Студопедия

Главная страница Случайная страница

КАТЕГОРИИ:

АвтомобилиАстрономияБиологияГеографияДом и садДругие языкиДругоеИнформатикаИсторияКультураЛитератураЛогикаМатематикаМедицинаМеталлургияМеханикаОбразованиеОхрана трудаПедагогикаПолитикаПравоПсихологияРелигияРиторикаСоциологияСпортСтроительствоТехнологияТуризмФизикаФилософияФинансыХимияЧерчениеЭкологияЭкономикаЭлектроника






Максвелл ввел понятие полного тока,равного сумме токов проводимости (а также конвекционных токов) и смещения.Плотность полного тока 23 страница






b -Излучение отклоняется электрическим и магнитным полями; его ионизирующая способность значительно меньше (примерно на два порядка), а проникающая способ­ность гораздо больше (поглощается слоем алюминия толщиной примерно 2 мм), чем у a -частиц. b -Излучение представляет собой поток быстрых электронов (это вытекает из определения их удельного заряда).

Поглощение потока электронов с одинаковыми скоростями в однородном веществе подчиняется экспоненциальному закону N=N 0 em x, где N 0и N — число электронов на входе и выходе слоя вещества толщиной x, m — коэффициент поглощения. b -Излучение сильно рассеивается в веществе, поэтому m зависит не только от вещества, но и от размеров и формы тел, на которые b -излучение падает.

g -Излучение не отклоняется электрическим и магнитным полями, обладает от­носительно слабой ионизирующей способностью и очень большой проникающей спо­собностью (например, проходит через слой свинца толщиной 5 см), при прохождении через кристаллы обнаруживает дифракцию. g -Излучение представляет собой корот­коволновое электромагнитное излучение с чрезвычайно малой длиной волны l< 10–10 м и вследствие этого — ярко выраженными корпускулярными свойствами, т.е. является потоком частиц — g -квантов (фотонов).

§ 256. Закон радиоактивного распада. Правила смещения

Под радиоактивным распадом, или просто распадом, понимают естественное радиоак­тивное превращение ядер, происходящее самопроизвольно. Атомное ядро, испытыва­ющее радиоактивный распад, называется материнским, возникающее ядро — дочерним.

Теория радиоактивного распада строится на предположении о том, что радиоак­тивный распад является спонтанным процессом, подчиняющимся законам статистики. Так как отдельные радиоактивные ядра распадаются независимо друг от друга, то можно считать, что число ядер d N, распавшихся в среднем за интервал времени от t до t +d t, пропорционально промежутку времени d t и числу N нераспавшихся ядер к моме­нту времени t:

(256.1)

где l — постоянная для данного радиоактивного вещества величина, называемая постоянной радиоактивного распада; знак минус указывает, что общее число радиоак­тивных ядер в процессе распада уменьшается. Разделив переменные и интегрируя:

получим

(256.2)

где N 0 начальное число нераспавшихся ядер (в момент времени t =0), N— число нераспавшихся ядер в момент времени t. Формула (256.2) выражает закон радиоактив­ного распада, согласно которому число нераспавшихся ядер убывает со временем по экспоненциальному закону.

Интенсивность процесса радиоактивного распада характеризуют две величины: период полураспада Т 1/2 и среднее время жизни t радиоактивного ядра. Период полураспада Т 1/2 время, за которое исходное число радиоактивных ядер в среднем уменьшается вдвое. Тогда, согласно (256.2),

откуда

Периоды полураспада для естественно-радиоактивных элементов колеблются от десятимиллионных долей секунды до многих миллиардов лет.

Суммарная продолжительность жизни d N ядер равна t|dN|=lNt d t. Проинтег­рировав это выражение по всем возможным t (т. е. от 0 до ¥) и разделив на началь­ное число ядер N 0, получим среднее время жизни t радиоактивного ядра:

(учтено (256.2)). Таким образом, среднее время жизни t радиоактивного ядра есть величина, обратная постоянной радиоактивного распада l.

Активностью А нуклида (общее название атомных ядер, отличающихся числом протонов Z и нейтронов N) в радиоактивном источнике называется число распадов, происходящих с ядрами образца в 1 с:

(256.3)

Единица активности в СИ — беккерель (Бк): 1 Бк — активность нуклида, при которой за 1 с происходит один акт распада. До сих пор в ядерной физике применяется и внесистемная единица активности нуклида в радиоактивном источнике — кюри (Ки): 1 Ки= 3, 7× 1010Бк.

