Студопедия

Главная страница Случайная страница

КАТЕГОРИИ:

АвтомобилиАстрономияБиологияГеографияДом и садДругие языкиДругоеИнформатикаИсторияКультураЛитератураЛогикаМатематикаМедицинаМеталлургияМеханикаОбразованиеОхрана трудаПедагогикаПолитикаПравоПсихологияРелигияРиторикаСоциологияСпортСтроительствоТехнологияТуризмФизикаФилософияФинансыХимияЧерчениеЭкологияЭкономикаЭлектроника






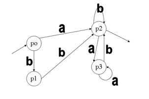
Пример 1






Рассмотрим алгоритм построения по недетерминированному конечному автомату эквивалентного ему детерминированного автомата на Примере 1.

Конечный автомат в Примере 1 распознает цепочки языка (а+bb)(a+b)*. Это недетерминированный конечный автомат. Построим для него эквивалентный автомат без ε -переходов, заменив состояния автомата ε -замыканием.

Таблица переходов для эквивалентного детерминированного автомата.

  a b
po={qo; q1} p2 p1
p1={q2}   p2
p2={q2; q3} p3 p2
p3={qo; q1; q2; q3} p3 p2

 

(Шаг 1 + Шаг 2).

 

Построим автоматную грамматику для языка из Примера 1.(Шаг 3).

Po-> bP1|aP2;
P2-> bP2|aP3;
P3-> bP2|aP3;
P1-> bP2

Рассмотрим пример вывода цепочки bbab: (Шаг 4).
Po-> bP1-> bbP2-> bbaP3-> bbabP2.

Построение дерева вывода цепочки автоматного языка выполняется сверху вниз. Корень дерева помечается начальным состоянием Ро. Если в исходной грамматике построить соответствующий детерминированный конечный автомат, то символ, помечающий каждый следующий узел, совпадает с меткой состояния, в которое переходит автомат на очередном шаге.

 

(Шаг 5).


Поделиться с друзьями:

mylektsii.su - Мои Лекции - 2015-2026 год. (2.273 сек.)Все материалы представленные на сайте исключительно с целью ознакомления читателями и не преследуют коммерческих целей или нарушение авторских прав Пожаловаться на материал