Студопедия

Главная страница Случайная страница

КАТЕГОРИИ:

АвтомобилиАстрономияБиологияГеографияДом и садДругие языкиДругоеИнформатикаИсторияКультураЛитератураЛогикаМатематикаМедицинаМеталлургияМеханикаОбразованиеОхрана трудаПедагогикаПолитикаПравоПсихологияРелигияРиторикаСоциологияСпортСтроительствоТехнологияТуризмФизикаФилософияФинансыХимияЧерчениеЭкологияЭкономикаЭлектроника






Основные непараметрические методы и условия их применения






 

Область применения Название непараметрического критерия Число наблюдений Условия достоверности различий
1.При сравнении сопряженных (взаимосвязанных) совокупностей критерий знаков (Z) число пар < 50
критерий Вилкоксона (Т) число пар=6-25
критерий Манна-Уитни-модификация число пар> 20
2. При сравнении независимых совокупностей критерий Манна-Уитни (U) число пар> 20
критерий Розенбаума (Q) и
критерий Уайта (К или Т) и
критерий Ван дер Вандена (X) число пар=8-26
серийный критерий (S) и
критерий Колмогорова - Смирнова (X)  
З.При альтернативном распределении совокупностей точный метод Фишера для четырехпольных таблиц (Р) и

 

40. Значение t - критерия в оценке достоверности различия статистических совокупностей.

 

Параметрические методы оценки требуют знания характера распределения (только для нормального распределения) изучаемого признака и его параметров (средних величин, стандартного отклонения и др.). Уровень значимости в этих методах определяется с помощью расчета - критерия и сравнения его значения с табличным, который соответствует определенному уровню значимости:

если , то и - гипотеза отвергается;

если , то и - гипотеза принимается, при этом - фактический критерий, рассчитанный в исследовании; - табличное значение критерия для .

 

 

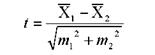
41. Методика расчета t - критерия для двух независимых статистических совокупностей

 

1. При сопоставлении двух независимых серий наблюдений:

для частотных показателей:

для средних величин:

где и - частотные показатели в сравниваемых совокупностях; и - средние величины в сравниваемых совокупностях; и - ошибки репрезентативности показателей и средних величин в сравниваемых совокупностях.

Для оценки достоверности полученного - критерия при числе наблюдений больше 30 можно пользоваться следующей закономерностью:

если , то критерий достоверен, т.к. соответствует р ≥ 0, 95 или р ≤ 0, 05;

если , то критерий достоверен с большей степенью достоверности, т.к. соответствует р ≥ 0, 99 или р ≤ 0, 001.

 

 

42. Особенность оценки t - критерия для больших и малых выборок.

 

Для числа наблюдений меньше 30 достоверность - критерия определяется по таблице Стьюдента. Для определения табличного значения - критерия необходимое число степеней свободы рассчитывается по формуле: , где - число наблюдений в одной совокупности; - число наблюдений в другой совокупности.

Для оценки различий в частотных показателях можно пользоваться таблицей, в которой приводятся минимальные значения разности двух частотных величин, достижения которой достаточно для двукратного превышения своей средней ошибки разности, что подтверждает достоверность различий. Для пользования таблицей достаточно знать меньшее значение из двух показателей и число наблюдений, которое должно быть не меньше 20.

 

43. Область применения, суть методики расчета и оценки метода χ 2.

 

Оценка достоверности различий по методу «хи-квадрат» (критерию соответствия, критерию Пирсона, коэффициенту согласия)

Область применения метода:

• определение достоверности различий в нескольких сравниваемых группах и при нескольких результатах с определенной степенью достоверности;

• определение наличия связи между явлениями без измерения ее величины;

• оценка идентичности (близости) распределений двух и более вариационных рядов.

Преимущества метода:

• не зависит от формы распределения;

• может использоваться для сравнения нескольких групп (признаков)

• используется на абсолютных цифрах;

Ограничения метода:

• величина полученного " хи -квадрата" зависит от перегруппировки материала. Если группировки не ярко выражены, результат не показателен;

• действует лишь как суммарный показатель различия, не устанавливая отклонение каких именно групп друг от друга обусловило конечный результат,

• группы должны быть как можно более однородны для предупреждения " погашения влияний";

• " ожидаемые числа" при расчете должны быть не менее 5;

• не следует применять, если число наблюдений < 20

• служит для оценки независимых совокупностей.

Суть метода заключается в том, что в сравниваемых группах предполагается отсутствие различий в распределении совокупностей (отсутствие связи между исследуемыми факторами), т.е. формулируется -гипотеза. На основании этой гипотезы рассчитывается новое распределение признаков в совокупности по группам (расчет т.н. " ожидаемых чисел"). " Ожидаемые числа" сопоставляют с фактическим. Если -гипотеза верна, то теоретические и фактические числа должны совпасть, и рассчитанный " хи -квадрат" будет равен нулю, либо отклонение теоретических чисел от фактических будет незначительно и полученный «хи-квадрат» не превысит своего критического значения.

Чем больше теоретические числа, рассчитанные на основе -гипотезы, будут отличаться от фактических, тем более " хи -квадрат" будет отличаться от нуля, тем с большей вероятностью можно отклонить -гипотезу и говорить о статистической достоверности имеющихся различий в сравниваемых совокупностях. «Хи – квадрат» рассчитывается по формуле:


где - наблюдаемая частота признака в i - ой группе; - теоретическая частота, рассчитанная на основе - гипотезы.

При альтернативном распределении применяется упрощенная формула, которая рассчитывается на основе таблицы взаимной сопряженности (четырехпольной таблицы):

  всего
b a+b
c d d+c
  a+c b+d N


где - наблюдаемая частота признака в i - ой группе; -альтернативный показатель; N -число наблюдений; a; b; c; d -абсолютные числа в клетках таблицы.

 

 

44. Область применения, суть методики расчета и оценки критерия Вилкоксона.

 

 


Поделиться с друзьями:

mylektsii.su - Мои Лекции - 2015-2026 год. (0.559 сек.)Все материалы представленные на сайте исключительно с целью ознакомления читателями и не преследуют коммерческих целей или нарушение авторских прав Пожаловаться на материал