Студопедия

Главная страница Случайная страница

КАТЕГОРИИ:

АвтомобилиАстрономияБиологияГеографияДом и садДругие языкиДругоеИнформатикаИсторияКультураЛитератураЛогикаМатематикаМедицинаМеталлургияМеханикаОбразованиеОхрана трудаПедагогикаПолитикаПравоПсихологияРелигияРиторикаСоциологияСпортСтроительствоТехнологияТуризмФизикаФилософияФинансыХимияЧерчениеЭкологияЭкономикаЭлектроника






Тангенциальная составляющая ускорения 20 страница






Рамкой с током можно воспользоваться также и для количественного описания магнитного поля. Так как рамка с током испытывает ориентирующее действие поля, то на нее в магнитном поле действует пара сил. Вращающий момент сил зависит как от свойств поля в данной точке, так и от свойств рамки и определяется формулой

(109.1)

где p m — вектор магнитного момента рамки с током (Ввектор магнитной индукции, количественная характеристика магнитного поля). Для плоского контура с током I

(109.2)

где S — площадь поверхности контура (рамки), n — единичный вектор нормали к по­верхности рамки. Направление р m совпадает, таким образом, с направлением по­ложительной нормали.

Если в данную точку магнитного поля помещать рамки с различными магнитными моментами, то на них действуют различные вращающие моменты, однако отношение М max m (М max — максимальный вращающий момент) для всех контуров одно и то же и поэтому может служить характеристикой магнитного поля, называемой магнитной индукцией:

Магнитная индукция в данной точке однородного магнитного поля определяется максимальным вращающим моментом, действующим на рамку с магнитным момен­том, равным единице, когда нормаль к рамке перпендикулярна направлению поля. Следует отметить, что вектор В может быть выведен также из закона Ампера (см. § 111) и из выражения для силы Лоренца (см. § 114).

Так как магнитное поле является силовым, то его, по аналогии с электрическим, изображают с помощью линий магнитной индукции — линий, касательные к которым в каждой точке совпадают с направлением вектора В. Их направление задается правилом правого винта: головка винта, ввинчиваемого по направлению тока, враща­ется в направлении линий магнитной индукции.

Линии магнитной индукции можно «проявить» с помощью железных опилок, намагничивающихся в исследуемом поле и ведущих себя подобно маленьким магнит­ным стрелкам. На рис. 162, а показаны линии магнитной индукции поля кругового тока, на рис. 162, б — линии магнитной индукции поля соленоида (соленоид — равно­мерно намотанная на цилиндрическую поверхность проволочная спираль, по которой течет электрический ток).

Линии магнитной индукции всегда замкнуты и охватывают проводники с током. Этим они отличаются от линий напряженности электростатического поля, которые являются разомкнутыми (начинаются на положительных зарядах и кончаются на отрицательных (см. § 79)).

На ряс. 163 изображены линии магнитной индукции полосового магнита; они выходят из северного полюса и входят в южный. Вначале казалось, что здесь наблюдается полная аналогия с линиями напряженности электростатического поля и полюсы магнитов играют роль магнитных «зарядов» (магнитных монополей). Опыты показали, что, разрезая магнит на части, его полюсы разделять нельзя, т. е. в отличие от электрических зарядов свободные магнитные «заряды» не существуют, поэтому линии магнитной индукции не могут обрываться на полюсах. В дальнейшем было установлено, что внутри полосовых магнитов имеется магнитное поле, аналогичное полю внутри соленоида, и линии магнитной индукции этого магнитного поля являются продолжением линий магнитной индукции вне магнита. Таким образом, линии магнитной индукции магнитного поля постоянных магнитов являются также замкнутыми.

До сих пор мы рассматривали макроскопические токи, текущие в проводниках. Однако, согласно предположению французского физика А. Ампера (1775—1836), в лю­бом теле существуют микроскопические токи, обусловленные движением электронов в атомах и молекулах. Эти микроскопические молекулярные токи создают свое маг­нитное поле и могут поворачиваться в магнитных полях макротоков. Например, если вблизи какого-то тела поместить проводник с током (макроток), то под действием его магнитного поля микротоки во всех атомах определенным образом ориентируются, создавая в теле дополнительное магнитное поле. Вектор магнитной индукции В харак­теризует результирующее магнитное поле, создаваемое всеми макро- и микротоками, т. е. при одном и том же токе и прочих равных условиях вектор В в различных средах будет иметь разные значения.

