Студопедия

Главная страница Случайная страница

КАТЕГОРИИ:

АвтомобилиАстрономияБиологияГеографияДом и садДругие языкиДругоеИнформатикаИсторияКультураЛитератураЛогикаМатематикаМедицинаМеталлургияМеханикаОбразованиеОхрана трудаПедагогикаПолитикаПравоПсихологияРелигияРиторикаСоциологияСпортСтроительствоТехнологияТуризмФизикаФилософияФинансыХимияЧерчениеЭкологияЭкономикаЭлектроника






Исходные данные для проектирования






Задачи

Определить число шлюзов.

Определить транспортный ресурс подключения транкинговых шлюзов

к пакетной сети и емкостных показателей подключения.

Исходные данные для проектирования

1. Количество линий E1, используемых для взаимодействия источников

нагрузки разных типов с оборудованием шлюзов:

ü АТС, использующие систему сигнализации ОКС7 и подключаемые

через транспортный шлюз MGW и сигнальный шлюз SGW;

ü АТС, подключаемые по каналам ОКС7 непосредственно к Softswitch и через транспортный шлюз MGW к пакетной сети. В данном случае сигнальный шлюз реализуется в оборудовании Softswitch;

2. Удельная интенсивность нагрузки на каналы, поступающей от

ТфОП на транспортный шлюз;

3. Удельная интенсивность нагрузки на каналы соединительных линий,

поступающей от ТфОП;

4. Типы кодеков в планируемом к внедрению оборудовании шлюзов.

 

Вводятся следующие обозначения:

 

N l_E1 - число потоков Е1 от АТС ТфОП, подключенных к транспортному

шлюзу l,

y A1 - удельная нагрузка одного канала 64 кбит/с в составе Е1,

Yl_gw - общая нагрузка, поступающая на транспортный шлюз от АТС ТфОП,

VINT - полезный транспортный ресурс одного интерфейса,

NINT - количество интерфейсов,

I - число типов интерфейсов,

Ni_ INT - количество интерфейсов типа I,

Vi_ INT - полезный транспортный ресурс интерфейса типа I,

NE1 - число интерфейсов E1, подключаемых к одному шлюзу.

 

Тогда значение удельной нагрузки (в эрлангах)

Yl_gw = Nl_E1·30· yE 1 (28)

 

Значение удельной нагрузки уЕ1 при расчетах примем равным 0, 8 эрл. Такая нагрузка считается допустимой для соединительных линий.

Расчет необходимого транспортного ресурса для передачи пользова­тельской нагрузки будет аналогичным тому расчету, который был приведен в разд. 2.

Число каналов и их скорость известна, следовательно, пользуясь формулой (12), определяем интенсивность поступления пакетов на шлюз. В табл. 3 приведены нормируемые ITU параметры QoS для передачи трафика разных классов. Трафик VoIP обычно относят к нулевому классу. Теперь по формуле (14) определим значение интенсивности обслуживания посту­пающих вызовов на коммутатор доступа.

Таблица 3

 

Сетевые характеристики Классы QOS
         
Задержка доставки пакета IP, IPDT 100 мс 400мс 100мс 400мс Н
Вариация задержки пакета IP, IPDV 50 мс 50 мс Н Н Н
Коэффициент потери пакетов IP, IPLR 0, 001 0, 001 0, 001 0, 001 Н
Коэффициент ошибок пакетов IP, IPER 0, 001 0, 001 0, 001 0, 001 Н

По формулам (15) и (16) находим нагрузку канала и рассчитываем необходимый транспортный ресурс.

Для передачи сигнального трафика создается отдельный логический канал, параметры которого необходимо определить. Помимо пользовательской информации, на транспортный шлюз поступают сообщения протокола MEGACO, для которых также должен быть выделен транспортный ресурс, и его можно вычислить по формуле:

 

VMEGACO = ksig·LMEGACO·NMEGACO·PMEGACO /450 (бит/с) (29)

где PMEGACO - интенсивность поступления сообщений протокола MEGACO на шлюз в ЧНН; значение ksig берем равным 5, как и в предыдущих разделах. Таким образом, общий транспортный ресурс MGW (бит/с)

VGW =τ + VMEGACO (30)

 

Количество и тип интерфейсов подключения транспортного шлюза к пакетной сети определяется транспортными ресурсами шлюза и топологией пакетной сети.