Радиоактивный распад происходит в соответствии с так называемыми правилами смещения, позволяющими установить, какое ядро возникает в результате распада данного материнского ядра. Правила смещения:

(256.4)

(256.5)

где Х — материнское ядро, Y — символ дочернего ядра, Не — ядро гелия (a -частица), е— символическое обозначение электрона (заряд его равен –1, а массовое число — нулю). Правила смещения являются ничем иным, как следствием двух зако­нов, выполняющихся при радиоактивных распадах, — сохранения электрического за­ряда и сохранения массового числа: сумма зарядов (массовых чисел) возникающих ядер и частиц равна заряду (массовому числу) исходного ядра.

Возникающие в результате радиоактивного распада ядра могут быть, в свою очередь, радиоактивными. Это приводит к возникновению цепочки, или ряда, радиоак­тивных превращений, заканчивающихся стабильным элементом. Совокупность элемен­тов, образующих такую цепочку, называется радиоактивным семейством.

Из правил смещения (256.4) и (256.5) вытекает, что массовое число при a -распаде уменьшается на 4, а при b -распаде не меняется. Поэтому для всех ядер одного и того же радиоактивного семейства остаток от деления массового числа на 4 одинаков. Таким образом, существует четыре различных радиоактивных семейства, для каждого из которых массовые числа задаются одной из следующих формул:

где n — целое положительное число. Семейства называются по наиболее долгоживущему (с наибольшим периодом полураспада) «родоначальнику»: семейства тория (от Th), нептуния (от Np), урана (от U) и актиния (от Ас). Конечными нуклидами соответственно являются Pb, Bi, Pb, Pb, т.е. единственное семейство непту­ния (искусственно-радиоактивные ядра) заканчивается нуклидом Bi, а все остальные (естественно-радиоактивные ядра) — нуклидами Рb.

§ 257. Закономерности a-распада

В настоящее время известно более двухсот a -активных ядер, главным образом тяжелых (А> 200, Z > 82). Только небольшая группа a -активных ядер приходится на область с А = 140 ¸ 160 (редкие земли). a -Распад подчиняется правилу смещения (256.4). Приме­ром a -распада служит распад изотопа урана 238U с образованием Th:

Скорости вылетающих при распаде a --частиц очень велики и колеблются для разных ядер в пределах от 1, 4× 107 до 2× 107 м/с, что соответствует энергиям от 4 до 8, 8 МэВ. Согласно современным представлениям, a -частицы образуются в момент радиоактив­ного распада при встрече движущихся внутри ядра двух протонов и двух нейтронов.

a -Частицы, испускаемые конкретным ядром, обладают, как правило, определенной энергией. Более тонкие измерения, однако, показали, что энергетический спектр a -частиц, испускаемых данным радиоактивным элементом, обнаруживает «тонкую структуру», т. е. испускается несколько групп a -частиц, причем в пределах каждой группы их энергии практически постоянны. Дискретный спектр a -частиц свидетельству­ет о том, что атомные ядра обладают дискретными энергетическими уровнями.

Для a -распада характерна сильная зависимость между периодом полураспада T 1/2 и энергией Е вылетающих частиц. Эта взаимосвязь определяется эмпирическим законом Гейгера — Нэттола (1912)*, который обычно выражают в виде зависимости между пробегом Ra (расстоянием, проходимым частицей в веществе до ее полной остановки) a -частиц в воздухе и постоянной радиоактивного распада l:

(257.1)

где А и В— эмпирические константы, l = (ln 2)/ T 1/2. Согласно (257.1), чем меньше период полураспада радиоактивного элемента, тем больше пробег, а следовательно, и энергия испускаемых им a -частиц. Пробег a -частиц в воздухе (при нормальных условиях) составляет несколько сантиметров, в более плотных средах он гораздо меньше, составляя сотые доли миллиметра (a -частицы можно задержать обычным листом бумаги).

* Д. Нэттол (1890—1958) — английский физик; X. Гейгер (1882—1945) — немецкий физик.