П09.3)

Магнитное поле макротоков описывается вектором напряженности Н. Для однород­ной изотропной среды вектор магнитной индукции связан с вектором напряженности следующим соотношением:

где m 0 — магнитная постоянная, m — безразмерная величина — магнитная проницае­мость среды, показывающая, во сколько раз магнитное поле макротоков Н усаливается за счет поля микротоков среды.

Сравнивая векторные характеристики электростатического (Е и D) и магнитного (В и Н) полей, укажем, что аналогом вектора напряженности электростатического поля Е является вектор магнитной индукции В, так как векторы Е и В определяют силовые действия этих полей и зависят от свойств среды. Аналогом вектора электрического смещения D является вектор напряженности Н магнитного поля.

§ 110. Закон Био — Савара — Лапласа и его применение к расчету магнитного поля

Магнитное поле постоянных токов различной формы изучалось французскими учеными Ж. Био (1774—1862) и Ф. Саваром (1791—1841). Результаты этих опытов были обобщены выдающимся французским математиком и физиком П. Лапласом.

Закон Био — Савара — Лапласа для проводника с током I, элемент d l которого создает в некоторой точке А (рис. 164) индукцию поля d B, записывается в виде

(110.1)

где d l — вектор, по модулю равный длине d l элемента проводника и совпадающий по направлению с током, r —радиус-вектор, проведанный из элемента d l проводника в точку А поля, r — модуль радиуса-вектора r. Направление d B перпендикулярно d l и r, т. е. перпендикулярно плоскости, в которой они лежат, и совпадает с касательной к линии магнитной индукции. Это направление может быть найдено по правилу нахождения линий магнитной индукции (правилу правого винта): направление враще­ния головки винта дает направление d B, если поступательное движение винта соответ­ствует направлению тока в элементе.

Модуль вектора d B определяется выражением

(110.2)

где a — угол между векторами d l и r.

Для магнитного поля, как и для электрического, справедлив принцип суперпозиции: магнитная индукция результирующего поля, создаваемого несколькими токами или движущимися зарядами, равна векторной сумме магнитных индукций складываемых полей, создаваемых каждым током или движущимся зарядом в отдельности:

(110.3)

Расчет характеристик магнитного поля (В и Н) по приведенным формулам в общем случае сложен. Однако если распределение тока имеет определенную сим­метрию, то применение закона Био — Савара — Лапласа совместно с принципом суперпозиции позволяет просто рассчитать конкретные поля. Рассмотрим два примера.

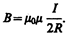
1. Магнитное поле прямого тока — тока, текущего по тонкому прямому проводу бесконечной длины (рис. 165). В произвольной точке А, удаленной от оси проводника на расстояние R, векторы d B от всех элементов тока имеют одинаковое направление, перпендикулярное плоскости чертежа («к вам»). Поэтому сложение векторов d B можно заменить сложением их модулей. В качестве постоянной интегрирования выберем угол a (угол между векторами d l и r), выразив через него все остальные величины. Из рис. 165 следует, что

(радиус дуги CD вследствие малости d l равен r, и угол FDC по этой же причине можно считать прямым). Подставив эти выражения в (110.2), получим, что магнитная индук­ция, создаваемая одним элементом проводника, равна

(110.4)

Так как угол a для всех элементов прямого тока изменяется в пределах от 0 до p, то, согласно (110.3) и (110.4),

Следовательно, магнитная индукция поля прямого тока

(110.5)

2. Магнитное поле в центре кругового проводника с током (рис. 166). Как следует из рисунка, все элементы кругового проводника с током создают в центре магнитные поля одинакового направления — вдоль нормали от витка. Поэтому сложение век­торов d B можно заменить сложением их модулей. Так как все элементы проводника перпендикулярны радиусу-вектору (sin a =1) и расстояние всех элементов проводника до центра кругового тока одинаково и равно R, то, согласно (110.2),

Тогда

Следовательно, магнитная индукция поля в центре кругового проводника с током

§ 111. Закон Ампера. Взаимодействие параллельных токов

Магнитное поле (см. § 109) оказывает на рамку с током ориентирующее действие. Следовательно, вращающий момент, испытываемый рамкой, есть результат действия сил на отдельные ее элементы. Обобщая результаты исследования действия магнитного поля на различные проводники с током. Ампер установил, что сила d F, с которой магнитное поле действует на элемент проводника d l с током, находящегося в магнит­ном поле, равна

(111.1)

где d l —вектор, по модулю равный d l и совпадающий по направлению с током, В — вектор магнитной индукции.

Направление вектора d F может быть найдено, согласно (111.1), по общим правилам векторного произведения, откуда следует правило левой руки: если ладонь левой руки расположить так, чтобы в нее входил вектор В, а четыре вытянутых пальца рас­положить по направлению тока в проводнике, то отогнутый большой палец покажет направление силы, действующей на ток.