Транспортный ресурс шлюза и количество интерфейсов связаны соотношением:

VGW = NINT·VINT (бит/с) (31)

При использовании интерфейсов разных типов соотношение (31) приобретает следующий вид:

(бит/с) (32)

 

Параметры интерфейса подключения к пакетной сети определяются, исходя из интенсивности обмена сигнальными сообщениями в процессе обслуживания вызовов.

Количество интерфейсов можно определить по формуле:

(33)

где VINT - полезный транспортный ресурс одного интерфейса.

При физической реализации сигнального шлюза (ОКС7) совместно с транспортным, необходимо рассчитать транспортный ресурс сигнального шлюза, который потребуется для передачи сообщений протокола MxUA (M2UA или M3UA).

 

3.2. Расчет оборудования гибкого коммутатора

 
 

Основной задачей гибкого коммутатора (рис. 15) при построении транзитного уровня коммутации является обработка сигнальной информа­ции обслуживания вызова и управление установлением соединений. Требования к производительности гибкого коммутатора определяются интенсивностью потока вызовов, требующих обработки.

 

Задача

Определить требуемую производительность оборудования гибкого коммутатора.

Производительность

Интенсивность потока поступающих вызовов определяется интенсивностью потока вызовов, приходящейся на один магистральный канал 64 кбит/с линии Е1, а также числом Е1, используемых для подключения станции к транспортному шлюзу.

Вводятся следующие обозначения:

PCH - интенсивность потока вызовов, обслуживаемых одним магистральным каналом 64 кбит/с,

PGW - интенсивность потока вызовов, обслуживаемых транспортным

шлюзом,

L - число транспортных шлюзов, обслуживаемых гибким коммутатором.

Интенсивность потока вызовов (выз/чнн), поступающих на транспортный шлюз l, определяется формулой:

(34)

 

Следовательно, интенсивность потока вызовов (выз/чнн), поступающих на гибкий коммутатор, можно вычислить как

(35)

 

Параметры интерфейсов подключения к пакетной сети

Параметры интерфейса подключения к пакетной сети определяются, исходя из интенсивности обмена сигнальными сообщениями в процессе обслуживания вызовов. При использовании гибкого коммутатора для орга­низации распределенного транзитного коммутатора сообщения сигнализации ОКС7 поступают на Softswitch в формате сообщений протокола M2UA или M3UA, в зависимости от реализации.

Введем следующие обозначения:

LMXUA - средняя длина сообщения (в байтах) протокола MxUA,

NMXUA - среднее количество сообщений протокола MxUA при обслуживании вызова,

LMEGACO - средняя длина сообщения (в байтах) протокола MEGACO, используемого для управления транспортным шлюзом,

NMEGACO - среднее количество сообщений протокола MEGACO при обслуживании вызова,

PSIG - интенсивность потока вызовов, обслуживаемых сигнальным шлюзом.

Тогда транспортный ресурс Softswitch (бит/с), необходимый для обмена сообщениями протокола MxUA:

(36)

где k - коэффициент использования ресурса.

Аналогично, транспортный ресурс гибкого коммутатора (бит/с), не­обходимый для обмена сообщениями протокола MEGACO:

(37)

Суммарный минимальный полезный транспортный ресурс Softswitch (бит/с), требуемый для обслуживания вызовов в структуре транзитного коммутатора:

(38)

 

Определение транспортного ресурса сигнального шлюза производится по аналогии с расчетом транспортного ресурса гибкого коммутатора. Необходимая полоса пропускания SGW определяется интенсивностью потока поступающих вызовов и объемом информации, требуемой для обслуживания каждого вызова.