 

Опыты Резерфорда по рассеянию a -частиц на ядрах урана показали, что a -частицы вплоть до энергии 8, 8 МэВ испытывают на ядрах резерфордовское рассеяние, т. е. силы, действующие на a -частицы со стороны ядер, описываются законом Кулона. Подобный характер рассеяния a -частиц указывает на то, что они еще не вступают в область действия ядерных сил, т. е. можно сделать вывод, что ядро окружено потенциальным барьером, высота которого не меньше 8, 8 МэВ. С другой стороны, a -частицы, испускаемые ураном, имеют энергию 4, 2 МэВ. Следовательно, a -частицы вылетают из a -радиоактивного ядра с энергией, заметно меньшей высоты потенциаль­ного барьера. Классическая механика этот результат объяснить не могла.

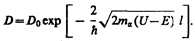
Объяснение a -распада дано квантовой механикой, согласно которой вылет a -части­цы из ядра возможен благодаря туннельному эффекту (см. § 221) — проникновению a -частицы сквозь потенциальный барьер. Всегда имеется отличная от нуля вероятность того, что частица с энергией, меньшей высоты потенциального барьера, пройдет сквозь вето, т. е., действительно, из a -радиоактивного ядра a -частицы могут вылетать с энер­гией, меньшей высоты потенциального барьера. Этот эффект целиком обусловлен волновой природой a -частиц.

Вероятность прохождения a -частицы сквозь потенциальный барьер определяется его формой и вычисляется на основе уравнения Шредингера. В простейшем случае потенциального барьера с прямоугольными вертикальными стенками (см. рис. 298, а)коэффициент прозрачности, определяющий вероятность прохождения сквозь него, определяется рассмотренной ранее формулой (221.7):

Анализируя это выражение, видим, что коэффициент прозрачности D тем больше (следовательно, тем меньше период полураспада), чем меньший по высоте (U) и шири­не (l) барьер находится на пути a -частицы. Кроме того, при одной и той же потенциаль­ной кривой барьер на пути частицы тем меньше, чем больше ее энергия Е. Таким образом качественно подтверждается закон Гейгера — Нэттола (см. (257.1)).

§ 258. b -Распад. Нейтрино

Явление b -распада (в дальнейшем будет показано, что существует и b +-распад) подчиняется правилу смещения (256.5)

и связано с выбросом электрона. Пришлось преодолеть целый ряд трудностей с трак­товкой b -распада.

Во-первых, необходимо было обосновать происхождение электронов, выбрасыва­емых в процессе b -распада. Протонно-нейтронное строение ядра исключает возмож­ность вылета электрона из ядра, поскольку в ядре электронов нет. Предположение же, что электроны вылетают не из ядра, а из электронной оболочки, несостоятельно, поскольку тогда должно было бы наблюдаться оптическое или рентгеновское излуче­ние, что не подтверждают эксперименты.

Во-вторых, необходимо было объяснить непрерывность энергетического спектра испускаемых электронов (типичная для всех изотопов кривая распределения b -частиц по энергиям приведена на рис. 343). Каким же образом b -активные ядра, обладающие до и после распада вполне определенными энергиями, могут выбрасывать электроны со значениями энергии от нуля до некоторого максимального E mах? Т.е. энергетичес­кий спектр испускаемых электронов является непрерывным? Гипотеза о том, что при b -распаде электроны покидают ядро со строго определенными энергиями, но в ре­зультате каких-то вторичных взаимодействий теряют ту или иную долю своей энергии, так что их первоначальный дискретный спектр превращается в непрерывный, была опровергнута прямыми калориметрическими опытами. Так как максимальная энергия E mахопределяется разностью масс материнского и дочернего ядер, то распады, при которых энергия электрона Е< E mах, как бы протекают с нарушением закона сохранения энергии. Н. Бор даже пытался обосновать это нарушение, высказывая предположе­ние, что закон сохранения энергии носит статистический характер и выполняется лишь в среднем для большого числа элементарных процессов. Отсюда видно, насколько принципиально важно было разрешить это затруднение.

В-третьих, необходимо было разобраться с несохранением спина при b -распаде. При b -распаде число нуклонов в ядре не изменяется (так как не изменяется массовое число А), поэтому не должен изменяться и спин ядра, который равен целому числу при четном А и полуцелому при нечетном А. Однако выброс электрона, имеющего спин , должен изменить спин ядра на величину .

