Студопедия

Главная страница Случайная страница

КАТЕГОРИИ:

АвтомобилиАстрономияБиологияГеографияДом и садДругие языкиДругоеИнформатикаИсторияКультураЛитератураЛогикаМатематикаМедицинаМеталлургияМеханикаОбразованиеОхрана трудаПедагогикаПолитикаПравоПсихологияРелигияРиторикаСоциологияСпортСтроительствоТехнологияТуризмФизикаФилософияФинансыХимияЧерчениеЭкологияЭкономикаЭлектроника






Технология поставки пиломатериалов на экспорт






Порт Выборгский является универсальным малым портом с пропускной способностью до 3 млн тонн грузов в год.

Порт специализируется на перевалке широкой номенклатуры генеральных, навалочных грузов (минеральные удобрения, уголь, руда, чугун, металлолом), пищевых и химических наливных грузов.

В летнюю навигацию в Порту также осуществляет прием пассажирских судов.

Порт Выборгский расположен в северо-восточной части Финского залива в 134 км от Санкт-Петербурга и в 10 км от границы с Финляндией. Северная гавань порта соединяется Сайменским каналом с озером Сайма, расположенным на территории Финляндии.

Навигация в порту — круглогодичная; режим работы — круглосуточный. Грузы поступают в порт морскими и речными судами, автомобильным и железнодорожным транспортом.

В границах порта расположены 13 универсальных причалов с общей протяжённостью причальной линии - 1490 м.

Порт принимает суда длиной до 135 м и осадкой до 6, 5 м.

Общая площадь порта – 17 га (ПЗТК), в том числе открытые складские площади - 35 500 кв.м, крытые - 4 937 кв. м.

Услуги по перегрузке, складированию и хранению грузов:

- погрузочно-разгрузочные работы (включая работы, проводимые под руководством судовой администрации, штивку, сепарирование, крепление/раскрепление груза, за исключением грузов на палубе судна, также сухую зачистку трюмов и твиндеков «под лопату» после выгрузки) заходящих судов в порт, транспортно-экспедиторские и складские операции с грузами, перевалку на морской/речной транспорт грузов с других видов транспорта и обратно, перегрузку наливных, негабаритных и тяжеловесных грузов;

- выгрузка судов с рефрижераторными грузами, продовольственными грузами, зерном насыпью и другими грузами, не подлежащими хранению в порту, производится: полностью по прямому варианту;

- опасные грузы перерабатываются портом по правилам ИМКО, МОПОГ по предварительному согласованию с портом. Завоз грузов в порт производится по подтверждению порта.

В настоящее время планируется реконструкция около 70 тыс. кв м портовой площади и полное переоснащение существующего порта. Предполагается, что после реконструкции порт будет специализироваться прежде всего на контейнерных, генеральных и Ro-Ro грузах.

В настоящее время имеется тенденция создания специализированных терминалов по отгрузке лесоматериалов. На официальном уровне, то есть в нормативных правовых актах, понятие терминал не используется. Как правило, под терминалами принято понимать склады временного хранения. В отношении вывозимых (экспортируемых) российских товаров таможенное законодательство не требует их помещения на временное хранение и, соответственно, нахождение на складах временного хранения для экспортных грузов необязательно. Создание специализированных терминалов призвано облегчить участникам внешнеэкономической деятельности проведение таможенного оформления, т.к. часто имеет место несовпадение мест подачи (проверки) таможенных деклараций и мест отгрузки лесоматериалов. Кроме того, многие лесоэкспортеры не имеют постоянного места отгрузки, оно становится им известно только при подаче грузовой таможенной декларации. У мелкого участника ВЭД нет необходимой территории, достаточного количества погрузочно-разгрузочного оборудования, дополнительных средств на пересортировку.

Такие специализированные лесные терминалы оснащены автоматизированным устройством по определению объемов круглого леса, средствами радиационного и фитосанитарного контроля. Такие терминалы могут послужить базой размещения на их территории таможенных постов, которые будут не только принимать и проверять грузовые таможенные декларации, но и контролировать отгрузку экспортных лесоматериалов. Сама идея появления лесных терминалов возникла при согласовании вопроса размещения должностных лиц таможенных органов вне места расположения таможенного поста (для осуществления контроля за фактической загрузкой лесоматериалов).

Предполагается, что через такие специализированные терминалы можно будет отправлять древесину на экспорт не отдельными вагонами, как при отгрузке с тупиков, а в составе маршрутов. Что одновременно даст возможность предпринимателям получить некоторые льготы по железнодорожному тарифу.

