында

@натрий гидроксиді қ атысында

@40°С температурада

~Сынақ зертханасына Мильгамма 100 мг шаншуғ а арналғ ан ерітіндісі қ абылданды. Қ Р мемлекеттік фармакопеясы талабына сай дә рілік препаратқ а мө лшерінің біркелкілігі кө рсеткішінен басқ а барлық сапалық кө рсеткіштерге сараптама жү ргізілді: идентификация, мө лдірлік, тү стілік, рН, тектес қ оспалар, бө лініп алынатын кө лем, стерилдік, пирогендер, механикалық қ осылулар, сандық анық тау.

Сынақ зертханасында дә рілік препарат мө лшерінің біркелкілігіне неге сынау жү ргізілмеді?

@мө лшері 200 мг тө мен препараттарғ а сынау жү ргізілмейді

@мө лшері 50 мг жоғ ары препараттарғ а сынау жү ргізілмейді

@поливитаминді препараттарғ а сынау жү ргізілмейді

@шаншуғ а арналғ ан препараттарғ а сынау жү ргізілмейді

@комбинирленген препараттарғ а сынау жү ргізілмейді

~Сынақ зертханасына Кетопрофен 2, 5% гелі қ абылданды. Қ Р мемлекеттік фармакопеясы талабына сай дә рілік препаратқ а келесі кө рсеткіштер бойынша сараптама жү ргізілді: идентификация, рН, біркелкілік, микробиологиялық тазалығ ы, микробқ а қ арсы консерванттар, сандық анық тау.

Фармацевт-аналитик аталғ ан дә рілік препаратқ а қ осымша қ андай сынақ жү ргізуі қ ажет?

@жалпы технологиялық қ оспалар

@қ ышқ ылдығ ы/сілтілігі

@мө лдірлік

@тұ тқ ырлық

@стерилдік

~Нормативті қ ұ жат талабына сай новокаин гидрохлориді дә рілік субстанциясының сандық мө лшерін нитритометрия ә дісімен анық тайды. Эквивалент нү ктесін анық тау ү шін сыртқ ы индикатор – йодкрахмал қ ағ азы қ олданылады.

Титрлеу соң ын қ алай анық тайды?

@индикатор қ ағ азындағ ы кө к дақ тың зерттелетін ерітінді ә серінен тү ссізденуі

@крахмал ерітіндісімен дымқ ылданғ ан индикатор қ ағ азының кө геруі

@индикатор қ ағ азына зерттелетін ерітіндіні тамызғ анда, кө к дақ тың пайда болуы

@ зерттелетін ерітіндісі бар колбадағ ы индикатор қ ағ азының кө геруі

@йод ерітіндісімен дымқ ылданғ ан индикатор қ ағ азының кө геруі

~Сынақ зертханасына сараптамағ а токоферол ацетаты 100 мг капсуласы қ абылданды. Қ Р мемлекеттік фармакопеясы талабына сай дә рілік препаратқ а келесі кө рсеткіштер бойынша сараптама жү ргізілді: идентификация, масса біркелкілігі, мө лшерінің біркелкілігі, тектес қ оспалар, еруі, су, микробиологиялық тазалық, сандық анық тау.

Фармацевт-аналитик аталғ ан препаратқ а қ осымша қ андай сынақ жү ргізуі қ ажет?

@жалпы технологиялық қ оспаларды анық тау

@тығ ыздығ ын анық тау

@сыну кө рсеткішін анық тау

@ыдырағ ыштығ ын анық тау

@бактериальды эндотоксиндерді анық тау

 

 

~Глюкозаны дұ рыс сақ тамағ ан жағ дайда деструкцияғ а ұ шырайды. Осы жағ дайғ а байланысты Қ Р мемлекеттік фармакопеясы препаратта тектес қ оспалар мө лшерін нормалайды.

Қ Р мемлекеттік фармакопеясы субстанциядағ ы қ андай қ осылыстарды тектес қ оспалар тү рінде нормалайды?

@қ анттағ ы қ орғ асын

@пирогендер

@ерігіш крахмал, декстриндер

@5-гидроксиметилфурфурол

@бө где қ анттар

~Глюкозаны қ ышқ ылды-ферментативті гидролиз ә дісімен алуда нормативті қ ұ жат тектес қ оспаларды нормалайды.

Нормативті қ ұ жат зерттелетін препаратта қ андай тектес қ оспаларды анық тауды ұ сынады?

@қ анттағ ы қ орғ асын

@пирогендер

@5-гидроксиметилфурфурол

@бө где қ анттар

@ерігіш крахмал, декстриндер

~Сынақ зертханасына шаншуғ а арналғ ан гидрокортизон 0, 025/мл суспензия тү рінде қ абылданды. Нормативті қ ұ жат талабына сай препаратты талдауда калий гидроксидінің спиртті ерітіндісімен реакция жү ргізіп, ары қ арай конц. кү кірт қ ышқ ылын қ осқ анда ө зіне тә н балғ ын алманың иісі бар этилацетаты тү зілді.

Сынақ қ андай функциональды топқ а жү ргізілді?

@кү рделі-эфир тобына

@α -кетольды тобына

@стероидты цикліне

@метил тобына

@лактон цикліне

~Сынақ зертханасына индометацин 50 мг суппозиториялары қ абылданды. Қ Р мемлекеттік фармакопеясы дә рілік препаратқ а келесі кө рсеткіштер бойынша сараптама жү ргізді: идентификация, ыдырағ ыштық, балқ у температурасы, тектес қ оспалар, дозаланғ ан бірліктер біркелкілігі, микробиологиялық тазалық, сандық анық тау.

Фармацевт-аналитик қ андай сапалық кө рсеткішке қ осымша сынақ жү ргізуі қ ажет?

@толық деформациялану уақ ыты

@тығ ыздығ ы

@қ алдық еріткіштер

@мө лдірлік

@қ ышқ ылдық /сілтілік

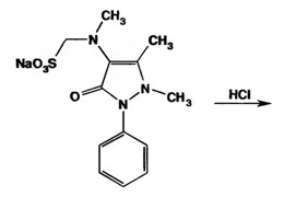
~Сараптамағ а ксантиндер туындылары тобының дә рілік препараты қ абылданды. Жалпы алкалоидты реакциялар оң нә тиже берді. Препарат сілтілі ортада кү міс нитраты ерітіндісімен реакцияғ а тү сіп, ақ тү сті қ оймалжың тұ нба тү зеді, ары қ арай қ ыздырғ анда тұ нба ыдырап, салқ ындатқ анда қ айтадан қ атаяды.

Сараптамағ а қ андай дә рілік препарат қ абылданды?

@пентоксифиллин

@кофеин натрий бензоаты

@теофиллин

@теобромин

@ксантинол никотинаты

~Сараптамағ а тропандар туындылары тобының дә рілік препараты қ абыл-данды. Жалпы алкалоидты реакциялар оң нә тиже берді. Препаратты кү кірт қ ышқ ылымен калий дихроматы кристалдары қ атысында қ ыздырғ анда, бензальдегид тү зілуіне байланысты ащы бадамның иісі байқ алады.

