Студопедия

Главная страница Случайная страница

КАТЕГОРИИ:

АвтомобилиАстрономияБиологияГеографияДом и садДругие языкиДругоеИнформатикаИсторияКультураЛитератураЛогикаМатематикаМедицинаМеталлургияМеханикаОбразованиеОхрана трудаПедагогикаПолитикаПравоПсихологияРелигияРиторикаСоциологияСпортСтроительствоТехнологияТуризмФизикаФилософияФинансыХимияЧерчениеЭкологияЭкономикаЭлектроника






Запирание транзистора (режим отсечки)






Режим отсечки имеет место в том случае, когда оба p-n-перехода (эмиттерный и коллекторный) закрыты. Для этого на вход по­дается постоянное отрицательное напряжение

(n-p-n транзистор). Ток коллектора 1К, протекаю­щий через RH, практически равен нулю, а напряжение на коллекторе равно напряжению источника питания Ек, что соответствует закрытому состоянию ключа.

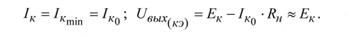
В цепи коллектора будет протекать минимальный обратный ток IКО. В этом случае ток базы будет равен току коллектора = +IКО, а рабочая точка на нагру­зочной прямой будет находиться в точке А (рис.12)..

Эта точка характеризуется минимальным коллекторным током и максималь­ным напряжением на коллекторе:

 

(11)

В запертом состоянии транзистор может находиться неограниченно долго. Вы­вести его из этого устойчивого состояния можно только за счет внешних воз­действий, например путем подачи на вход запускающего импульса положи­тельной полярности.

5.3 Режим отпирания (насыщения)

 

Режим насыщения - второе устойчивое состояние транзисто­ра. Насыщение наступает в том случае, когда оба p-n-перехода открыты.

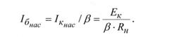
При некотором значении тока базы Iб = Iбнас коллекторный ток достигает максимальной (для данных Ек и RH) величины Iкmax - точка Б (рис.12)..

Iкmax получил название тока насыщения и обозначается как Iкнас.

 

(12)

 

Току насыщения коллектора соответствует величина насыщающего тока базы, равная

(13)

 

Из графика видно, что в области насыщения (вблизи точки Б) напряжение меж­ду коллектором и эмиттером, как и напряжения между любыми другими выво­дами транзистора, близки к нулю.

 

Зависимость тока коллектора 1К от тока базы IБ (рис.13)

 

 

Рис.13 Зависимость тока коллектора от тока базы

1-область запирания;

2- активный режим;

3- область насыщения

 

Характеристика IK = f(IБ) имеет резкие изломы на границах области запира­ния и насыщения. Это способствует более четкой работе переключающего устройства.

 


Поделиться с друзьями:

mylektsii.su - Мои Лекции - 2015-2026 год. (3.038 сек.)Все материалы представленные на сайте исключительно с целью ознакомления читателями и не преследуют коммерческих целей или нарушение авторских прав Пожаловаться на материал