Студопедия

Главная страница Случайная страница

КАТЕГОРИИ:

АвтомобилиАстрономияБиологияГеографияДом и садДругие языкиДругоеИнформатикаИсторияКультураЛитератураЛогикаМатематикаМедицинаМеталлургияМеханикаОбразованиеОхрана трудаПедагогикаПолитикаПравоПсихологияРелигияРиторикаСоциологияСпортСтроительствоТехнологияТуризмФизикаФилософияФинансыХимияЧерчениеЭкологияЭкономикаЭлектроника






Классификация организаций. Организационно-правовые формы управления организациями






Организации различаются размерами и структурой, количественным составом и характером преследуемых целей, особенностями поведения в процессе достижения целей и т. п.

Организации возникли достаточно давно и по мере развития человеческого общества неуклонно разрастались, усложнялись, приобретали все большее значение в жизни людей. Если попытаться сформулировать, что обычно понимается под организацией, то, прежде всего возникает мысль: понятие «организация» связано с совместной деятельностью группы людей, которые стремятся к достижению некоторых общих целей. Поэтому в самой простой формулировке организация – это группа людей, действующих совместно для достижения общих целей. Для успешного достижения этих целей деятельность людей в группе должна координироваться. Поэтому организацию можно рассматривать как группу людей, деятельность которых сознательно координируется для достижения общей цели или целей.

Существуют, однако, важные фундаментальные различия, которые приводят к выделению двух существенных разновидностей организаций (рис. 6.2.): формальных и неформальных.

Неформальная организация – спонтанно возникающая группа людей, достаточно регулярно вступающих во взаимодействие друг с другом.

 

 

Рис. 6.2. Виды организаций

Формальная организация – организация, обладающая правом юридического лица, цели деятельности которой закреплены в учредительных документах, а функционирование — в нормативных актах, соглашениях и положениях, регламентирующих права и ответственность каждого из участников организации.

Формальные организации подразделяются на коммерческие и некоммерческие организации (рис. 6.3.).

Коммерческие организации – организации, деятельность которых направлена на систематическое получение прибыли от пользования имуществом, продажи товаров, выполнения работ или оказания услуг.

Некоммерческие организации – организации, не имеющие в качестве основной цели своей деятельности извлечение прибыли и не распределяющие полученную прибыль между участниками организации.

 

Рис. 6.3. Формальные организации

 

Неформальные организации существуют внутри всех формальных организаций, за исключением, может быть, очень маленьких (в частности, в форме межличностных неформальных групп). Они существенно влияют на многие стороны управления формальными организациями. Говоря о неформальных организациях, их обычно так и называют. Далее термин «организация» мы будем употреблять лишь по отношению к формальным организациям.

В современном обществе действует множество разнообразных организаций. Их взаимодействие определяет специфику общественной структуры, формирует социальный фон жизни современного человека. Организации определяют уровень развития современного общества.

Организации могут быть классифицированы по следующим признакам (рис. 6.4.):

- организационно-правовая форма (ОПФ) (рис. 6.5.);

- форма собственности:

- частная;

- государственная;

- муниципальная;

- общественная;

- целевое назначение:

- производство продукции;

- выполнение работ;

- оказание услуг;

- широта производственного профиля:

- специализированные;

- диверсифицированные;

- характер сочетания науки и производства;

- научные;

- производственные;

- научно-производственные;

- число стадий производства:

- одностадийные;

- многостадийные;

- расположение предприятия:

- на одной территории;

- на одной географической точке;

- на разных географических точках.

Рис. 6.4. Классификация организаций по ряду признаков

Юридическое лицо – это организация, которая:

- имеет обособленное имущество в собственности, в хозяйственном ведении, в оперативном управлении;

- отвечает имуществом по своим обязательствам;

- может от своего имени приобретать имущественные и личные неимущественные права;

- может быть истцом и ответчиком в суде;

- имеет самостоятельный баланс или смету.

 

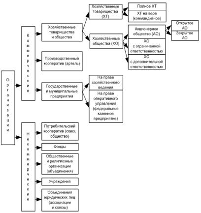
Рис. 6.5. Классификация организаций по ОПФ в РФ

Классификация организаций по организационно-правовым формам:

Коммерческие организации:

- Хозяйственные товарищества и общества:

- хозяйственные товарищества:

- полное товарищество;

- товарищество на вере.

- хозяйственные общества:

- акционерное общество:

- открытое АО;

- закрытое АО.

- общество с ограниченной ответственностью;

- общество с дополнительной ответственностью.

- Производственный кооператив (артель).

- Государственные и муниципальные предприятия:

- На праве хозяйственного ведения;

- На праве оперативного управления (федеральное казенное предприятие).

Некоммерческие организации:

- Потребительский кооператив (союз, общество).

- Фонды.

- Общественные и религиозные организации (объединения).

- Учреждения.

- Объединения юридических лиц (ассоциации и союзы).

В дальнейшем под словом организация или предприятие подразумевается формальная коммерческая организация.