Сараптамағ а қ андай дә рілік препарат қ абылданды?

@гоматропин гидробромиді

@тропафен

@тропацин

@атропин сульфаты

@спазмолитин

~Сынақ зертханасына натрий аминосалицилаты ұ нтағ ының инфузияғ а арналғ ан 100 мг дә рілік препараты тү сті. Қ Р мемлекеттік фармакопеясы талаптарына сә йкес дә рілік препаратқ а келесі кө рсеткіштер бойынша сараптама жасалды: идентификация, еру уақ ыты, мө лдірлік, тү стілік, рН, механикалық қ оспалар, тектес қ оспалар, стерилділік, бірліктерді дозалау біркелкілігі, пирогендер, сандық анық тау.

Фармацевт-аналитик дә рілік препаратта қ осымша қ андай сапа кө рсеткішін анық тауы тиіс?

@ыдырағ ыштық

@сульфат кү лі

@ү гілгіштік

@аномалды уыттылығ ы

@қ ышқ ылдық /сілтілік

~Клиниканың гинекологиялық бө ліміне парентералды қ олданылатын 1 мл дә рілік препарат ерітіндісі сараптамағ а алынды. Сипаттамасы бойынша мө лдір, тү ссіз ерітінді, иіссіз, ерітінді рН 4, 1-ге тең. Препарат оптикалық белсенді – меншікті айналу бұ рышы +54º шамасында. Жалпы алкалоидты реакциялармен оң нә тиже берді, бром суын тү ссіздендірді.

Фармацевт-аналитик қ андай дә рілік препаратқ а қ осымша идентификация жү ргізуі қ ажет?

@кокарбоксилаза ерітіндісіне

@анальгин ерітіндісіне

@эргометрин малеаты ерітіндісіне

@эрготамин тартраты ерітіндісіне

@папаверин гидрохлориді ерітіндісіне

~Ауруханааралық дә ріхананың аналитикалық бө лмесіне парентералды қ олданылатын 100 мл ерітінді тү сті. Сипаттама бойынша мө лдір, тү ссіз ерітінді, иіссіз, рН мә ні 6, 6. Препарат кү міс нитратымен азот қ ышқ ылы қ атысында ақ ірімшік тә різді тұ нба берді. Тү ссіз жалынды сары тү ске бояйды.

Аналитикалық бө лмеге қ андай дә рілік препарат сараптамағ а тү сті?

@калий хлориді ерітіндісі

@метронидазол ерітіндісі

@реополиглюкин ерітіндісі

@натрий хлориді ерітіндісі

@глюкоза ерітіндісі

~Сынақ зертханасына 1, 4-бензодиазепин тобының субстанциясы сараптамағ а тү сті. Қ ыздыра отырып қ ышқ ылдық гидролиз жү ргізгенде келесі ө німдерді тү зді:

 

Фармацевт-аналитик қ андай дә рілік препаратқ а қ осымша идентификация реакция-ларын жү ргізуі тиіс?

@оксазепамғ а

@феназепамғ а

@нитразепамғ а

@хлозепидке

@диазепамғ а

~Сынақ зертханасына 1, 4-бензодиазепин тобының субстанциясы сараптамағ а тү сті. Қ ыздыра отырып қ ышқ ылдық гидролиз жү ргізгенде келесі ө німдерді тү зді:

 


Фармацевт-аналитик қ андай дә рілік препаратқ а қ осымша идентификация реакция-ларын жү ргізуі тиіс?

@нитразепамғ а

@оксазепамғ а

@нозепамғ а

@диазепамғ а

@хлордиазепоксидке

~Туберкулезге қ арсы диспансерден инфузияғ а арналғ ан лиофилизацияланғ ан ұ нтақ тү ріндегі дә рілік препарат сараптамағ а алынды. Сипаттамасы бойынша борпылдақ сары жолағ ы бар ақ тү сті ұ нтақ. Тү ссіз жалынды сары тү ске бояды. Темір (III) хлориді ерітіндісімен кү лгін бояу пайда болады. УК-спектр 265±2 нм жә не 299±2 нм толқ ын ұ зындығ ында екі жұ ту максимумын кө рсетті.

Фармацевт-аналитик қ андай дә рілік препаратқ а қ осымша сапа кө рсеткішін жү ргізуі тиіс?

@метамизол натрийғ а

@протионамидке

@рифампицинге

@натрий аминосалицилатына

@изониазидке

~Туберкулезге қ арсы диспансерден 250 мг таблеткалар тү ріндегі дә рілік препарат сараптамағ а алынды. Сипаттамасы бойынша қ абық шамен қ апталғ ан сары тү сті таблетка, домалақ, екі жағ ы дө ң ес. УК-спектр 290±2нм толқ ын ұ зындығ ында жұ ту максимумын кө рсетті. Кү міс нитратымен қ ою-қ оң ыр тү сті тұ нба тү зді. Сынап ацетаты ерітіндісімен малынғ ан қ ағ азды хлорсутек қ ышқ ылының буында қ ыздырғ анда қ ара тү ске бояды.

Фармацевт-аналитик қ андай дә рілік препаратқ а қ осымша сапа кө рсеткішін жү ргізуі тиіс?

@этионамидке

@изониазидке

@фтивазид гидратына

@натрий аминосалицилатына

@рифампицинге

~Сынақ зертханасына қ ұ рамында қ атты бө лшектері жоқ, ақ ұ нтақ тү ріндегі дә рілік препарат тү сті. Препарат іс жү зінде суда жә не органикалық еріткіштерде ерімейді, қ ышқ ылдарда жә не сілтілік жер металдар гидроксидтері ерітінділерінде ө те аз ериді. Препарат сынамасын идентификациялау ү шін натрий карбонаты ерітіндісімен қ айнатады, сү зеді. Қ алдық ты судың аз мө лшерімен жуады, хлорсутек қ ышқ ылымен қ ышқ ылдайды жә не сұ йытылғ ан кү кірт қ ышқ ылын қ осады. Осы кезде натрий карбонаты ерітіндісінде ерімейтін ақ тұ нба пайда болады.

Фармацевт-аналитик қ андай дә рілік препаратқ а қ осымша сапа кө рсеткішін жү ргізуі тиіс?

@натрий хлориді

@магний сульфаты

@барий сульфаты

@кальций хлориді

@натрий тиосульфаты

~Сараптамағ а ақ тү сті ә лсін сұ р жолағ ы бар ұ нтақ тү ріндегі дә рілік препарат алынды, иіссіз, ө те ащы дә мді. Препарат жалпы алкалоидты реактивтермен оң нә тиже береді. Қ ышқ ылды ортада йод ерітіндісімен қ оң ыр, кү міс тү сті тұ нба береді.

Фармацевт-аналитик қ андай дә рілік препаратқ а қ осымша сапа кө рсеткішін жү ргізуі тиіс?

