Студопедия

Главная страница Случайная страница

КАТЕГОРИИ:

АвтомобилиАстрономияБиологияГеографияДом и садДругие языкиДругоеИнформатикаИсторияКультураЛитератураЛогикаМатематикаМедицинаМеталлургияМеханикаОбразованиеОхрана трудаПедагогикаПолитикаПравоПсихологияРелигияРиторикаСоциологияСпортСтроительствоТехнологияТуризмФизикаФилософияФинансыХимияЧерчениеЭкологияЭкономикаЭлектроника






Заполнение таблицы






2.1.1 Наименование помещения

В данном столбце указывается номер помещения по плану здания. Обычно нумерация помещений начинается от входа и идёт по часовой стрелке. Первая цифра – номер этажа, остальные – номер помещения.

Рисунок 2.1 – План первого этажа задания

Рисунок 2.2 – План второго этажа задания.

2.1.2 Температура наружного воздуха.

В данном столбце в соответствии со СНиП 23-01-99 " Строительная климатология" указывается температура воздуха наиболее холодной пяти- дневки обеспеченностью 0, 92 tн, °С для нужного города или региона.

Для Санкт-Петербурга tн = -26 °С

2.1.3 Расчётная температура воздуха внутри помещения

В данном столбце в соответствии с ГОСТ30494—2011 " Здания жилые и общественные" указывается оптимальная температура воздуха внутри помещения tв, °С в зависимости от его типа. Так, для жилых комнат

tв = 18 – 20 °С, для ванных комнат tв = 24 – 26 °С, для кухонь tв = 19 – 21 °С.

В расчётах для ванных комнат примем tв = 25 °С, для всех остальных помещений tв = 20 °С

 

 

2.1.4 Наименование поверхности.

Для обозначения ограждающих конструкций вводятся следующие сокращения:

НС – наружная стена

ДО – окно

ДН – дверь наружная

ПЛ - пол

2.1.5 Ориентация поверхности

Указывается ориентация вертикальных ограждающих конструкций по сторонам света:

С - север

В - восток

З - запад

Ю - юг

2.1.6 Длина поверхности

Указывается длина или в случае вертикальной поверхности высота ограждающей конструкции в метрах.

2.1.7 Ширина поверхности

Указывается ширина поверхности в метрах.

2.1.8 Площадь поверхности

Площадь поверхности определяется как произведение длины(высоты) и ширины поверхности по формуле:

, (2.1)

a – длина(высота), м

b – ширина, м

При подсчете теплопотерь площадь отдельных ограждений A, м2, определяется с соблюдением следующих правил обмера:

1. Площадь окон, дверей и фонарей измеряют по наименьшему строительному проему.

2. Площадь потолка и пола измеряют между осями внутренних стен и внутренней поверхностью наружной стены. Площадь стен и пола, расположенных на грунте, в том числе на лагах, определяют с условной разбивкой их по зонам.

3. Площадь наружных стен измеряют

- в плане - по наружному периметру между осями внутренних стен и наружным углом стены;

- по высоте - на всех этажах, кроме нижнего: от уровня чистого пола до пола следующего этажа. На последнем этаже верх наружной стены совпадает с верхом покрытия или чердачного перекрытия. На нижнем этаже в зависимости от конструкции пола: а) от внутренней поверхности пола по грунту; б) от поверхности подготовки под конструкцию пола на лагах; в) от нижней грани перекрытия над неотапливаемым подпольем или подвалом.

4. При определении теплопотерь через внутренние стены их площади обмеряют по внутреннему периметру. Потери теплоты через внутренние ограждения помещений можно не учитывать, если разность температур воздуха в этих помещениях составляет 3°С и менее.

Передача теплоты из помещения через конструкцию пола или стены и толщу грунта, с которыми они соприкасаются, подчиняется сложным закономерностям. Для расчета сопротивления теплопередаче конструкций, расположенных на грунте, применяют упрощенную методику. Поверхность пола по грунту делится на полосы шириной 2 м, параллельные стыку наружной стены и поверхности земли. Отсчет зон начинается по стене от уровня земли, а если стен по грунту нет, то зоной I является полоса пола, ближайшая к наружной стене. Следующие две полосы будут иметь номера II и III, а остальная часть пола составит зону IV. (см рисунок 2.3)

Таким образом, общая площадь пола разбивается на зоны и площадь заносится в столбец для каждой зоны пола, причём для первой зоны площадь в углах здания считается дважды.