Учитывая среднюю длину и количество сообщений протокола MxUA, необходимых для обслуживания одного вызова, можно вычислить транспортный ресурс (бит/с) сигнальных шлюзов для подключения к пакетной сети (с приведением размерностей):

(39)

 

3.3. Расчет оборудования сети IMS

На рис. 16 представлена упрощенная схема архитектуры IMS. На ней изображены только основные функциональные элементы архитектуры, сертифицированной 3GPP. В курсовом проекте рассматриваем сети ТфОП и IMS, между которыми организуется взаимодействие.

Вызовы, создаваемые в сети ТфОП, попадают через оборудование шлюзов в сеть IMS, а именно к Softswitch, выполняющему роль MGCF.

От Softswitch информация поступает на I-CSCF, P-CSCF и S-CSCF, где начинается процесс обслуживания вызова. В зависимости от типа пере­даваемой информации и требуемой услуги для обслуживания вызова может быть задействован MRF и/или сервер (а) приложений (AS).

 

 

Рис. 16 Архитектура IMS. Стык сети ТфОП и IMS

Во избежание путаницы, на рис. 16 отмечены только те логические связи между элементами, которые имеют значение и/или учитываются при расчетах в курсовом проекте. На линиях, указан протокол, при помощи которого осуществляется взаимодействие между функциональными объектами.

Выделенный пунктиром фрагмент представляет собой схему из разд. 2. Основной задачей функционального элемента MGCF/Softswitch является управление транспортными шлюзами на границе с сетью ТфОП. В разд. 2 уже был произведен расчет этого оборудования, поэтому будем пользоваться результатами, полученными ранее.

Ссылки на уже рассчитанные величины, которые потребуются для дальнейших расчетов, будут приведены по ходу проектирования.

3.4. Расчет необходимого транспортного ресурса, необходимого для обеспечения сигнального обмена с функцией S-CSCF

Попадая в сеть IMS, вызовы в конечном итоге обслуживаются одной из S-CSCF. Этот сетевой элемент представляет собой SIP-сервер, управляющий сеансом связи. Для выполнения своих функций он получает от других сетевых элементов всю информацию об устанавливаемом соединении и требуемой услуге (рис. 17).

 

Рис. 17 S-CSCF в архитектуре IMS

Функции IMS могут иметь разную физическую декомпозицию, то есть, они могут быть реализованы как в виде единого блока, обладающего всеми возможностями, так и представлять собой набор устройств, каждое из которых отвечает за реализацию конкретной функции. Независимо от физической реализации, интерфейсы остаются стандартными. Поэтому, рассчитав в отдельности каждую из функций, можно оценить требуемую производительность сервера как при отдельной ее реализации, так и в случае реализации совместно с другими элементами.

Задача

Определить транспортный ресурс функции S-CSCF, необходимый для обслуживания вызовов, учитывая только обмен сообщениями SIP.

Исходные данные для проектирования

Вызовы из сети ТфОП через оборудование шлюзов поступают на Softswitch (рис. 17), который в архитектуре IMS выполняет функции MGCF. Softswitch по протоколу SIP обращается к I-CSCF, которая в свою очередь, в ходе установления соединения обменивается сообщениями SIP с S-CSCF. Через I-CSCF Softswitch передает S-CSCF адресную информацию, информацию о местонахождении вызываемого пользователя, а также ин­формацию об услуге, запрашиваемой вызываемым абонентом. Получив эту информацию и обработав ее, S-CSCF начинает процесс обслуживания вызова. В зависимости от требуемой услуги, S-CSCF может обратиться к медиа-серверу (MRF) или к серверам приложений (AS). Таким образом, S-CSCF ведет сигнальный обмен с MGCF, I-CSCF, MRF, AS. В ходе предоставления речевых услуг существует также SIP-соединение с P-CSCF, но мы его не учитываем в процессе расчета транспортного ресурса, так как его влияние незначительно.