@метронидазолғ а

@дибазолғ а

@клофелинге

@нафтизинге

@галазолинге

~Сынақ зертханасына токоферол ацетатының 50% - 1, 0 шаншуғ а арналғ ан ерітіндісі қ абылданды. Препарат сары тү сті, жең іл лайлану байқ алатын тұ тқ ыр ерітінді. Қ Р ө неркә сіптің фармакопеялық мақ аласына сай сапасын талдауда «мө лдірлік», «тү стілік» кө рсеткіштері сынағ ына тө теп бермеді. Бө где қ оспаларды жоғ ары эффективті сұ йық тық хроматография ә дісімен анық тауда спецификалық қ оспалар мө лшерінің жоғ ары екендігін кө рсетті.

Препарат тұ рақ тылығ ының ө згеруіне қ андай жағ ымсыз ү дерістер ә сер етті?

@сақ тау кезінде дә рілік препараттың тотығ уы

@сақ тау кезінде дә рілік препараттың гидролизі

@синтез кезінде субстанцияның толық тазартылмауы

@талдау жасауда дә рілік препараттың деструкцияғ а ұ шырауы

@синтез жағ дайының бұ зылуы

~Қ Р мемлекеттік фармакопеясы диализге арналғ ан ерітінділер ө ндірісінде қ олданылатын шаншуғ а арналғ ан суда қ андай тазалық кө рсеткішін анық тауды ұ сынады?

@кальций жә не магний қ оспасын

@тотығ атын заттар қ оспасын

@бактериальды эндотоксиндерді

@алюминий қ оспасын

@аммоний тұ здары қ оспасын

~Фармацевтикалық ө неркә сіп рутин 0, 05 г таблеткаларын ө ндіру ү шін субстанция сатып алды. Субстанцияны идентификациялау ү шін фармацевт-аналитик магний ұ нтағ ымен спиртті ортада конц. хлорсутек қ ышқ ылының қ атысында реакция жү ргізді. Қ ызыл тү с пайда болды.

Фармацевт-аналитик дә рілік препаратты идентификациялау ү шін қ андай реакция жү ргізді?

@каролин сынамасын

@цианидин сынамасын

@мурексид сынамасын

@ Марш реакциясын

@Бельштейн сынамасын

~Фармацевтикалық ө неркә сіп рутин 0, 05 г таблеткаларын ө ндіру ү шін субстанция сатып алды. Субстанцияны идентификациялау ү шін фармацевт-аналитик қ ышқ ылды гидролизден кейін Фелинг реактивін қ олданды.

Фармацевт-аналитик дә рілік препаратты молекуланың қ ай функционалды фрагменті бойынша идентификациялады?

@дигидрокверцетин

@халкон

@ глюкоза қ алдығ ы

@ фруктоза қ алдығ ы

@кверцетин

~Пурин туындысына жататын белгісіз дә рілік субстанцияғ а талдау жасауда танин ерітіндісімен ә сер еткенде ақ тұ нба тү зілді, йод ерітіндісімен жылтыр қ ызыл тұ нба тү зілді.

Препараттың ө зі екендігін дә лелдеу ү шін қ осымша қ андай сынақ жү ргізу қ ажет?

@коралин сынағ ы

@таллейохин сынағ ы

@мурексид сынағ ы

@гидроксам сынағ ы

@Бейльштейн сынағ ы

~Нормативті қ ұ жатқ а парентеральды қ олданылатын кофеин-натрий бензоаты 20% - 1, 0 шаншуғ а арналғ ан ерітіндісіне келесі сапалық кө рсеткіштер енгізілген: мө лдірлігі, тү стілігі, рН, мө лшер біркелкілігі, тектес қ оспалар, механикалық қ осындылар, жалпы технологиялық қ оспалар.

Нормативті қ ұ жатқ а аталғ ан препаратқ а қ андай сапалық кө рсеткіш қ осымша енгізілуі қ ажет?

@бө лшектер ө лшемі

@сыну кө рсеткіші

@тығ ыздығ ы

@бактериалды эндотоксиндер

@сульфатты кү л

~Сараптамағ а рибофлавиннің 1% - 1, 0 шаншуғ а арналғ ан ерітіндісі қ абылданды. Сипаттамасы бойынша сары тү сті ерітінді, спиртті ерітіндісі жасыл флюресценция береді.Тексеру барысында оптикалық активсіз екені байқ алды.

Қ андай қ оспаның пайда болуына байланысты препарат нормативті қ ұ жат талаптарына сай емес?

@люмифлавин

@люмихром

@лейкофлавин

@кө мірқ ышқ ыл газы

@изоаллоксазин

~Сараптамағ а рибофлавиннің 1% - 1, 0 шаншуғ а арналғ ан ерітіндісі қ абылданды. Сипаттамасы бойынша тү ссіз ерітінді. Спиртті ерітіндісі флюресценция бермейді. Тексеру барысында тотығ у-тотық сыздану процесіне ұ шырағ аны анық талды.

 

Қ андай қ оспаның пайда болуына байланысты препарат нормативті қ ұ жат талаптарына сай емес?

@люмифлавин

@лейкофлавин

@люмихром

@рибоза

@аммиак

~Фармацевтикалық ө ндіріске дә рілік субстанция қ абылданды. Фармацевт-аналитик сапасын бақ ылау кезінде субстанцияның ақ кристалды ұ нтақ жә не суда оң ай еритіндігін анық тады. Ө зі екендігін анық тау кезінде Витали-Морен реакциясы оң нә тиже берді жә не аммиак ерітіндісі қ атысында тұ нба пайда болды. Сонымен қ атар, субстанцияның балқ у температурасы 1900С.

Фармацевтикалық ө ндіріске қ андай дә рілік субстанция қ абылданды?

@морфин гидрохлориді

@хинин сульфаты

@атропин сульфаты

@дротаверин гидрохлориді

@норадреналин гидрохлориді

~Бақ ылау зертханасына цианокобаламиннің 500 мг – 1, 0 шаншуғ а арналғ ан ерітіндісі қ абылданды. Фармацевт-аналитик сапасына бақ ылау жү ргізуде алдын-ала калий гидросульфаты қ атысында минерализация жү ргізді. Ары қ арай натрий гидроксиді ерітіндісімен бейтараптап, натрий ацетаты, сірке қ ышқ ылы жә не нитрозо-R-тұ зы қ атысында жү ргізілген реакция нә тижесінде қ ызыл тү сті ө нім тү зілді.

Фармацевт-аналитик цианокобаламиннің қ ай фрагменті бойынша ө зі екендігін анық тады?

@ Со+2 ионына

@гидразин қ алдығ ына

@ 6, 7-диметилбензимидазолғ а

@синил қ ышқ ылының қ алдығ ына

@азометин тобына

~Сараптамағ а пиразол туындысы – феназон қ абылданды. Дә рілік препарат суда ө те оң ай, этанолда жә не хлороформда оң ай ериді. Нормативті қ ұ жат талабына сай сандық мө лшерін кері йодометрия ә дісімен анық тауда препаратты хлороформда ерітіп, натрий ацетатын қ осып, йодтың артық мө лшерін 0, 1М натрий тиосульфаты ерітіндісімен титрледі.