Последние два затруднения привели В. Паули к гипотезе (1931) о том, что при b -распаде вместе с электроном испускается еще одна нейтральная частица — нейтрино. Нейтрино имеет нулевой заряд, спин 1/2 (в единицах ) и нулевую (а скорее < 10–4 тe) массу покоя; обозначается . Впоследствии оказалось, что при b -распаде испускается не нейтрино, а антинейтрино (античастица по отношению к нейтрино; обозначается ).

Гипотеза о существовании нейтрино позволила Э. Ферми создать теорию b -распада (1934), которая в основном сохранила свое значение и в настоящее время, хотя экспериментально существование нейтрино было доказано более чем через 20 лет (1956). Столь длительные «поиски» нейтрино сопряжены с большими трудностями, обусловленными отсутствием у нейтрино электрического заряда и массы. Нейтри­но — единственная частица, не участвующая ни в сильных, ни в электромагнитных взаимодействиях; единственный вид взаимодействий, в котором может принимать участие нейтрино, — слабое взаимодействие. Поэтому прямое наблюдение нейтрино весьма затруднительно. Ионизирующая способность нейтрино столь мала, что один акт ионизации в воздухе приходится на 500 км пути. Проникающая же способность нейтрино столь огромна (пробег нейтрино с энергией 1 МэВ в свинце составляет примерно 1018 м!), что затрудняет удержание этих частиц в приборах.

Для экспериментального выявления нейтрино (антинейтрино) применялся поэтому косвенный метод, основанный на том, что в реакциях (в том числе и с участием нейтрино) выполняется закон сохранения импульса. Таким образом, нейтрино было обнаружено при изучении отдачи атомных ядер при b -распаде. Если при b -распаде ядра вместе с электроном выбрасывается и антинейтрино, то векторная сумма трех импульсов — ядра отдачи, электрона и антинейтрино — должна быть равна нулю. Это действительно подтвердилось на опыте. Непосредственное обнаружение нейтрино ста­ло возможным лишь значительно позднее, после появления мощных реакторов, позво­ляющих получать интенсивные потоки нейтрино.

Введение нейтрино (антинейтрино) позволило не только объяснить кажущееся несохранение спина, но и разобраться с вопросом непрерывности энергетического спектра выбрасываемых электронов. Сплошной спектр b -частиц обусловлен распределением энергии между электронами и антинейтрино, причем сумма энергий обеих частиц равна Е max. В одних актах распада большую энергию получает антинейтрино, в других — электрон; в граничной точке кривой на рис. 343, где энергия электрона равна Е max, вся энергия распада уносится электроном, а энергия антинейтрино равна нулю.

Наконец, рассмотрим вопрос о происхождении электронов при b -распаде. По­скольку электрон не вылетает из ядра и не вырывается из оболочки атома, было сделано предположение, что b - электрон рождается в результате процессов, происходящих внутри ядра. Так как при b -распаде число нуклонов в ядре не изменяется, a Z увеличи­вается на единицу (см. (265.5)), то единственной возможностью одновременного осуще­ствления этих условий является превращение одного из нейтронов b -активного ядра в протон с одновременным образованием электрона и вылетом антинейтрино:

(258.1)

В этом процессе выполняются законы сохранения электрических зарядов, импульса и массовых чисел. Кроме того, данное превращение энергетически возможно, так как масса покоя нейтрона превышает массу атома водорода, т. е. протона и электрона вместе взятых. Данной разности в массах соответствует энергия, равная 0, 782 МэВ. За счет этой энергии может происходить самопроизвольное превращение нейтрона в про­тон; энергия распределяется между электроном и антинейтрино.

Если превращение нейтрона в протон энергетически выгодно и вообще возможно, то должен наблюдаться радиоактивный распад свободных нейтронов (т. е. нейтронов вне ядра). Обнаружение этого явления было бы подтверждением изложенной теории b -распада. Действительно, в 1950 г. в потоках нейтронов большой интенсивности, возникающих в ядерных реакторах, был обнаружен радиоактивный распад свободных нейтронов, происходящий по схеме (258.1). Энергетический спектр возникающих при этом электронов соответствовал приведенному на рис. 343, а верхняя граница энергии электронов E max оказалась равной рассчитанной выше (0, 782 МэВ).