Введем следующие обозначения: Среднее число SIP сообщений при обслуживании одного вызова между -:

a) SS и S-CSCF - NSIP1,

b) MRF и S-CSCF - NSIP2,

c) AS и S-CSCF - N SIP3,

d) I-CSCF и S-CSCF - N SIP4,

Средняя длина сообщения SIP в байтах - LSIP;

X% - процент вызовов, при обслуживании которых требуется обра­щение к серверу MRF;

Y%. Процент вызовов, при обслуживании которых требуется обраще­ние к серверам приложений AS;

Vss-s-cscf - транспортный ресурс между MGCF и S-CSCF, который тре­буется для обмена сообщениями по протоколу SIP во время обслуживания вызовов;

Vas-s-cscf - транспортный ресурс между серверами приложений (AS) и

S-CSCF, который требуется для обмена сообщениями по протоколу SIP во время обслуживания вызовов;

Vmrf-s-cscf - транспортный ресурс между MRF и S-CSCF, который требуется для обмена сообщениями по протоколу SIP во время обслуживания вызовов;

Vi-cscf-s-csc f - транспортный ресурс между I-CSCF и S-CSCF, который

требуется для обмена сообщениями по протоколу SIP во время обслужива­ния вызовов;

Vs-cscf - общий транспортный ресурс S-CSCF, который требуется для

обмена сообщениями по протоколу SIP во время обслуживания вызовов.

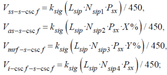
Тогда общий требуемый транспортный ресурс будет равен суммарному транспортному ресурсу взаимодействия функции S-CSCF с другими элементами IMS архитектуры:

(40)

 

где

(41)

 

(42)

(43)

 

(44)

 

Значения Psx, ksig и Lsip, которые используются в формулах (40) -

(44), были рассчитаны или заданы в предыдущих разделах:

• Величина Psx рассчитывается в разд. 2 при расчете оборудования гибкого коммутатора по формуле (40).

• Значение hsig задается в разд. 2 при расчете шлюза доступа.

• Значение параметра Lsip совпадает со значением параметра Lsh, который задается в исходных данных к разд. 2.

3.5. Расчет необходимого транспортного ресурса, необходимого для обеспечения сигнального обмена с функцией I-CSCF

Так же, как и S-CSCF, функциональный элемент I-CSCF участвует в соединениях, затрагивающих взаимодействие разнородных сетей. Помимо функций SIP-прокси, он взаимодействует с HSS и SLF, получает от них информацию о местонахождении пользователя и об обслуживающем его S-CSCF.

Будем проводить расчет транспортного ресурса, необходимого для взаимодействия I-CSCF с другими элементами сети. Как видно из диаграммы и рис. 18, I-CSCF взаимодействует с S-CSCF, с Softswitch (MGCF), а также с P-CSCF и HSS. При расчете будем учитывать взаимодействие только с первыми двумя компонентами, так как взаимодействие с HSS происходит при помощи протокола DIAMETER, что выходит за рамки курсового проектирования.

Рис. 18 I-CSCF в архитектуре IMS

Задача

Определить транспортный ресурс на I-CSCF для обеспечения сиг­нального обмена по SIP, необходимого для обслуживания вызовов.

 

Данные для проектирования

I-CSCF связан SIP-соединением только с Softswitch (MGCF) и S-CSCF.

1) Число SIP-сообщений при обслуживании одного вызова между:

a) I-CSCF и S-CSCF - NSIP4,

b) SSW и I-CSCF -NSIP5.

2) Средняя длина сообщения SIP в байтах - L SIP.
Введем следующие обозначения:

Vi-cscf - общий транспортный ресурс I-CSCF, который требуется для

обмена сообщениями по протоколу SIP во время обслуживания вызовов,

Vss-i-cscf - транспортный ресурс между SoftSwitch и I-CSCF, который требуется для обмена сообщениями по протоколу SIP во время обслуживания вызовов.

Тогда общий транспортный ресурс:

(45)

Значение Vi-cscf-s-cscf рассчитано ранее по (44), а Vss-i-cscf вычисляется по формуле:

/450 (46)

 

На функциональную схему сети IMS необходимо нанести полученные результаты расчета транспортных ресурсов для S-CSCF и I-CSCF.