Талдау барысында еріткіш ретінде неліктен хлороформ қ олданылды?

@еріткіш ретінде

@тотығ у реакциясын тежеу ү шін

@катализатор ретінде

@ йодтың адсорбциялану ү рдісін тежеу ү шін

@ реакция кері жү рмеу ү шін

~Сараптамағ а пиразол туындысы – феназон қ абылданды. Нормативті қ ұ жат талабына сай сандық мө лшерін кері йодометрия ә дісімен анық тауда препаратты хлороформда ерітіп, натрий ацетатын қ осып, йодтың артық мө лшерін 0, 1М натрий тиосульфаты ерітіндісімен титрледі.

Талдау барысында натрий ацетаты қ андай мақ сатта қ олданылды?

@ реакция кері жү рмеу ү шін

@йодтың адсорбциялану ү рдісін тежеу ү шін

@еріткіш ретінде

@тотығ у реакциясын тежеу ү шін

@катализатор ретінде

~Сараптау орталығ ына сараптамағ а никотин қ ышқ ылы, никотинамид жә не никетамид дә рілік препараттары қ абылданды. Фармацевт-аналитик талдау жү ргізу кезінде жалпы топтық реакция жү ргізді. Реакция нә тижесінде ө зіне тә н иісі бар пиридин жә не ақ кө піршікті кө міртек диоксиді газдары тү зілді.

Фармацевт-аналитик тарапынан жү ргізілген реакция қ алай аталады?

@мурексид сынағ ы

@гидроксам сынағ ы

@пиролиз

@тиохром сынағ ы

@гидролиз

~Сынақ зертханасына дә рілік препарат Диазепам таблеткалары, 10 мг тү рінде қ абылданды. Қ Р мемлекеттік фармакопеясы талабына сай келесі кө рсеткіштер бойынша дә рілік препаратқ а сараптама жү ргізілді: идентификациялау, еруі, тектес қ оспалар, дозаланғ ан бірліктердің біркелкілігі жә не сандық анық тау.

Фармацевт-аналитик аталғ ан дә рілік препаратқ а қ осымша қ андай сынақ жү ргізуі қ ажет?

@микробиологиялық тазалығ ы

@қ ышқ ылдығ ы немесе сілтілігі

@тү стілігі

@тұ тқ ырлығ ы

@жалпы технологиялық қ оспалар

~Парацетамол субстанциясының сандық мө лшерін анық тау ү шін фармацевт-аналитик препараттың дә л салмағ ын ө лшеп алып, нормативті қ ұ жатқ а сә йкес хлорсутек қ ышқ ылының белгілі кө лемінде ерітті.

Фармацевт-аналитик парацетамолдың химиялық қ асиетін ескере отырып, ары қ арай қ андай қ адам жасауы тиіс?

@калий бромидін қ осып, 0, 1М натрий нитритімен титрлеу

@колбаны мұ збен салқ ындату

@алынғ ан ерітіндіні сү зу

@колбаны кері тоң азытқ ышта бір сағ ат қ айнату

@колбаны қ араң ғ ы жерге қ ою

~Фармацевт-аналитик Қ Р мемлекеттік фармакопеясы талабына сә йкес реактивті келесі тә ртіппен дайындады: гидразин сульфа­ты жә не гексаметилентетрамин ерітінділерін дайындады. 25 мл гидразин сульфаты ерітіндісіне дайындалғ ан гексаметилентетрамин ерітіндісін қ осып, араластырды жә не 24 сағ атқ а қ алдырды. Сосын 15, 0 мл алынғ ан суспензияны сумен 1000.0 мл дейін жеткізді.

Жоғ арыда сипатталғ ан ә дістеме бойынша фармацевт-аналитик қ андай реактив дайындады?

@лайлық стандарты

@опалесценцияны анық тауда қ олданылатын салыстыру суспензиясы

@опалесценция стандарты

@біріншілік опалесценциялаушы суспензия

@тү стілігін анық тауда қ олданылатын салыстыру суспензиясы

~Фармацевт-аналитик Қ Р мемлекеттік фармакопеясы талабына сә йкес натрий гидрокарбонатының опалесценция дә режесін анық тау ү шін опалесценция стандартты ерітіндісін (ОСЕ) дайындады.

Фармацевт-аналитик ары қ арай қ андай қ адам жасауы тиіс?

@біріншілік опалесценциялаушы суспензиясын дайындау

@формазин суспензиясын дайындау

@ ОСЕ -ден салыстыру суспензиясын дайындау

@дайындалғ ан ОСЕ сынақ жү ргізу

@гидразин сульфаты ерітіндісін анық тау

~Фармацевт-аналитик Қ Р мемлекеттік фармакопеясы талабына сә йкес адреналин тартраты ерітіндісінің опалесценция дә режесін анық тау ү шін салыстыру суспензиясын дайындауы қ ажет.

Фармацевт-аналитик салыстыру суспензиясын қ алай дайындайды?

@қ олданар алдында опалесценция стандарты мен суды араластырады

@гидразин сульфа­ты ерітіндісі мен дайындалғ ан гексаметилентетрамин ерітіндісін араластырады

@лайлық стандартын дайындайды

@біріншілік опалесценциялаушы суспензиясын дайындайды

@формазин суспензиясын дайындайды

~Фармацевт-аналитик Қ Р мемлекеттік фармакопеясы ә дістемесіне сә йкес сынауды жайпақ тү пті тү ссіз мө лдір бейтарап шыныдан жасалғ ан ішкі диаметрі 25 мм бірдей сынауық тарды қ олданып, қ абатының қ алың дығ ы 40 мм сыналатын сұ йық тық ты қ абатының қ алың дығ ы дә л сондай дистилденген сумен қ ара фонда шашырағ ан кү ндізгі жарық та сынауық тардың тік ө сінің бойымен қ арай отырып жү ргізді.

Фармацевт-аналитик қ андай сынау жү ргізді?

@хлоридтер қ оспасының мө лшерін анық тау

@ ауыр металдар қ оспасының мө лшерін анық тау

@ерітіндінің мө лдірлігін анық тау

@ерітіндінің тү стілігін анық тау

@сульфаттар қ оспасының мө лшерін анық тау

~Фармацевт-аналитик Қ Р мемлекеттік фармакопеясы ә дістемесіне сә йкес сынауды жайпақ тү пті тү ссіз мө лдір бейтарап шыныдан жасалғ ан сыртқ ы диаметрі 12 мм бірдей сынауық тарды қ олданып, 2, 0 мл сыналатын ерітіндіні 2, 0 мл сумен салыстырды. Салыстыруды шашырағ ан кү ндізгі жарық та ақ фонда кө лденең нен сынауық тар ө сіне перпендикуляр қ арау арқ ылы жү ргізді.

Фармацевт-аналитик қ андай сынау жү ргізді?