§ 259. Гамма-излучение и его свойства

Экспериментально установлено, что g -излучение (см. § 255) не является самостоятель­ным видом радиоактивности, а только сопровождает a - и b -распады и также возникает при ядерных реакциях, при торможении заряженных частиц, их распаде и т. д. g -Спектр является линейчатым. g -Спектр — это распределение числа g -квантов по энергиям (такое же толкование b -спектра дано в §258). Дискретность g -спектра имеет принципи­альное значение, так как является доказательством дискретности энергетических состо­яний атомных ядер.

В настоящее время твердо установлено, что g -излучение испускается дочерним (а не материнским) ядром. Дочернее ядро в момент своего образования, оказываясь возбуж­денным, за время примерно 10–13—10–14 с, значительно меньшее времени жизни возбужденного атома (примерно 10–8 с), переходит в основное состояние с испускани­ем g -излучения. Возвращаясь в основное состояние, возбужденное ядро может пройти через ряд промежуточных состояний, поэтому g -излучение одного и того же радиоак­тивного изотопа может содержать несколько групп g -квантов, отличающихся одна от другой своей энергией.

При g -излучении А и Z ядра не изменяются, поэтому оно не описывается никакими правилами смещения. g -Излучение большинства ядер является столь коротковолно­вым, что его волновые свойства проявляются весьма слабо. Здесь на первый план выступают корпускулярные свойства, поэтому g -излучение рассматривают как поток частиц — g -квантов. При радиоактивных распадах различных ядер g -кванты имеют энергии от 10 кэВ до 5 МэВ.

Ядро, находящееся в возбужденном состоянии, может перейти в основное состоя­ние не только при испускании g -кванта, но и при непосредственной передаче энергии возбуждения (без предварительного испускания g -кванта) одному из электронов того же атома. При этом испускается так называемый электрон конверсии. Само явление называется внутренней конверсией. Внутренняя конверсия — процесс, конкурирующий с g -излучением.

Электронам конверсии соответствуют дискретные значения энергии, зависящей от работы выхода электрона из оболочки, из которой электрон вырывается, и от энергии Е, отдаваемой ядром при переходе из возбужденного состояния в основное. Если вся энергия Е выделяется в виде g -кванта, то частота излучения n определяется из извест­ного соотношения E=hn. Если же испускаются электроны внутренней конверсии, то их энергии равны Е—АK, E—AL,.... где AK, AL,... — работа выхода электрона из К- и L -оболочек. Моноэнергетичность электронов конверсии позволяет отличить их от b -электронов, спектр которых непрерывен (см. § 258). Возникшее в результате вылета электрона вакантное место на внутренней оболочке атома будет заполняться электро­нами с вышележащих оболочек. Поэтому внутренняя конверсия всегда сопровождается характеристическим рентгеновским излучением.

g -Кванты, обладая нулевой массой покоя, не могут замедляться в среде, поэтому при прохождении g -излучения сквозь вещество они либо поглощаются, либо рассеива­ются им. g -Кванты не несут электрического заряда и тем самым не испытывают влияния кулоновских сил. При прохождении пучка g -квантов сквозь вещество их энергия не меняется, но в результате столкновений ослабляется интенсивность, измене­ние которой описывается экспоненциальным законом I = I 0e mx (I 0 и I — интенсивности g -излучения на входе и выходе слоя поглощающего вещества толщиной х, m — коэф­фициент поглощения). Так как g -излучение — самое проникающее излучение, то m для многих веществ — очень малая величина; m зависит от свойств вещества и от энергии g -квантов.

g -Кванты, проходя сквозь вещество, могут взаимодействовать как с электронной оболочкой атомов вещества, так и с их ядрами. В квантовой электродинамике до­казывается, что основными процессами, сопровождающими прохождение g -излучения через вещество, являются фотоэффект, комптон-эффект (комптоновское рассеяние) и образование электронно-позитронных пар.