Ожидается также, что лесные терминалы позволят упорядочить экспорт кругляка за счет его систематического досмотра и проверки законности происхождения. Нахождение в непосредственной близости от терминалов представителей государственных контролирующих органов будет способствовать ускорению получения необходимых разрешительных документов.

Однако, такие терминалы ориентированы прежде всего на отгрузку круглого леса, который составляет основную долю российского экспорта лесоматериалов. В то же время, поставка продукции с высокой добавленной стоимостью позволит значительно повысить прибыль российских поставщиков лесоматериалов.

В рамках данной реконструкции нашим проектам предусмотрено выделение одного из причалов для создания принципиально нового лесного терминала, предназначенного для погрузки пакетированных лесоматериалов. Создание такого терминала возможно в кооперации и при финансовом участии нескольких деревообрабатывающих производств Ленинградской области. Строительство данного терминала будет направлено на решение следующих задач:

· Консолидация участников – производителей лесопродукции с высокой добавленной стоимостью с целью создания единого для всех участников комплекса по таможенному оформлению и отгрузке материалов лесопереработки;

· Снижение времени нахождения готовой продукции на складе за счет ускорения оформления необходимых таможенных документов и ускоренного формирования пароходной партии для отгрузки.

На терминале предусмотрено внедрение современных систем погрузки-разгрузки:

· системы контроля за работой автоматизированных кранов (Automatic Crane Control);

· системы автоматических самоходных транспортных средств (Automated Guided Vehicles);

· системы автоматических кранов-укладчиков (Automated Stacking Cranes)

Внедрение автоматизированных или полуавтоматизированных систем такого уровня будет способствовать высвобождению рабочих мест непосредственно с погрузочно-разгрузочных работ в пользу контроля за внедренными системами. Автоматизация алгоритмизируемых операций позволит повысить качество и скорость работы и снизить производственный травматизм.

В терминале предусмотрено внедрение современных систем управления движением грузов:

· система электронного документооборота, в том числе таможенные, сертификационные и другие документы (Electronic Data Interchange);

· электронная идентификация груза (Cargo Card System);

· система онлайн-слежения и мониторинга перемещения груза в порту (On-Line Tracking and Tracing System);

· система управления складскими помещениями (Warehouse System).

С внедрением этих систем ожидается повышение качества работы всего порта, улучшение условий занятости персонала, снижение количества ошибок и нерационального использования времени и пространства.

До начала погрузки на судно лесных грузов, перевозимых в заграничном сообщении, грузоотправитель обязан представить порту отправления спецификацию на весь подлежащий погрузке на данное судно лесной груз, на основании его составляется грузовой план.

В спецификации должно быть указано:

а) точное наименование грузоотправителя и грузополучателя;

б) порт выгрузки лесного груза;

в) сорта лесных грузов с разбивкой по каждому коносаменту, с указанием количества их и объема в установленных объемных единицах измерения;

г) какие партии груза необходимо погрузить в трюмы суд на и какие могут быть погружены на палубу;

 

д) место погрузки в порту; причем, если она должна про изводиться у двух или нескольких причалов, то не допускается погрузка одной коносаментной партии у разных причалов.

Лесные грузы в заграничном сообщении перевозятся в соответствии с существующими Правилами и условиями договора между судовладельцем и фрахтователем.

Экспортные лесные грузы принимаются от грузоотправителя и выдаются грузополучателю у борта судна.

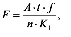
Рассчитаем площадь складского помещения в порту, необходимую для размещения пакетированной террасной доски.

Площадь склада F м2, рассчитывается по формуле:

 

 

где A -недельная производительность цеха, шт./неделя;

t -время хранения, неделя;

f -площадь, занимаемая одной доской, м2;

n -количество досок в стопе, шт.;

K1 -коэффициент заполнения площади склада.

Недельная производительность составит:

1736: 52 = 33, 4 тыс. досок.

Максимальное время хранения готовой продукции на складе порта принимаем 2 недели.

Площадь, занимаемая одной террасной доской равна 0, 143 х 2, 8 = 0, 4 м2.

Количество досок в стопе принимаем исходя из допустимой средней высоты укладки 4, 5 метра:

4, 5: 0, 027 = 166 шт.

Принимаем, что K1 = 0, 3;

Тогда

м2.

 


Поделиться с друзьями:

mylektsii.su - Мои Лекции - 2015-2026 год. (1.039 сек.)Все материалы представленные на сайте исключительно с целью ознакомления читателями и не преследуют коммерческих целей или нарушение авторских прав Пожаловаться на материал