@ерітіндінің тү стілігін анық тау

@ерітіндінің мө лдірлігін анық тау

@хлоридтер қ оспасының мө лшерін анық тау

@ерітіндінің опалесценция дә режесін анық тау

@сульфаттар қ оспасының мө лшерін анық тау

~Адреналин тартраты ерітіндісінің тү стілігіне сынақ жү ргізу ү шін фармацевт-аналитик BY5.салыстыру ерітіндісін дайындауы тиіс.

Фармацевт-аналитик BY5.салыстыру ерітіндісін Қ Р мемлекеттік фармакопеясы талаптарына сай қ алай дайындайды?

@B жә неY стандартты ерітінділерін кө рсетілген кө лемде араластыру қ ажет

@BY стандартты ерітіндісі мен суды кө рсетілген кө лемде араластыру қ ажет

@BY стандартты ерітіндісін кө рсетілген кө лемдегі хлорсутек қ ышқ ылымен араластыру қ ажет

@BY стандартты ерітіндісін кө рсетілген кө лемдегі кү кірт қ ышқ ылымен араластыру қ ажет

@B жә неY5 стандартты ерітінділерін кө рсетілген кө лемде араластыру қ ажет

~Дә рілік препарат ерітінділерінің тү стілігіне сынақ жү ргізу ү шін фармацевт-аналитик бастапқ ы сары ерітіндіні дайындауы қ ажет.

Фармацевт-аналитик Қ Р мемлекеттік фармакопеясы ә дістемесіне сә йкес бастапқ ы сары ерітіндіні қ алай дайындайды?

@кобальт хлоридін хлорсутек қ ышқ ылы мен су қ оспасында ерітуі қ ажет

@мыс сульфатын хлорсутек қ ышқ ылы мен су қ оспасында ерітуі қ ажет

@темір(III) хлоридін хлорсутек қ ышқ ылы мен су қ оспасында ерітуі қ ажет

@темір (III) хлоридін дистилденген суда ерітуі тиіс

@кобальт хлоридін дистилденген суда ерітуі тиіс

~Дә рілік препарат ерітінділерінің тү стілігіне сынақ жү ргізу ү шін фармацевт-аналитик бастапқ ы қ ызыл ерітіндіні дайындауы қ ажет.

Фармацевт-аналитик Қ Р мемлекеттік фармакопеясы ә дістемесіне сә йкес бастапқ ы қ ызыл ерітіндіні қ алай дайындайды?

@ кобальт хлоридін хлорсутек қ ышқ ылы мен су қ оспасында ерітуі қ ажет

@темір (III) хлоридін хлорсутек қ ышқ ылы мен су қ оспасында ерітуі қ ажет

@мыс сульфатын хлорсутек қ ышқ ылы мен су қ оспасында ерітуі қ ажет

@темір (III) хлоридін дистилденген суда ерітуі тиіс

@кобальт хлоридін дистилденген суда ерітуі тиіс

~Дә рілік препарат ерітінділерінің тү стілігіне сынақ жү ргізу ү шін фармацевт-аналитик бастапқ ы кө гілдір ерітіндіні дайындауы қ ажет.

Фармацевт-аналитик Қ Р мемлекеттік фармакопеясы ә дістемесіне сә йкес бастапқ ы кө гілдір ерітіндіні қ алай дайындайды?

@темір (III) хлоридін хлорсутек қ ышқ ылы мен су қ оспасында ерітуі қ ажет

@мыс сульфатын хлорсутек қ ышқ ылы мен су қ оспасында ерітуі қ ажет

@кобальт хлоридін хлорсутек қ ышқ ылы мен су қ оспасында ерітуі қ ажет

@темір (III) хлоридін дистилденген суда ерітуі тиіс

@кобальт хлоридін дистилденген суда ерітуі тиіс

~Сынақ зертханасына сапасын бақ ылау мақ сатында метилурацил жақ па майы тү сті. Сыртқ ы тү ріне бақ ылау жасауда кейбір жақ памайлардың сыртында майлы дақ тардың іздері байқ алды.

Мұ ндай жағ дайда фармацевт-аналитик қ андай сынау жү ргізуі қ ажет?

@бө лшектер ө лшемін тексеру

@идентификация жү ргізу

@біркелкілігін анық тауды жү ргізу

@герметикалығ ын тексеру

@сандық анық тау жү ргізу

~Фармацевт-аналитик жалаң мияның қ ою экстрактының сапасына бақ ылау жү ргізуде 1.0 г қ ою экстрактқ а 1 мл кү кірт қ ышқ ылын қ осып, жақ ты жә не қ алдық ты муфель пешінде кү йдірді. Сосын қ алдық қ а аммоний ацетаты ерітіндісін қ осып, ерітіндіні сү зді. Алынғ ан ерітіндіге сынақ жү ргізуде қ орғ асынның стандартты ерітіндісін (1 млн-1 Pb+2) салыстыру ү шін қ олданды.

Фармацевт-аналитик жалаң мияның қ ою экстрактының қ андай сапалық кө рсеткішін анық тады?

@ауыл металдар мө лшерін

@қ ұ рғ ақ қ алдық

@ылғ алдылық

@жалпы кү л

@экстракцияланғ ан заттар

~Кальций глюконаты субстанциясының сапасын бақ ылау ү шін фармацевт-аналитик жеке мақ алағ а сә йкес кальций глюконатының ерітіндісін дайындады. 15 мл сыналатын ерітіндіге 1мл cұ йытылғ ан азот қ ышқ ылын қ осып, қ оспаны ішінде 1 мл кү міс нитраты ерітіндісі бар сынауық қ а бірден қ ұ яды. Дә л осы жағ дайларда 10 мл хлоридтің стандартты ерітіндісі (5 млн-1 Сl-) мен 5 мл суды Р қ олдана отырып, салыстыру ерітіндісін дайындады.

Фармацевт-аналитик кальций глюконаты субстанциясының қ андай сапалық кө рсеткішін анық тады?

@ерітінді опалесценциясын

@тектес қ оспалар

@хлоридтердің шекті мө лшерін

@сульфаттардың шекті мө лшерін

@ерітінді тү стілігін

~Фармацевт-аналитик натрий диклофенак жақ памайының сапасына бақ ылау жү ргізуде сыналатын 10 контейнер алып, оның сыртқ ы беткейін мұ қ ият сү згі қ ағ азымен сү ртеді. Контейнерді сү згі қ ағ азының бетіне горизонтальды жағ дайда орналстырып, термостатта (60±3)°С 8 сағ ат ұ стады.

Фармацевт-аналитик натрий диклофенак жақ памайының қ андай сапалық кө рсеткішін анық тады?

@толық деформациялану уақ ытын

@дозалау біркелкілігін

@контейнердің герметикалығ ын

@біркелкілігін

@бө лшектер ө лшемін

~Фармацевт-аналитик салицил жақ памайының сапасына бақ ылау жү ргізуде ә рқ айсысы 20 г 4 жақ памайдың екі сынамадан зат шынысына салып, екінші зат шынысымен бетін жауып, диаметрі 2 см болғ анғ а дейін қ аттырақ басады. Алынғ ан сынаманы қ арусыз кө збен қ арайды.