Модуль силы Ампера (см. (111.1)) вычисляется по формуле

(111.2)

где a —угол между векторами d l и В.

Закон Ампера применяется для определения силы взаимодействия двух токов. Рассмотрим два бесконечных прямолинейных параллельных тока I 1 и I 2; (направления токов указаны на рис. 167), расстояние между которыми равно R. Каждый из провод­ников создает магнитное поле, которое действует по закону Ампера на другой провод­ник с током. Рассмотрим, с какой силой действует магнитное поле тока I 1 на элемент d l второго проводника с током I 2. Ток I 1 создает вокруг себя магнитное поле, линии магнитной индукции которого представляют собой концентрические окружности. На­правление вектора B 1 определяется правилом правого винта, его модуль по формуле (110.5) равен

Направление силы d F 1, с которой поле B 1 действует на участок d l второго тока, определяется по правилу левой руки и указано на рисунке. Модуль силы, согласно (111.2), с учетом того, что угол a между элементами тока I 2 и вектором B 1 прямой, равен

подставляя значение для В 1, получим

(111.3)

Рассуждая аналогично, можно показать, что сапа d F 2 с которой магнитное поле тока I 2 действует на элемент d l первого проводника с током I 1, направлена в проти­воположную сторону и по модулю равна

(111.4)

Сравнение выражений (111.3) и (111.4) показывает, что

т. е. два параллельных тока одинакового направления притягиваются друг к другу с силой

(111.5)

Если токи имеют противоположные направления, то, используя правило левой руки, можно показать, что между ними действует сила отталкивания, определяемая формулой (111.5).

§ 112. Магнитная постоянная. Единицы магнитной индукции и напряженности магнитного поля

Если два параллельных проводника с током находятся в вакууме (m= 1), то сила взаимодействия на единицу длины проводника, согласно (111.5), равна

(112.1)

Для нахождения числового значения m 0 воспользуемся определением ампера, согласно

которому =2× 10–7Н/м при I 1 = I 2 = 1 А и R = 1 м. Подставив это значение в фор­мулу (112.1), получим

где генри (Гн) — единица индуктивности (см. § 126).

Закон Ампера позволяет определить единицу магнитной индукции В. Предполо­жим, что элемент проводника d l с током I перпендикулярен направлению магнитного поля. Тогда закон Ампера (см. (111.2)) запишется в виде d F =IB d l, откуда

Единица магнитной индукции — тесла (Тл): 1 Тл — магнитная индукция такого однородного магнитного поля, которое действует с силой 1 Н на каждый метр длины прямолинейного проводника, расположенного перпендикулярно направлению поля, если по этому проводнику проходит ток 1 А:

Так как m 0 = 4p× 10–7 Н/А2, а в случае вакуума (m = 1), согласно (109.3), B=m 0 H, то для данного случая

Единица напряженности магнитного поля — ампер на метр (А/м): 1 А/м — напря­женность такого поля, магнитная индукция которого в вакууме равна 4p× 10–7 Тл.

§ 113. Магнитное поле движущегося заряда

Каждый проводник с током создает в окружающем пространстве магнитное поле. Электрический же ток представляет собой упорядоченное движение электрических зарядов. Поэтому можно сказать, что любой движущийся в вакууме или среде заряд создает вокруг себя магнитное поле. В результате обобщения опытных данных был установлен закон, определяющий поле В точечного заряда Q, свободно движущегося с нерелятивистской скоростью v. Под свободным движением заряда понимается его движение с постоянной скоростью. Этот закон выражается формулой

(113.1)

где r — радиус-вектор, проведенный от заряда Q к точке наблюдения М (рис. 168). Согласно выражению (113.1), вектор В направлен перпендикулярно плоскости, в кото­рой расположены векторы v и r, а именно: его направление совпадает с направлением поступательного движения правого винта при его вращении от v к r.

Модуль магнитной индукции (113.1) вычисляется по формуле

(113.2)

где a — угол между векторами v и r.

Сравнивая выражения (110.1) и (113.1), видим, что движущийся заряд по своим магнитным свойствам эквивалентен элементу тока:

Приведенные закономерности (113.1) и (113.2) справедливы лишь при малых скоро­стях (v < < с) движущихся зарядов, когда электрическое поле свободно движущегося заряда можно считать электростатическим, т. е. создаваемым неподвижным зарядом, находящимся в той точке, где в данный момент времени расположен движущийся заряд.