Рисунок 2.3 – Принцип разбиение пола здания на зоны

Рисунок 2.4 – Разбиение пола 1 этажа на зоны

 

2.1.9 Расчётная разность температур

, º С определяется как разность температур внутреннего воздуха в помещении и температуры наружного воздуха наиболее холодной пятидневки по формуле:

(2.2)

2.1.10 Коэффициент n

Выбираем коэффициент n, учитывающий положение ограждающей конструкции по отношению к наружному воздуху:

n = 1. Наружные стены и покрытия (в том числе вентилируемые наружным воздухом), перекрытия чердачные (с кровлей из штучных материалов) и над проездами; перекрытия над холодными (без ограждающих стенок) подпольями в Северной строительно-климатической зоне.

n = 0, 9. Перекрытия над холодными подвалами, сообщающимися с наружным воздухом; перекрытия чердачные (с кровлей из рулонных материалов); перекрытия над холодными (с ограждающими стенками) подпольями и холодными этажами в Северной строительно-климатической зоне.

n = 0, 75. Перекрытия над неотапливаемыми подвалами со световыми проемами в стенах.

n = 0, 6. Перекрытия над неотапливаемыми подвалами без световых проемов в стенах, расположенные выше уровня земли.

n = 0, 4. Перекрытия над неотапливаемыми техническими подпольями, расположенными ниже уровня земли

2.1.11 Коэффициент теплопередачи ограждающей конструкции

Коэффициент теплопередачи ограждающей конструкции k, Вт/(м2 ∙ °С) - величина, численно равная поверхностной плотности теплового потока, проходящего через ограждающую конструкцию при разности внутренней и наружной температур воздуха рассчитывается по формуле:

  (2.3)

где α вн и α н – коэффициенты теплоотдачи соответственно на внутренней поверхности ограждения и на наружной, Вт/(м2 ∙ °С);

δ – толщина ограждающей конструкции, м;

λ - коэффициент теплопроводности материала, Вт/(м ∙ °С).

Для пола коэффициент теплопередачи, вследствие сложных процессов теплопередачи, находится по упрощенной формуле:

  (2.4)

где Ri - нормативное значение сопротивления теплопередаче i-ой зоны пола.

Для каждой зоны неутепленного пола предусмотрены нормативные значения сопротивления теплопередаче:

зона I - R I = 2, 1 м2·°С/Вт;

зона II - R II = 4, 3 м2·°С/Вт;

зона III - R III = 8, 6 м2·°С/Вт;

зона IV - R IV = 14, 2 м2·°С/Вт.

2.1.12 Основные теплопотери

Формула расчёта основных теплопотерь Qосн, Вт помещения через ограждающие конструкции:

(2.5)

где k – коэффициент теплопередачи ограждающей конструкции, Вт/(м2 ∙ °С);

А – площадь поверхности, м2

2.1.13 Коэффициент дополнительных потерь β 1

Добавка на ориентацию ограждения по сторонам света принимается для всех наружных вертикальных ограждений или проекций на вертикаль наружных наклонных ограждений:

· для северной, северо-восточной, северо-западной, восточной ориентации ß 1 = 0, 1;

· юго-восточной и западной ß 1 = 0, 05;

· южной и юго-западной ß 1 = 0.

Рисунок 2.5 – Значение коэффициента ß 1

2.1.14 Коэффициент дополнительных потерь β 2

Добавка на угловое помещение, имеющее две и более наружных стен, учитывает, что в таком помещении радиационная температура ниже, чем в рядовом. Поэтому в угловом помещении жилого дома температуру внутреннего воздуха принимают на 2°С выше, чем в рядовом помещении, а в зданиях другого назначения увеличенные теплопотери учитывают добавкой ß 2 = 0, 05 к основным теплопотерям вертикальных наружных ограждений.

 

2.1.15 Коэффициент дополнительных потерь β 3

Добавка на врывание холодного воздуха через наружные двери в здание, не оборудованное воздушно-тепловой завесой, при их кратковременном открывании принимается к основным теплопотерям дверей. Так, в здании высотой Н для тройных дверей с двумя тамбурами , для двойных дверей с тамбуром , для двойных дверей без тамбура , для одинарных дверей . Для наружных ворот при отсутствии тамбура и воздушно-тепловой завесы теплопотери рассчитываются с добавкой , а при наличии тамбура у ворот - с добавкой . Указанные добавки не относятся к летним и запасным наружным дверям и воротам.

2.1.16 Суммарный коэффициент дополнительных потерь

Суммарный коэффициент дополнительных потерь определяется по формуле:

(2.6)

2.1.17 Теплопотери с учетом дополнительных потерь Qβ

Для нахождения теплопотерь с учетом дополнительных потерь необходимо перемножить значения двенадцатого и шестнадцатого столбцов, т.е. учитывается влияние добавочных коэффициентов на основные теплопотери.

2.1.18 Нормируемая воздухопроницаемость

Нормируемая воздухопроницаемость Gн - это максимальная разрешенная воздухопроницаемость конструкции при любых погодных условиях, принимаемая в соответствии со СНиП 23-02-2003, значения которой приведены в табл. 2.1

 

Таблица 2.1 – Занчения Gн

Ограждение Воздухопроницаемость G н, кг/(м2·ч)
1. Наружная стена, перекрытие и покрытие жилого, общественного, административного и бытового здания или помещения 0, 5
2. Наружная стена, перекрытие и покрытие производственного здания или помещения 1, 0
3. Стык между панелями наружных стен здания: жилого производственного 0, 5* 1, 0*
4. Входная дверь в квартиру 1, 5
5. Входная дверь в жилое, общественное, бытовое здание 7, 0
6. Окно и балконная дверь жилого, общественного, бытового здания или помещения в деревянном переплете; окно, фонарь производственного здания с кондиционированием воздуха 6, 0
7. Окно и балконная дверь жилого, общественного, бытового здания или помещения в пластмассовом или алюминиевом переплете 5, 0
8. Окно, дверь, ворота производственного здания 8, 0
9. Фонарь производственного здания 10, 0