Фармацевт-аналитик салицил жақ памайының қ андай сапалық кө рсеткішін анық тады?

@контейнердің герметикалығ ын

@бө лшектер ө лшемін

@біркелкілігін

@толық деформациялану уақ ытын

@дозалау біркелкілігін

~Фармацевт-аналитик «Климаксан» грануласының сапасына бақ ылау жү ргізу барысында 100 г грануланы арнайы қ абылдағ ышы мен қ ақ пағ ы бар ыдыспен жабдық талғ ан елекке салып, 10 минут толық електен ө ткенше шайқ айды, сосын нө мірі 355 жә не нө мірі 180 електен ө ткен ә р фракцияны ө лшейді. Майда жә не ірі гранулалар санының суммасы 5% асқ ан жоқ.

Фармацевт-аналитик қ андай сапалық кө рсеткішті анық тады?

@гранула ө лшемі

@сандық анық тау

@гранула ыдырағ ыштығ ы

@масса біркелкілігі

@дозалау біркелкілігі

~Фармацевт-аналитик «кө піршіктенетін» ацетилцистеин грануласының сапасын бақ ылау ү шін грануланың бір дозасын 200 мл суы бар стаканғ а 15°С - 25°Стемпературада салады; сол кезде кө птеген газ кө піршіктері бө лінді. Аталғ ан операцияны басқ а 5 дозада қ айталады. Газ бө лінуі тоқ тағ ан соң стакан ішіндегісін зерттеді.

Фармацевт-аналитик дә рілік препараттың қ андай сапалық кө рсеткішін анық тады?

@еруі

@бө лшектер ө лшемі

@толық деформациялану уақ ыты

@ыдырағ ыштығ ы

@дозалау біркелкілігі

~Фармацевт-аналитик доксициклин капсуласының сапасына бақ ылауда ашылмағ ан капсуланы ө лшеп алып, сосын оның қ ауызының ешқ андай бө лігі жоғ алмайтындай етіп ашады жә не оның ішіндегісінен мү мкіндігінше толық арылтады. Ө лшеулердің айырымы бойынша капсулалардың ішіндегісінің массасын есептейді. Осы шараны басқ а 19 капсуламен қ айталайды.

Фармацевт-аналитик қ андай сапалық кө рсеткішті анық тады?

@дә рілік препараттың сандық мө лшері

@дә рілік препараттың толық деформациялану уақ ыты

@капсуланың герметикалығ ы

@дозаланғ ан дә рі-дә рмектің бірлігіне арналғ ан массаның біркелкілігі

@дозаланғ ан дә рі-дә рмектің бірлігіндегі ә сер етуші зат мө лшерінің біркелкілігі

~Сараптамағ а белгісіз дә рілік препарат келіп тү сті. Сипаттамасы бойынша ментол мен валериан қ ышқ ылының иісі бар мө лдір майлы сұ йық тық. Препарат оптикалық белсенділік кө рсетіп, спирттік гидроксил тобына оң реакция береді. Сараптамағ а қ андай препарат келіп тү сті?

@ Камфора

@ Бромкамфора

@ Валидол

@ Тимол

@ Ментол

~Сараптамағ а тү ссіз, мө лдір, камфораның иісі мен дә мі бар дә рілік препарат тү сті. Препарат оптикалық белсенді, УК-спектрі препарат қ ұ рылымында > С=О, -NH2 топтары жә не қ абысқ ан –СH=CH- байланысының бар екендігін кө рсетті. Препарат ароматты альдегидтермен боялғ ан ө нім берді. Сараптамағ а қ андай препарат келіп тү сті?

@ Бромкамфора

@ Камфора

@ Ретинол ацетаты

@ Валидол

@ Сульфокамфокаин

~Фармацевтикалық ө ндіріс қ оймасынан терпеноидтар тобына жататын ә лсіз иісі бар ашық -сары кристалды дә рілік субстанция алынды. Субстанция суда іс жү зінде ерімейді, органикалық еріткіштерде ериді. УК-спектріндегі тө рт жұ тылу максимумы қ абысқ ан қ ос байланыстың электронды тербелісіне, оттектің карбонилді атомына, кү рделі эфир тобына байланысты. Сараптамағ а қ андай препарат келіп тү сті?

@ Сульфокамфокаин

@ Валидол

@ Терпингидрат

@ Ретинол ацетаты

@ Бромкамфора

~Сараптамағ а стероидты гормондар тобына жататын дә рілік субстанция тү сті. Препарат оптикалық белсенді, УК-спектрінің жұ тылу максимумы қ абысқ ан СН=СН- байланыстың тербелісімен тү сіндіріледі. Препарат концентрлі кү кірт қ ышқ ылымен оң реакция берді, сонымен бірге бром суын тү ссіздендірді. Сараптамағ а қ андай препарат келіп тү сті?

@ Эстрадиол

@ Тестостерон

@ Прегнин

@ Норколут

@ Ретаболил

~Қ андай нормативті қ ұ жат нақ ты ө ндіруші кә сіпорынның дә рілік зат сапасын тексеруінде қ олданылады?

@ уақ ытша фармакопеялық мақ ала

@ фармакопеялық мақ ала

@ мемлекеттік фармакопея

@ аналитикалық нормативті қ ұ жат

@ уақ ытша аналитикалық нормативті қ ұ жат

~Қ андай нормативті қ ұ жат нақ ты ө ндіруші кә сіпорынның жаң а дә рілік зат сапасын тексеруінде қ олданылады?

@ уақ ытша аналитикалық нормативті қ ұ жат

@ аналитикалық нормативті қ ұ жат

@ уақ ытша фармакопеялық мақ ала

@ фармакопеялық мақ ала

@ мемлекеттік фармакопея

~Сынақ зертханасына тіркеу алдындағ ы сараптамағ а шет елде шығ арылғ ан дә рілік субстанция ә келінді. Бұ л субстанцияда органикалық еріткіштер қ алдығ ы анық талғ ан. Осы сапалық кө рсеткіштің талапқ а сә йкес еместігіне байланысты мемлекеттік тіркеуден ө ткізілмеді.

Субстанцияда кандай органикалық еріткіштің қ алдығ ы анық талғ ан?

@ бензол 0, 05%

@ петролей эфирі 2%

@ изопропил эфирі 1%

@ ү шфторсірке қ ышқ ылы 1, 5%

@ этанол 0, 4%

~Ұ йым стандартында 10 мл шыныдағ ы 0, 1% дексаметазон суспензиясы кө з тамшысына келесі сапалық кө рсеткіштер енгізілген: сипаттамасы, идентификациясы, мө лдірлігі, тү стілігі, рН, орам қ ұ рамының кө лемі, стерильдігі, механикалық қ осылулары, осмоляльдығ ы, сандық анық тау. Қ андай сапалық кө рсеткіш қ осымша тү рде енгізілуі тиіс?

