Студопедия

Главная страница Случайная страница

КАТЕГОРИИ:

АвтомобилиАстрономияБиологияГеографияДом и садДругие языкиДругоеИнформатикаИсторияКультураЛитератураЛогикаМатематикаМедицинаМеталлургияМеханикаОбразованиеОхрана трудаПедагогикаПолитикаПравоПсихологияРелигияРиторикаСоциологияСпортСтроительствоТехнологияТуризмФизикаФилософияФинансыХимияЧерчениеЭкологияЭкономикаЭлектроника






электрона с помощью вакуумного диода

Определение удельного заряда

 

Методические указания к лабораторной работе № 36

 

Ростов-на-Дону 2013

УДК 530.1

 

Составители: С.М. Максимов, И.В. Ершов

 

 

Определение удельного заряда электрона с помощью вакуумного диода: метод. указания. - Ростов н/Д: Издатель­ский центр ДГТУ, 2013 – 10 с.

 

Указания содержат краткую теорию по явлению термоэлектронной эмиссии и работе вакуумного диода, а также порядок выполнения лабораторной работы.

Методические указания предназначены для выполнения лабораторной работы студентами всех форм обучения в лабораторном практикуме по дисциплинам «Физика» и «Вакуумная и плазменная электроника».

 

Печатается по решению методической комиссии факультета
«Нанотехнологии и композитные материалы»

 

Научный редактор д-р техн. наук, проф. В.С. Кунаков

 

 

 
 


© Издательский центр ДГТУ, 2013


Цель работы: Исследование вольтамперных характеристик вакуумного диода и определение удельного заряда электрона на основании закона степени трех вторых.

 

Приборы и принадлежности: вакуумный диод, вольтметр постоянного тока, миллиамперметр постоянного тока, амперметр переменного тока, два реостата, выпрямитель.

Краткая теория:

 

1. Работа выхода электрона из металла.

Электроны проводимости в металле находятся в беспорядочном тепловом движении, однако, при этом они практически не выходят с поверхности металла в вакуум даже при комнатной температуре. Это объясняется увеличением потенциальной энергии электрона при удалении его от поверхности металла. Таким образом, металл представляет для электронов проводимости потенциальную яму, ограниченную со всех сторон потенциальными барьерами. Отдельные электроны постоянно покидают поверхность металла, удаляясь от нее на расстояние порядка нескольких межатомных расстояний (d ≈ 10-9 – 10-10 м) и затем возвращаются обратно, поскольку их энергии недостаточно, чтобы преодолеть потенциальный барьер. В результате металл оказывается окруженным электронным облаком, которое образует совместно с наружным слоем ионов двойной электрический слой. В таком электронном облаке на электроны действуют силы, направленные внутрь металла. Для перевода электрона из металла в вакуум необходимо совершить работу против этих сил. При этом совершаемая работа идет на увеличение потенциальной энергии электрона.

 

 

Для удаления электронов за пределы металла разным электронам необходимо сообщить не одинаковую энергию. Например, электронам, находящимся на дне зоны проводимости, необходимо сообщить энергию, равную высоте потенциального барьера ε b, а для электрона, находящегося на самом верхнем заполненном уровне, достаточна энергия ε b ε F (рис.1). Здесь ε F – энергия, отделяющая заполненные энергетические уровни электронов от незаполненных, называемая энергией Ферми (или уровнем Ферми).

Наименьшая энергия, которую необходимо сообщить электрону для удаления его из твердого тела в вакуум, называется работой выхода. Работу выхода принято обозначать через Авых = и отсчитывать ее от уровня Ферми (где φ – потенциал выхода)

. (1)

Данное определение работы выхода распространяется на любые температуры.

 

2. Вакуумный диод.

Для того чтобы электрон проводимости вылетел за пределы металла, необходимо, чтобы его кинетическая энергия оказалась больше работы выхода:

. (2)

Эту энергию электрон может получить разными путями. Один из них – повышение температуры металла, в результате чего происходит испускание (эмиссия) электронов в вакуум. Явление испускания электронов нагретым металлом называется термоэлектронной эмиссией.

Исследование термоэлектронной эмиссии осуществляется с помощью двухэлектродной лампы (вакуумного диода), подключенной по схеме (рис.2).

Вакуумный диод представляет собой хорошо откачанный стеклянный баллон, внутри которого имеется два электрода – катод К и анод А. В простейшем случае катод имеет форму тонкой прямой нити, анод – коаксиального с ней цилиндра. Катод нагревается током от батареи накала eн. Ток накала можно менять с помощью реостата R1. Между катодом и анодом с помощью батареи e создается разность потенциалов порядка 100 - 200 В, которая регулируется потенциометром R2. Анодный ток измеряется с помощью миллиамперметра.

При постоянном токе накала катода зависимость силы анодного тока от анодного напряжения Ia = f (Ua) имеет вид, показанный на рис. 3. Эта кривая называется вольт-амперной характеристикой (ВАХ) диода. Различные кривые соответствуют разным температурам катода.

