Студопедия

Главная страница Случайная страница

КАТЕГОРИИ:

АвтомобилиАстрономияБиологияГеографияДом и садДругие языкиДругоеИнформатикаИсторияКультураЛитератураЛогикаМатематикаМедицинаМеталлургияМеханикаОбразованиеОхрана трудаПедагогикаПолитикаПравоПсихологияРелигияРиторикаСоциологияСпортСтроительствоТехнологияТуризмФизикаФилософияФинансыХимияЧерчениеЭкологияЭкономикаЭлектроника






Какое из утверждений верно?






а) задача математического программирования — это задача на экстремум одного неизвестного;

б) задача математического программирования — это задача на экстремум функции многих переменных с ограничениями на область их изменения; ДА

в) задача математического программирования — это многовариантная задача, позволяющая найти какое-либо решение.

Какое из утверждений верно:

а) двойственные оценки являются инструментом сопоставления суммарных затрат и результатов.

б) верными являются все отверждения

в) двойственные оценки являются показателем дефицитности ресурсов и продукции.

в) двойственные оценки являются показателем влияния ограничений на значение функции.

г) двойственные оценки являются показателем эффективности производства отдельных видов продукции с позиции критерия оптимальности. ДА

 

Какое из утверждений верно?

а) динамическое программирование — математический метод для нахождения оптимальных решений многошаговых (многоэтапных) задач;

б) динамическое программирование — математический метод для нахождения всевозможных решений задач экономики, физики, биологии;

в) динамическое программирование — метод нахождения множества решений задачи управления во временном аспекте;

д) динамическое программирование — математический метод для нахождения решений дифференциальных уравнений.

 

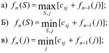
Какое из рекуррентных соотношений для решения п-этапной задачи нахождения оптимального маршрута перевозки груза из города А в город В является верным, если S — состояние системы, a j — номер города?

Ответ Б

 

 

Какое из записанных дополнительных ограничений построено верно по ограничении:

 

 

Ответ В

 


Поделиться с друзьями:

mylektsii.su - Мои Лекции - 2015-2026 год. (2.015 сек.)Все материалы представленные на сайте исключительно с целью ознакомления читателями и не преследуют коммерческих целей или нарушение авторских прав Пожаловаться на материал