Формула (113.1) определяет магнитную индукцию положительного заряда, движу­щегося со скоростью v. Если движется отрицательный заряд, то Q надо заменить на —Q. Скорость v — относительная скорость, т. е. скорость относительно наблюдателя. Вектор В в рассматриваемой системе отсчета зависиткак от времени, так и от положения точки М наблюдения. Поэтому следует подчеркнуть относительный харак­тер магнитного поля движущегося заряда.

Впервые поле движущегося заряда удалось обнаружить американскому физику Г. Роуланду (1848—1901). Окончательно этот факт был установлен профессором Мо­сковского университета А. А. Эйхенвальдом (1863—1944), изучившим магнитное поле конвекционного тока, а также магнитное поле связанных зарядов поляризованного диэлектрика. Магнитное поле свободно движущихся зарядов было измерено академи­ком А. Ф. Иоффе, доказавшим эквивалентность, в смысле возбуждения магнитного поля, электронного пучка и тока проводимости.

§ 114. Действие магнитного поля на движущийся заряд

Опыт показывает, что магнитное поле действует не только на проводники с током (см. § 111), но и на отдельные заряды, движущиеся в магнитном поле. Сила, действующая на электрический заряд Q, движущийся в магнитном поле со скоростью v, называется силой Лоренца и выражается формулой

(114.1)

где В — индукция магнитного поля, в котором заряд движется.

Направление силы Лоренца определяется с помощью правила левой руки: если ладонь левой руки расположить так, чтобы в нее входил вектор В, а четыре вытянутых пальца направить вдоль вектора v (для Q > 0 направления I и v совпадают, для Q < 0 противоположны), то отогнутый большой палец покажет направление силы, действующей на положительный заряд. На рис. 169 показана взаимная ориентация векторов v, В (поле направлено к нам, на рисунке показано точками) и F для положительного заряда. На отрицательный заряд сила действует в противоположном направ­лении. Модуль силы Лоренца (см. (114.1)) равен

где a — угол между v и В.

Отметим еще раз (см. § 109), что магнитное поле не действует на покоящийся электрический заряд. В этом существенное отличие магнитного поля от электрического. Магнитное поле действует только на движущиеся в нем заряды.

Так как по действию силы Лоренца можно найти модуль и направление вектора В, то выражение для силы Лоренца может быть использовано (наравне с другими, см. § 109) для определения вектора магнитной индукции В.

Сила Лоренца всегда перпендикулярна скорости движения заряженной частицы, поэтому она изменяет только направление этой скорости, не изменяя ее модуля. Следовательно, сила Лоренца работы не совершает. Иными словами, постоянное магнитное поле не совершает работы над движущейся в нем заряженной частицей и кинетическая энергия этой частицы при движении в магнитном поле не изменяется.

Если на движущийся электрический заряд помимо магнитного поля с индукцией В действует и электрическое поле с напряженностью Е, то результирующая сила F, приложенная к заряду, равна векторнойсумме сил — силы, действующей со стороны электрического поля, и силы Лоренца:

Это выражение называется формулой Лоренца. Скорость v в этой формуле есть ско­рость заряда относительно магнитного поля.

§ 115. Движение заряженных частиц в магнитном поле

Выражение для силы Лоренца (114.1) позволяет найти ряд закономерностей движения заряженных частиц в магнитном поле. Направление силы Лоренца и направление вызываемого ею отклонения заряженной частицы в магнитном поле зависят от знака заряда Q частицы. На этом основано определение знака заряда частиц, движущихся в магнитных полях.

Для вывода общих закономерностей будем считать, что магнитное поле однородно и на частицы электрические поля не действуют. Если заряженная частица движется в магнитном поле со скоростью v вдоль линий магнитной индукции, то угол a между векторами v и В равен 0 или p. Тогда по формуле (114.1) сила Лоренца равна нулю, т. е. магнитное поле на частицу не действует и она движется равномерно и прямолинейно.

Если заряженная частица движется в магнитном поле со скоростью v, перпен­дикулярной вектору В, то сила Лоренца F = Q [ vB ] постоянна по модулю и нормальна к траектории частицы. Согласно второму закону Ньютона, эта сила создает центро­стремительное ускорение. Отсюда следует, что частица будет двигаться по окружности, радиус r которой определяется из условия QvB=mv2/r откуда

(115.1)

Период вращения частицы, т. е. время Т, за которое она совершает один полный оборот,

Подставив сюда выражение (115.1), получим

(115.2)

т. е. период вращения частицы в однородном магнитном поле определяется только величиной, обратной удельному заряду (Q/m) частицы, и магнитной индукцией поля, но не зависит от ее скорости (при v< < c). На этом основано действие циклических ускорителей заряженных частиц (см. § 116).