 

2.1.19 Разность давлений воздуха

Расход наружного воздуха, поступающего в помещения в результате инфильтрации в расчетных условиях, зависит от объемно-планировочного решения здания, а также плотности окон, балконных дверей, витражей. Задача инженерного расчета сводится к определению расхода инфильтрационного воздуха Gинф, кг/ч, через отдельные ограждения каждого помещения. Инфильтрация через стены и покрытия невелика, поэтому ею обычно пренебрегают и рассчитывают только через заполнение световых проемов, а также через закрытые двери и ворота, в том числе и те, которые при обычном эксплуатационном режиме не открываются. Затраты теплоты на врывание воздуха через открывающиеся двери и ворота в расчетном режиме учитываются добавками к основным теплопотерям через входные двери и ворота.

Расчет выявляет максимально возможную инфильтрацию, поэтому считается, что каждое окно или дверь находится на наветренной стороне здания.

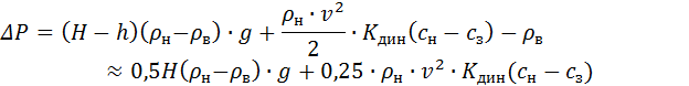
Расчетная разность давлений Δ р, Па для окна или двери каждого этажа определяется по формуле:

(2.7)

где H – высота здания от земли до вершины вентиляционной шахты, м;

ρ н, ρ в – плотность воздуха наружнего и внутреннего воздуха соответсвенно, кг/м3;

g – ускорение свободно падающего тела, м/с2;

υ – средняя скорость ветра, м/с;

Кдин – коэффициент изменения скорости ветра по высоте здания;

сн = 0, 8;

сз = -0, 6.

2.1.20 Расход воздуха на инфильтрацию Gинф, кг/с:

Для окон:

(2.8)
   

Для дверей:

(2.9)

 

Rинф.ок Rинф.дв - требуемое сопротивления воздухопроницанию окна и двери соответственно, м2 ∙ ч/кг;

Δ р – расчётная разность давлений, Па;

Δ р0 – 10 Па.

2.1.21 Коэффициент теплопередачи инфильтрации

Коэффициент учитывающий влияние трансмиссионного теплового потока:

к =0, 7. Для стыковых панелей стен и для окон с тройным остеклением;

к = 0, 8. Для окон и балконных дверей с раздельными переплётами;

к = 1. Для окон и балконных дверей со спаренными или смежными переплётами.

 

2.1.22 Расход тепла на инфильтрацию

Расход тепла на инфильтрацию Qинф, Вт рассчитывается по формуле:

(2.10)

где с - удельная массовая теплоемкость материала, Дж/(кг•°С);

Gинф - расход воздуха на инфильтрацию, кг/ч;

к - Коэффициент учитывающий влияние трансмиссионного теплового потока.

2.1.23 Полные теплопотери

(2.11)

2.1.24 Мощность единицы нагревательного прибора

В качестве отопительного прибора выбран чугунный радиатор М-140, который широко известен на территории СНГ. Чугунные секционные радиаторы являются традиционными для нашей страны приборами.

Основное их преимущество возможность использования в открытых системах. В отличие от других радиаторов, чугунные практически нечувствительны к опорожнениям системы, то есть позволяют сколь угодно часто сливать из нее воду. При разливке чугуна на его поверхности образуется особенно прочный слой с повышенным содержанием кремния, поэтому в необработанном виде чугун довольно стоек к коррозии, в том числе от воздействия твердых частиц, присутствующих в теплоносителе. Говоря об эксплуатационных свойствах чугунных радиаторов, следует отметить их высокую теплопроводность и большую тепловую инерционность.

Секции радиатора отливают из серого чугуна, их можно компоновать в приборы различной площади. Секции соединяют на ниппелях с прокладками из картона, резины или паронита.

Примем мощность одной секции радиатора M-140 равную 140 Вт.

В ванной комнате наличие стояка отопления не предполагается. Отопление комнаты осуществляется установкой полотенцесушителя на трубопровод ГВС. Примем мощность полотенцесушителя равную 260 Вт.

2.1.25 Количество приборов отопления

Для того, чтобы найти количество секций радиатора М-140 на одно помещение нужно полные теплопотери этого помещения поделить на мощность одной секции радиатора М-140.

Общая тепловая нагрузка первого этажа здания равна 25, 152 кВт, второго этажа 23, 514 кВт.

Все расчёты предыдущих пунктов выполняются для каждого этажа здания и сводятся в таблицу в приложении А (для первого этажа) и приложении Б (для второго этажа)

 


Поделиться с друзьями:

mylektsii.su - Мои Лекции - 2015-2026 год. (0.698 сек.)Все материалы представленные на сайте исключительно с целью ознакомления читателями и не преследуют коммерческих целей или нарушение авторских прав Пожаловаться на материал