@ микробиологиялық тазалығ ы

@ жіберілу шегі

@ бө лшек ө лшендісі

@ тұ тқ ырлық

@ жіберілмейтін қ оспалар

~Ұ йым-ө ндіруші стандарт жобасында токоферол ацетатының 50% - 1, 0 шаншуғ а арналғ ан ерітіндісіне келесі сапалық кө рсеткіштер енгізілген: мө лдірлігі, тү стілігі, рН, тектес қ оспалар, бө лініп алынғ ан кө лем, механикалық қ осылулар.

Аталғ ан препаратқ а жасалғ ан ұ йым стандарт жобасына қ андай сапалық кө рсеткіш қ осымша енгізілуі қ ажет?

@ Органикалық қ оспалар

@ Сірке қ ышқ ылы

@ Еру уақ ыты

@ Тығ ыздығ ы

@ Кептіргендегі масса шығ ыны

~Ұ йым-ө ндіруші стандарт жобасында новокаиннің 0, 5% - 1, 0 шаншуғ а арналғ ан ерітіндісіне келесі сапалық кө рсеткіштер енгізілген: мө лдірлігі, тү стілігі, рН, тектес қ оспалар, бө лініп алынғ ан кө лем, мө лшер біркелкілігі.

Аталғ ан препаратқ а жасалғ ан ұ йым стандарт жобасына қ андай сапалық кө рсеткіш қ осымша енгізілуі қ ажет?

@ Кептіргендегі масса шығ ыны

@ Eру

@ Жалпы технологиялық қ оспалар

@ Механикалық қ осылулар

@ Органикалық қ оспалар

~Ө ндіруші-зауыттың сынақ лабораториясына дибазол таблеткалары сараптамағ а жеткізілді. Таблеткалардың сыртқ ы тү рі Қ Р мемлекеттік фармакопеясы талабына сә йкес – ақ тү сті таблетка, тегіс цилиндр формалы, шеттері тегіс, бү тін, жарығ ы жоқ жә не шеті ү гілмеген, орамның бү тіндігіне байланыссыз, тек бір таблетка бірнеше бө ліктерге бө лініп кеткен.

Осы жағ дайда фармацевт-аналитик жоғ арыда кө рсетілген сипаттама бойынша таблеткалардың қ андай сапалық кө рсеткішіне сынақ жү ргізуі қ ажет?

@ Ү гілуі

@ Дозалау біркелкілігі

@ Беріктігі

@ Ыдырағ ыштығ ы

@ Еруі

~Кокаин молекуласының қ андай фрагментін оның синтетикалық аналогтарының химиялық қ ұ рылысының негізі ретінде алады?

@ Метил-пиперидин

@ Метил- пирролидин

@ Бензоилалкиламинодиалкил

@ Экгонин метил эфирі

@ Бензоил экгонин

~Сараптамағ а п-аминобензой қ ышқ ылы туындысына жататын дә рілік препарат тү сті. Сипаттамасы бойынша ақ кристалды ұ нтақ, иіссіз, ә лсіз ащы дә мді, тілді ұ йытатын ә сері бар. Суда ө те аз, спиртте, эфирде, хлороформда жең іл ериді. Ү шіншілік азот атомына тә н жалпы алкалоидты реакцияны бермейді.

Тө менде кө рсетілген қ андай препарат сараптамағ а тү сті?

@ Анестезин

@ Новокаин

@ Дикаин

@ Лидокаин

@ Тримекаин

~Цианокобаламиннің тазалығ ына талдау жү ргізу ү шін препаратты крезол жә не тө ртхлорлы кө міртегі қ оспасымен ө ң деді. Алынғ ан экстрактқ а концентрлі кү кірт қ ышқ ылын қ осқ анда, қ ызыл тү с тү зілді.

Қ андай тектес қ оспағ а қ осымша хроматографиялық талдау жү ргізу қ ажет?

@ Нитрит кобаламин

@ Оксикобаламин

@ Псевдокобаламин

@ Этиокобаламин

@ Бромкобаламин

~5-нитрофуран тобына жататын белгісіз дә рілік субстанцияғ а талдау жасауда натрий гидроксиді ерітіндісімен қ ыздыру қ атысында реакция жү ргізгенде аммиак иісі шық ты.

Препараттың ө зі екендігін дә лелдеу ү шін қ андай дә рілік субстанцияғ а қ осымша сынақ жү ргізу қ ажет?

@ Фуразолидон

@ Фурагин

@ Ерігіш фурагин

@ Фурацилин

@ Фурадонин

~Сараптамағ а 5-нитрофуран тобына жататын дә рілік субстанция тү сті. Сипаттамасы бойынша сары майда кристалды ұ нтақ. Суда ө те жең іл, 95% спиртте ериді жә не эфирде іс жү зінде ерімейді. Препарат ерітіндісіне 0, 1М натрий гидроксиді ерітіндісін қ осқ анда тү зілген ө нім қ анық -қ ызыл тү с береді.

Препаратты идентификациялау ү шін қ осымша қ андай реакция жү ргізу қ ажет?

@ 10% натрий гидроксиді ерітіндісімен

@ Нингидринмен

@ Шарап қ ышқ ылымен

@ Ауыр метал тұ здарымен

@ Йодпен

~Сараптамағ а 5-нитрофуран тобына жататын дә рілік субстанция тү сті. Сипаттамасы бойынша сары майда кристалды ұ нтақ. Суда ө те жең іл, 95% спиртте ериді жә не эфирде іс жү зінде ерімейді. Препарат ерітіндісіне 0, 1М натрий гидроксиді ерітіндісін қ осқ анда тү зілген ө нім қ анық -қ ызыл тү с береді.

Сараптамағ а қ андай препарат тү сті?

@ Фурадонин

@ Фуразолидон

@ Фурагин

@ Ерігіш фурагин

@ Фурацилин

~Сараптамағ а белгісіз препарат келіп тү сті. Спектральды талдау нә тижесі бойынша УК-аймақ та 2 жұ тылу максимумы бар екендігі – N<, - CH=CH- байланысы, қ абысқ ан –NH<, –N< топтары атомдарының электронды тербелісі жә не кө рінетін аймақ та 1 жұ тылу максимумы бейорганикалық элементке тә н екендігі анық талды.

Ө зі екендігін дә лелдеу ү шін қ андай дә рілік препаратқ а қ осымша талдау жү ргізу қ ажет?

@ Рибофлавин

@ Эргокальциферол

@ Цианокобаламин

@ Рифампицин

@ Фоль қ ышқ ылы

~Фармацевтикалық ө ндіріс қ оймасынан белгісіз дә рілік субстанциясы бар флакон алынды. Орамда парафинді қ ұ йманың бү тіндігі бұ зылғ ан. Субстанция ақ жә не кө к тү сті аралас кристалды ұ нтақ, суда ериді, этанолда жең іл ериді. Бром суымен қ ызыл тү сті ө нім береді.

Аталғ ан дә рілік субстанция қ андай топқ а жатады?