Если скорость v заряженной частицы направлена под углом a к вектору В (рис. 170), то ее движение можно представить в виде суперпозиции: 1) равномерного прямолиней­ного движения вдоль поля со скоростью v || =v cos a; 2) равномерного движения со скоростью v ^= v sin a по окружности в плоскости, перпендикулярной полю. Радиус окружности определяется формулой (115.1) (в данном случае надо заменить v на v ^= v sin a). В результате сложения обоих движений возникает движение по спирали, ось которой параллельна магнитному полю (рис. 170). Шаг винтовой линии

Подставив в последнее выражение (115.2), получим

Направление, в котором закручивается спираль, зависит от знака заряда частицы.

Если скорость v заряженной частицы составляет угол a с направлением векто­ра В неоднородного магнитного поля, индукция которого возрастает в направлении движения частицы, то r и h уменьшаются с ростом В. На этом основана фокусировка заряженных частиц в магнитном поле.

§ 116. Ускорители заряженных частиц

Ускорителями заряженных частиц называются устройства, в которых под действием электрических и магнитных полей создаются и управляются пучки высокоэнергетичных заряженных частиц (электронов, протонов, мезонов и т. д.).

Любой ускоритель характеризуется типом ускоряемых частиц, энергией, сообща­емой частицам, разбросом частиц по энергиям и интенсивностью пучка. Ускорители делятся на непрерывные (из них выходит равномерный по времени пучок) и импульсные (из лих частицы вылетают порциями — импульсами). Последние характеризуются длительностью импульса. По форме траектории и механизму ускорения частиц ускори­тели делятся на линейные, циклические и индукционные. В линейных ускорителях траектории движения частиц близки к прямым линиям, в циклических и индукцион­ных — траекториями частиц являются окружности или спирали.

Рассмотрим некоторые типы ускорителей заряженных частиц.

1. Линейный ускоритель. Ускорение частиц осуществляется электростатическим полем, создаваемым, например, высоковольтным генератором Ван-де-Граафа (см. § 92). Заряженная частица проходит поле однократно: заряд Q, проходя разность потенциалов j1—j2, приобретает энергию W=Q (j1—j2). Таким способом частицы ускоряются до»10 МэВ. Их дальнейшее ускорение с помощью источников постоян­ного напряжения невозможно из-за утечки зарядов, пробоев и т. д.

2. Линейный резонансный ускоритель. Ускорение заряженных частиц осуществляет­ся переменным электрическим полем сверхвысокой частоты, синхронно изменяющимся с движением частиц. Таким способом протоны ускоряются до энергий порядка десят­ков мегаэлектрон-вольт, электроны — до десятков гигаэлектрон-вольт.

3. Циклотрон — циклический резонансный ускоритель тяжелых частиц (протонов, ионов). Его принципиальная схема приведена на рис. 171. Между полюсами сильного электромагнита помещается вакуумная камера, в которой находятся два электрода (1 и 2) в виде полых металлических полуцилиндров, или дуантов. К дуантам приложено переменное электрическое поле. Магнитное поле, создаваемое электромагнитом, одно­родно и перпендикулярно плоскости дуантов.

Если заряженную частицу ввести в центр зазора между дуантами, то она, ускоря­емая электрическим и отклоняемая магнитным полями, войдя в дуант 1, опишет полуокружность, радиус которой пропорционален скорости частицы (см. (115.1)). К моменту ее выхода из дуанта 1 полярность напряжения изменяется (при соответст­вующем подборе изменения напряжения между дуантами), поэтому частица вновь ускоряется и, переходя в дуант 2, описывает там уже полуокружность большего радиуса и т. д.

Для непрерывного ускорения частицы в циклотроне необходимо выполнить условие синхронизма (условие «резонанса») — периоды вращения частицы в магнитном поле и колебаний электрического поля должны быть равны. При выполнении этого условия частица будет двигаться по раскручивающейся спирали, получая при каждом прохож­дении через зазор дополнительную энергию. На последнем витке, когда энергия частиц и радиус орбиты доведены до максимально допустимых значений, пучок частиц посредством отклоняющего электрического поля выводится из циклотрона.


Поделиться с друзьями:

mylektsii.su - Мои Лекции - 2015-2026 год. (1.702 сек.)Все материалы представленные на сайте исключительно с целью ознакомления читателями и не преследуют коммерческих целей или нарушение авторских прав Пожаловаться на материал