4. ВАРИАНТЫ ЗАДАНИЙ И ПРАВИЛА ВЫПОЛНЕНИЯ КУРСОВОГО ПРОЕКТА

4.1. Исходные данные

Для нечетных вариантов использование кодеков следующее:

• 20% вызовов - кодек G.711

• 20% вызовов - кодек G.723 I/r

• 30% вызовов - кодек G.723 h/r

• 30% вызовов - кодек G.729A.

Для нечетных вариантов n = 0, 9.

Для четных вариантов использование кодеков следующее:

ü 30% вызовов - кодек G.711

ü 30% вызовов - кодек G.723 I/r

ü 20% вызовов - кодек G.723 h/r

ü 20% вызовов - кодек G.729A.

Для четных вариантов n = 0, 5.

Таблица 4

 

Вариант KPSTN KISDN KV 5 KPBX KSHM
Нечетный 1, 25 1, 75   1, 75 1, 9
Четный 1, 3 1, 8 1, 9 1, 8  

 

 


Варианты заданий на курсовое проектирование

Таблица 5

Параметр                                                                  
NPSTN (аб) 80к 11к 14к 12к 15к 10к 13к 7, 5к 8, 5к 11к 20к 10к 15к 13к 80к 11к 14к 12к 15к 10к 13к
NIDSN (аб)                                                                  
NSH (аб)                                                                  
I                                                                  
Ni_ lan (аб)                                                                  
J                                                                  
Nj_V5 (аб)                                                                  
M                                                                  
Nm_pbx (аб)                                                                  
LMEGACO (байт)                                                                  
NMEGACO (сообщ.)                                                                  
LV5UA (байт)                                                                  
NV5UA (сообщ.)                                                                  
LIUA (байт)                                                                  
NIUA (сообщ.)                                                                  
LSH (байт)                                     15 5                            
N SH (сообщ.)                                                                  
N 1E1                                                                  
Pch (выз/чнн) 1, 5к 2, 5к 1, 5к 2, к 1, 5к 2, 5к 1, 5к 2, 5к 1, 5к 2, 5к 1, 5к 2, 5к 1, 5к 2, к 1, 5к
L (для задания 2)                                                                  
PMEGACO(выз/чнн) 6, 5к 7, 5к 8, 5к 5, 5к 6, 5к 7, 5к 8, 5к 5, 5к 6, 5к 7, 5к 8, 5к 5, 5к 6, 5к 7, 5к 8, 5к 5, 5к 6, 5к 7, 5к 8, 5к 5, 5к
Lmxua (байт)                                                                  
Nmxua (сообщений)                                                                  
Psig (выз/чнн) 19к 10к 20к 25к 30к 35к 40к 45к 10к 15к 10к 20к 25к 30к 35к 40к 45к 10к 15к 20к 25к 10к 20к 25к 30к 35к 40к 45к 10к 15к 10к 20к 18к
Р (выз/чнн) 0, 25 0, 20 0, 21 0, 22 0, 23 0, 24 0, 25 0, 2 0, 21 0, 22 0, 23 0, 24 0, 25 0, 2 0, 21 0, 22 0, 23 0, 24 0, 25 0, 2 0, 21 0, 2 0, 21 0, 22 0, 23 0, 24 0, 25 0, 2 0, 21 0, 22 0, 23 0, 24 0, 25
Nsip1                                                                  
Nsip2                                                                  
Nsip3                                                                  
Nsip4                                                                  
Nsip5                                                                  
X%                                                                  
Y%                                                                  

 

 


4.2 Требования к содержанию и оформлению пояснительной записки

 

Приложение

к приказу директора

Ставропольского колледжа связи

от «___» ________ 2013 г. № ____


Поделиться с друзьями:

mylektsii.su - Мои Лекции - 2015-2026 год. (1.572 сек.)Все материалы представленные на сайте исключительно с целью ознакомления читателями и не преследуют коммерческих целей или нарушение авторских прав Пожаловаться на материал