@ Пиримидин

@ Пурин

@ Фенотиазин

@ Мыс тұ здары

@ Бензодиазепин

~Субстанцияны синтездеу ү шін бастапқ ы зат ретінде нитробензол қ олданылды. Ол гидразобензолғ а дейін гидрленеді. Синтездің соң ғ ы сатысында гидразобензол бутилмалон қ ышқ ылының хлорангидридімен конденсацияланады.

Жоғ арыдағ ы схема бойынша қ андай препарат синтезделеді?

@ Антипирин

@ Амидопирин

@ Пропифеназон

@ Бутадион

@ Феназон

~Дә рілік препаратты синтездеу ү шін бастапқ ы зат ретінде о-фенилен-диамин алынды, ол ары қ арай фенилсірке қ ышқ ылымен суды сің іретін зат қ атысында конденсирленеді.

Берілген схема бойынша қ андай препарат синтезделген?

@ Метронидазол

@ Пилокарпин

@ Нафтизин

@ Дибазол

@ Клофелин

~Белгісіз дә рілік субстанцияғ а сараптама жү ргізу нә тижесінде фармацевт-аналитикте қ ышыма жә не қ ол терісінің қ ызаруы, қ ан қ ысымының тө мендеуі, бас ауруы, депрессия байқ алды. Спектральды жә не элементтік талдау препарат қ ұ рылысында қ абысқ ан –CH=CH-байланысы мен S жә не N атомдарының бар екендігін кө рсетті.

Берілген жағ дайда препараттың қ андай тобына ө зі екендігін анық тайтын қ осымша сынақ жү ргізу қ ажет?

@ Фенотиазин

@ Тиофен

@ Тиазол

@ Тиоурацил

@ Тиодиазол

~Сынақ лабораториясында церий (IV) сульфатының болмауына байланысты токоферол ацетатының сандық мө лшерін цериметрия ә дісімен анық тау мү мкін болмады.

Бұ л жағ дайда препараттың сандық мө лшерін қ андай ә діспен анық тауғ а болады?

@ Нейтрализация

@ Поляриметрия

@ Аргентометрия

@ Спектрофотометрия

@ Потенциометрия

~Дә рілік субстанцияны синтездеу ү шін бастапқ ы заты ретінде 4-оксикумарин жә не глиоксал қ ышқ ылының этил эфирі алынғ ан. Конденсация нә тижесінде су молекуласы бө лінеді.

Берілген схема бойынша бензопиранның қ андай туындысы синтезделеді?

@ Нитрофарин

@ Токоферол

@ Этилбискумарин ацетаты

@ Фепромарон

@ Кверцетин

~Дә ріханадан жарамды мерзімі ө ткен новокаиннің 0, 25% - 1, 0 шаншуғ а арналғ ан ерітіндісінің партиясы алынды. Препарат мө лдір, майлы тамшылары бар тү ссіз сұ йық тық. Ерітінді рН 5, 5.

Дә рілік зат не себептен нормативті қ ұ жат талабына сай емес?

@ Препарат-тұ зының гидролизі

@ Кү рделі эфир тобы бойынша гидролизі

@ Препараттың тотығ уы

@ Препараттың тотық сыздануы

@ Термиялық ыдырау

~Прибор жабдық тарының толық болмауына байланысты пирацетам субстанциясының сандық мө лшерін Къельдаль ә дісімен анық тау мү мкін болмады.

Осы жағ дайда пирацетамның сандық мө лшерін анық тауды қ ол жетімді жә не сенімді қ андай ә діспен жү ргізуге болады?

@ Сулы ацидиметрия

@ Нитритометрия

@ Сусыз ацидиметрия

@ Жоғ ары эффективті сұ йық тық хроматография

@ Спектрофотометрия

~Емдеу мекемесінен пилокарпин гидрохлориді кө з тамшысының орамы келіп тү сті. Спектральды жә не химиялық талдау нә тижесі препараттың ө зі екендігін дә лелдеді. Бірақ емдеу кезінде препарат фармакологиялық ә сер кө рсетпеді.

Аталғ ан препарат қ андай себепке байланысты фармакологиялық ә сер кө рсетпеді?

@ Аэробты тотығ у

@ Тотық сыздану

@ Гидролитикалық ыдырау

@ Изомеризация

@ Анаэробты тотығ у

~Емдеу мекемесінен пилокарпин гидрохлориді кө з тамшысының орамы келіп тү сті. Спектральды жә не химиялық талдау нә тижесі препараттың ө зі екендігін дә лелдеді.

Аталғ ан препараттың тү пнұ сқ алығ ын дә лелдеу ү шін қ андай сапалық параметрге қ осымша сынақ жү ргізілуі қ ажет?

@ Жұ тылу кө рсеткіші

@ Қ ышқ ыл саны

@ Меншікті айналу

@ Сыну кө рсеткіші

@ Эфир саны

~Кө з тамшысы қ ұ рамына дикаин жә не метилцеллюлоза кіреді. Нормативті қ ұ жат жобасында дә рілік затқ а келесі сапалық кө рсеткіштер енгізілген: мө лдірлік, тү стілік, рН, механикалық қ осылулар, орам ішіндегісінің кө лемі, стерилдік, осмоляльдық.

Аталғ ан препараттың нормативті қ ұ жат жобасында қ андай сапалық кө рсеткіш қ осымша енгізілуі қ ажет?

@ Тұ тқ ырлық

@ Тығ ыздық

@ Пирогенділік

@ Қ ышқ ылдық

@ Сілтілік

~Белгісіз дә рілік субстанция ашық -сары тү сті майда кристалды ұ нтақ, ванилиннің ә лсіз иісі бар, дә мсіз. Спектральды жә не элементті талдау препарат молекуласында амидті жә не азометин топтары бар екендігін кө рсетті.

Ө зі екендігін анық тау ү шін қ андай препаратқ а қ осымша сынақ жү ргізіледі?

@ Фтивазид

@ Изониазид

@ Рибофлавин

@ Фурагин

@ Фурадонин

~Белгісіз дә рілік субстанция сары-қ ызғ ылт кристалды ұ нтақ, ө зіндік ә лсіз иісі бар, ащы дә мді. Препараттың сулы ерітіндісі ашық жасыл-сары тү с жә не УК-жарық та қ арқ ынды жасыл флюоресценция береді.

Қ андай препаратқ а тү пнұ сқ алығ ын анық тау ү шін қ осымша сынақ жү ргізіледі?

@ Фурагин

@ Фурацилин

@ Рутин

@ Рибофлавин

@ Хинозол

<== предыдущая лекция | следующая лекция ==>
Курс, 5В110300 – «Фармация» мамандығы студенттеріне арналған фармацевтикалық химия пәнінен тест сұрақтары, 27.05.2015 жылы. 4 страница | 
Поделиться с друзьями:

mylektsii.su - Мои Лекции - 2015-2026 год. (0.973 сек.)Все материалы представленные на сайте исключительно с целью ознакомления читателями и не преследуют коммерческих целей или нарушение авторских прав Пожаловаться на материал