По принадлежности капитала и, соответственно, по контролю над предприятием выделяют национальные, иностранные и совместные (смешанные) предприятия.

Национальное предприятие – предприятие, капитал которого принадлежит предпринимателям своей страны. Национальная принадлежность определяется также местоположением и регистрацией основной компании.

Иностранное предприятие – предприятие, капитал которого принадлежит иностранным предпринимателям, полностью или в определенной части обеспечивающих их контроль.

Иностранные предприятия образуются либо путем создания акционерного общества, либо путем скупки контрольных пакетов акций местных фирм, ведущих к возникновению иностранного контроля. Последний способ получил в современных условиях наибольшее распространение, поскольку он позволяет использовать уже имеющийся аппарат, связи, клиентуру и знания рынка местными фирмами.

Смешанные предприятия – предприятия, капитал которых принадлежит предпринимателям двух или более стран. Регистрация смешанного предприятия осуществляется в стране одного из учредителей на основе действующего в ней законодательства, что определяет местонахождение его штаб- квартиры. Смешанные предприятия — это одна из разновидностей международного переплетения капиталов. Смешанные по капиталу предприятия называются совместными предприятиями в тех случаях, когда целью их создания является осуществление совместной предпринимательской деятельности. Формы смешанных по капиталу компаний весьма разнообразны. Чаще всего в форме смешанных компаний создаются международные объединения: картели, синдикаты, тресты, концерны.

Многонациональные предприятия – предприятия капитал которых принадлежит предпринимателям нескольких стран, именуют многонациональными. Многонациональные компании образуются путем слияния активов объединяющихся фирм разных стран и выпуска акций вновь созданной компании. Другими формами образования смешанных по капиталу компаний являются: обмен акциями между фирмами, сохраняющими юридическую самостоятельность; создание совместных компаний, акционерный капитал которых принадлежит учредителям на паритетных началах или распределяется в определенных соотношениях, установленных законодательством страны регистрации; приобретение иностранной компанией доли пакета акций национальной фирмы, не дающей ей права контроля.

В современных условиях крупнейшие промышленные фирмы делают упор на создание совместных производственных предприятий, а также предприятий для осуществления научно-технического сотрудничества, в том числе для совместного использования патентов и лицензий, а также реализации соглашений о кооперации и специализации производства. Особенно многочисленны совместные фирмы в новых и быстро растущих отраслях, требующих огромных единовременных вложений, – в нефтепереработке, нефтехимии, химической промышленности, производстве пластмасс, синтетического каучука, алюминия, в атомной энергетике. Совместные предприятия создаются и как временные объединения для выполнения крупных контрактов на строительство портов, плотин, трубопроводов, ирригационных и транспортных сооружений, электростанций, железных дорог и т.п.

В качестве основных тенденций развития организаций на современном этапе можно выделить следующие:

1. Децентрализация производственных и сбытовых операций. Создание автономных и полуавтономных организаций.

2. Нововведенческая экспансия. Поиск новых рынков.

3. Дебюрократизация (акции компании у сотрудников, выбор совета директоров).

4. Ориентация на предвидение, лидерство.

5. Интеграция и перекрещивание функций.

6. Глобализация.

7. Использование информационных технологий.

8. Ориентация на акционера.

9. Гибкость и адаптивность.

10. Ведущая роль клиента.

11. Ориентация на создание добавленной стоимости и качество продукции.

12. Ускорение выхода продукции.

13. Возрастающая роль инноваций и предпринимательства.

14. Переход от узкой специализации к кооперации управленческой деятельности.

15. Переход от авторитарного руководства к демократическому.

Характеристики эффективного корпоративного предвидения:

1. Простота и ясность целей, возможность их оценки.

2. Цель, стимулирующая организацию.

3. Достижимость целей.

4. Возможность всех работников вносить свой вклад в достижение цели.

5. Коммуникабельность.

6. Демократизация в вопросах избрания совета директоров.

7. Подготовка и воспитание руководителей, способных: – на несение ответственности за качество жизни; – быть участниками инновационного процесса; – использовать ресурсы организации и знания персонала; – быть лидерами экономического и социального развития.

8. Создание горизонтальных корпораций. Структура формируется не по отношению к поставленной задаче, а вокруг процессов с их специфическими целями.

9. Необходимость соединять старые учетные системы и новые информационные.

10. Приверженность индивидуумам (инвестиции в человека самые выгодные).

11. Внутренняя конкурентоспособность.

Итак, любая организация существует в определенной среде, которая воздействует на ее функционирование. Поэтому для эффективного управления фирмой нужно уметь определить влияние на организацию множества факторов среды и предвидеть это влияние. Факторы среды принято называть переменными. Различают внутренние и внешние переменные.


Поделиться с друзьями:

mylektsii.su - Мои Лекции - 2015-2026 год. (1.728 сек.)Все материалы представленные на сайте исключительно с целью ознакомления читателями и не преследуют коммерческих целей или нарушение авторских прав Пожаловаться на материал