Фотоэффект, или фотоэлектрическое поглощение g -излучения, — это процесс, при котором атом поглощает g -квант и испускает электрон. Так как электрон выбивается из одной из внутренних оболочек атома, то освободившееся место заполняется электрона­ми из вышележащих оболочек, и фотоэффект сопровождается характеристическим рентгеновским излучением. Фотоэффект является преобладающим механизмом погло­щения в области малых энергий g -квантов (Eg £ 100 кэВ). Фотоэффект может идти только на связанных электронах, так как свободный электрон не может поглотить g -квант, при этом одновременно не удовлетворяются законы сохранения энергии и импульса.

По мере увеличения энергии g -квантов (Eg»0, 5 МэВ) вероятность фотоэффекта очень мала и основным механизмом взаимодействия g -квантов с веществом является комптоновское рассеяние (см. § 206).

При Eg > l, 02 МэВ=2 meс 2 (тe масса покоя электрона) становится возможным процесс образования электронно-позитронных пар в электрических полях ядер. Вероят­ность этого процесса пропорциональна Z 2 и увеличивается с ростом Eg. Поэтому при Eg»10 МэВ основным процессом взаимодействия g -излучения в любом веществе является образованно электронно-позитронных пар.

Если энергия g -кванта превышает энергию связи нуклонов в ядре (7—8 МэВ), то в результате поглощения g -кванта может наблюдаться ядерный фотоэффект — выброс из ядра одного из нуклонов, чаще всего нейтрона.

Большая проникающая способность g -излучения используется в гамма-дефектоско­пии — методе дефектоскопии, основанном на различном поглощении g -излучения при распространении его на одинаковое расстояние в разных средах. Местоположение и размеры дефектов (раковины, трещины и т. д.) определяются по различию в интенсивностях излучения, прошедшего через разные участки просвечиваемого изделия.

Воздействие g -излучения (а также других видов ионизирующего излучения) на вещество характеризуют дозой ионизирующего излучения. Различаются:

Поглощенная доза излучения — физическая величина, равная отношению энергии излучения к массе облучаемого вещества.

Единица поглощенной дозы излучения — грей (Гр)*: 1 Гр= 1 Дж/кг — доза из­лучения, при которой облученному веществу массой 1 кг передается энергия любого ионизирующего излучения 1 Дж.

* С. Грей (1666—1736) — английский физик.

 

Экспозиционная доза излучения — физическая величина, равная отношению суммы электрических зарядоввсех ионов одного знака, созданных электронами, освобожден­ными в облученном воздухе (при условии полного использования ионизирующей способности электронов), к массе этого воздуха.

Единица экспозиционной дозы излучения — кулон на килограмм (Кл/кг); внесистемной единицей является рентген (Р): 1 Р=2, 58× 10–4 Кл/кг.

Биологическая доза — величина, определяющая воздействие излучения на орга­низм.

Единица биологической дозы — биологический эквивалент рентгена (бэр): 1 бэр — доза любого вида ионизирующего излучения, производящая такое же биоло­гическое действие, как и доза рентгеновского или g -излучения в 1 Р (1 бэр = 10–2 Дж/кг).

Мощность дозы излучения — величина, равная отношению дозы излучения к време­ниоблучения. Различают: 1) мощность поглощенной дозы (единица — грей на секунду (Гр/с)); 2) мощность экспозиционной дозы (единица — ампер на килограмм (А/кг)).

§ 260. Резонансное поглощение g -излучения (эффект Мёссбауэра*)

Как уже указывалось, дискретный спектр g -излучения обусловлен дискретностью энер­гетических уровней ядер атомов. Однако, как следует из соотношения неопределен­ностей (215.5), энергия возбужденных состояний ядра принимает значения в пределах D E» h/ D t, где D t — время жизни ядра в возбужденном состоянии. Следовательно, чем меньше D t, тем больше неопределенность энергии D E возбужденного состояния. D E =0только для основного состояния стабильного ядра (для него D t ®¥). Неопределен­ность энергии квантово-механической системы (например, атома), обладающей дискретными уровнями энергии, определяет естественную ширину энергетического уровня (Г). Например, при времени жизни возбужденного состояния, равного 10–13 с, естест­венная ширина энергетического уровня примерно 10–2 эВ.


Поделиться с друзьями:

mylektsii.su - Мои Лекции - 2015-2026 год. (2.143 сек.)Все материалы представленные на сайте исключительно с целью ознакомления читателями и не преследуют коммерческих целей или нарушение авторских прав Пожаловаться на материал