Согласно графику зависимости Ia = f (Ua) закон Ома для анодного тока в вакуумном диоде не выполняется. При Ua = 0 лишь небольшому числу электронов, вылетевших из катода, удается преодолеть электронное облако и долететь до анода, при этом в анодной цепи будет течь слабый ток I 0. Чтобы полностью прекратить анодный ток, необходимо приложить между электродами некоторое отрицательное напряжение, поэтому вольт-амперная характеристика диода начинается не в нуле, а немного левее начала координат. Начальный участок кривой на рис.3 достаточно хорошо описывается зависимостью , поэтому при малых значениях Ua анодный ток изменяется по закону степени трех вторых:

, (3)

где G – коэффициент пропорциональности, зависящий только от конструкции диода, называемый первеансом лампы. При дальнейшем увеличении анодного напряжения анодный ток перестает расти, стремясь к определенному при данной температуре значению IS, называемому током насыщения (рис.3).

В случае коаксиальных цилиндрических электродов (рис. 4) первеанс лампы равен:

(4)

где l – длина образующей цилиндрической поверхности анода

D – диаметр цилиндрической поверхности анода

d – расстояние между катодом и анодом

β – коэффициент, зависящий от отношения радиусов анода и катода

(для настоящей работы l = 0, 9см; D = 1, 9 см; β 2 = 0, 98)

Таким образом, зная первеанс лампы G, можно определить удельный заряд электрона (отношение заряда электрона к его массе)

(5)

Порядок выполнения работы:

 

1. Собрать схему установки согласно рис. 5.

2. Включить выпрямитель в сеть и при помощи реостата R2 установить начальный ток накала, заданный преподавателем.

3. Изменяя при помощи потенциометра R1 анодное напряжение в пределах от 0 до 200 В с шагом 20 В снять ВАХ диода, определить значения анодного тока при заданном начальном токе накала. Повторить аналогичные измерения анодного тока еще для двух других значений тока накала. Результаты измерений занести в табл. 1.

4. Используя полученные значения Ia, построить графики зависимости анодного тока от анодного напряжения (ВАХ) Ia = f (Ua).

5. Построить график зависимости анодного тока от анодного напряжения в степени три вторых для наименьшего значения тока накала.

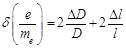
6. Определить тангенс угла наклона α полученной прямой. Определить удельный заряд электрона по формуле (5), с учетом того, что . Результаты вычислений занести в табл. 2.

7. Рассчитать относительную и абсолютную погрешность, используя формулы (6) и (7).

; (6)

 

(7)

Таблица 1.

    № IН1 = А IН2 = А IН3 = А
Ua, В Ia, мА Ua, В Ia, мА Ua, В Ia, мА
1.            
2.            
3.            
4.            
5.            
6.            
7.            
8.            
9.            
10.            

 

 

Таблица 2.

IН1, А Ia, мА , В G, А/В3/2 , Кл/кг , Кл/кг , %
             
   
   
   
   
   
   
   
   
   

Контрольные вопросы:

 

1. Что называется работой выхода электрона из металла? Чем она обусловлена и от чего зависит?

2. В чем состоит явление термоэлектронной эмиссии?

3. Как устроен вакуумный диод, и для каких целей он применяется?

4. Изобразите типичную вольт-амперную характеристику диода и объясните её.

5. Сформулируйте закон степени трех вторых.

6. Что называется удельным зарядом электрона? Как с помощью вольт-амперной характеристики определить удельный заряд электрона?

 

 

Правила техники безопасности. При выполнении работы необходимо убедится, что все токоведущие части электрической схемы изолированы. Категорически запрещается касаться руками или другими предметами зажимов цепи, находящихся под напряжением. По окончании работы обязательно отключите электрическую схему от источника напряжения.

 

Рекомендуемая литература

 

1. Трофимова Т.И. Курс физики / Т.И. Трофимова. – М.: Академия, 2006.

2. Савельев И.В. Курс общей физики. Том. 2. Электричество и магнетизм. Волны. Оптика / И.В. Савельев. – Спб.: Лань, 2006.

3. Сушков А.Д. Вакуумная электроника / А.Д. Сушков. – Спб.: Лань, 2004.


Составители: Максимов С.М., Ершов И.В.

 

 

ОПРЕДЕЛЕНИЕ УДЕЛЬНОГО ЗАРЯДА

ЭЛЕКТРОНА С ПОМОЩЬЮ ВАКУУМНОГО ДИОДА

 

Методические указания к лабораторной работе №36 по физике

(Раздел «Оптика»)

 

Редактор Т.В. Колесникова

________________________________________________________

В печать 14.06.2013.

Объем 0, 63 усл.п.л. Офсет. Формат 60x84/16.

Бумага тип №3. Заказ № Тираж 50 экз. Цена свободная

________________________________________________________

Издательский центр ДГТУ

Адрес университета и полиграфического предприятия:

344000, г. Ростов-на-Дону, пл. гагарина, 1.

<== предыдущая лекция | следующая лекция ==>
P-n переход в полупроводниках | Определение работы выхода электрона из металла
Поделиться с друзьями:

mylektsii.su - Мои Лекции - 2015-2026 год. (0.785 сек.)Все материалы представленные на сайте исключительно с целью ознакомления читателями и не преследуют коммерческих целей или нарушение авторских прав Пожаловаться на материал