Студопедия

Главная страница Случайная страница

КАТЕГОРИИ:

АвтомобилиАстрономияБиологияГеографияДом и садДругие языкиДругоеИнформатикаИсторияКультураЛитератураЛогикаМатематикаМедицинаМеталлургияМеханикаОбразованиеОхрана трудаПедагогикаПолитикаПравоПсихологияРелигияРиторикаСоциологияСпортСтроительствоТехнологияТуризмФизикаФилософияФинансыХимияЧерчениеЭкологияЭкономикаЭлектроника






Расчет экономической эффективности внедрения программного продукта и срока окупаемости






Исходные данные для расчета годового экономического эффекта в таблице 4.7.

Таблица 4.7 – Исходные данные

Показатели Условное обозначе-ние Величина
Численность работников, использующих программный продукт, чел.  
Должностной оклад работника, руб. О 7 000
Затраты на разработку программного продукта, тыс. руб. 35 169, 14
Затраты времени работника на выполнение работы до внедрения программного продукта, %  
Затраты времени работника на выполнение работы после внедрения программного продукта, %  
Коэффициент эффективности капитальных вложений 0, 2

 

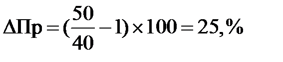
4.5.1 Расчет прироста производительности труда за счет внедрения нового программного продукта:

(4.31)

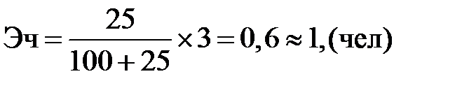
Сравнительная экономия численности работников предприятия за счет роста производительности труда определяется по формуле

(4.32)

Расчет годовой экономии по фонду заработной платы за счет высвобождения работников:

(4.33)

(4.34)

, руб

, руб

4.5.2 Годовой экономический эффект составит:

(4.35)

, руб

где - нормативный коэффициент эффективности капитальных вложений (минимально допустимый уровень отдачи на 1 рубль капитальных вложений), ;

- капитальные вложения на разработку и внедрение программного продукта.

Капитальные вложения в новый вариант, то есть в вариант решения задачи с применением разработанной программы, включают:

- затраты, связанные с созданием программы и техническими средствами для её реализации;

- затраты на технические средства реализации нового проекта (на приобретение и установку ЭВМ на каждое рабочее место для использования программы);

- затраты на внедрение и обучение персонала;

(4.36)

Срок окупаемости программы () - это длительность периода, в течении которого годовая экономия от использования программного продукта перекроет затраты на ее создание.

 

4.5.3 Срок окупаемости рассчитывается по формуле:

(4.37)

Приведенные расчеты позволяют сделать вывод об экономической целесообразности создания и внедрения разработанного программного продукта.


 

Заключение

 

Результатом выполнения дипломного проекта является разработка автоматизированной информационной системы отеля туристической фирмы.

В ходе разработки были решены следующие задачи:

1. Произведен анализ имеющейся технологии создания регистрации на сайте и бронирования номеров.

2. Определены функциональные и эксплуатационные требования к автоматизированной информационной системе.

3. Разработана функциональная модель и модель данных.

4. Разработан интерфейс пользователя в виде сайта.

5. Создана база данных.

6. Разработаны модули системы.

7. Произведено тестирование модулей, а также комплексное тестирование программы.

Автоматизированная информационная система «Jardin-hotel» может быть использована с большой пользой, благодаря следующим ее качествам:

- доступная система регистрации и бронирования номеров на сайте;

- высокая информативность технологического процесса;

- высокая скорость обработки информации;

- возможность решения новых задач.

В дальнейшем эта система может быть доработана.

 


Список литературы

 

1. Welling L., Thomson L. PHP and MySQL Web Development, 4-edition, 2009 англ., обучающий диск.

2. Безруков Н.Н. Компьютерные вирусы. - М.: Наука, 2004 г, - 660 с

3. Бьюли А.. Изучаем SQL, pdf, 2007, - 110 с.

4. Веллинг Л., Томсон Л. MySQL. Учебное пособие, pdf, 2005, - 113 с.

5. Веллинг Л., Томсон Л. Разработка Web-приложений с помощью PHP и MySQL, 3-е издание, djvu, 2008, - 97 с.

6. Грабер М. SQL, djvu, 2003, - 455 с.

7. Грабер М. Введение в SQL, pdf, - 256 с.

8. Дронов В.А. JavaScript в Web-дизайне. - СПб.: БХВ-Петербург, 2001. Бейли Л. Изучаем SQL. O'REILLY, pdf, 2012, - 98 с.

9. Дэвис М., Филлипс Д.. Изучаем PHP и MySQL, pdf, 2008, - 312 с.

10. Дюбуа П. MySQL, djvu, 2004, - 165 с.

11. Зандстра М. PHP объекты, шаблоны и методики программирования, djvu, 2010, - 288 с.

12. Калина А.В. Организация и оплата труда в условиях рынка (аспект эффективности): Учебно-методическое пособие. - К.: МАУП, 1997. - 300 с.

13. Котеров Д.В. PHP5 в подлиннике, djvu, 2008, - 216 с.

14. Кузнецов М. Практика создания веб-сайтов, pdf + CDROM, 2009, - 200 с.

15. Кузнецов М., Симдянов И. MySQL 5.0, djvu, 2010, - 150 с.

16. Леонтьев Б.В. Web-Дизайн: Тонкости, хитрости и секреты / Леонтьев Б.В. - М. Майор, 2001, -170 с..

17. Никсон Р. Создаем динамические веб сайты с помощью PHP MySQL и JavaScript, djvu, 2011, - 74 с.

18. Петюшкин А. В.html Экспресс - курс / Петюшкин А.В. - СПБ.: БХВ-Петербург, 2003, - 256 с. ил.

19. Программное обеспечение. Энциклопедия ПК. Выпуск 2.Обучающий диск,

20. Руководство по PHP, chm, 2008, обучающий диск.

21. Стейнмец У., Вард Б.. Самоучитель 75 готовых решений для вашего сайта на PHP, pdf, 2009, - 270 с.

22. Строганов А.С. Ваш первый сайт с использованием PHP-скриптов, djvu, 2008, - 348 с.

23. Суэринг С., Конверс Т., Парк Д. PHP и MySQL. Библия программиста, djvu, 2010, - 111с.

24. Титоренко Г.А. Информационные технологии управления. - М.: ЮНИТИ-ДАНА, 2003 г, - 180 с.

25. Хольцнер С. PHP в примерах, djvu, 2007, - 215 с.

26. Шварц Б., Зайцев П., Ткаченко В. MySQL. Оптимизация производительности, pdf, 2010, - 129 с.

27. Шносснейгл Д.. Профессиональное программирование на PHP, djvu, 2006[\hide], - 468 с.

 


Поделиться с друзьями:

mylektsii.su - Мои Лекции - 2015-2026 год. (0.838 сек.)Все материалы представленные на сайте исключительно с целью ознакомления читателями и не преследуют коммерческих целей или нарушение авторских прав Пожаловаться на материал