Студопедия

Главная страница Случайная страница

КАТЕГОРИИ:

АвтомобилиАстрономияБиологияГеографияДом и садДругие языкиДругоеИнформатикаИсторияКультураЛитератураЛогикаМатематикаМедицинаМеталлургияМеханикаОбразованиеОхрана трудаПедагогикаПолитикаПравоПсихологияРелигияРиторикаСоциологияСпортСтроительствоТехнологияТуризмФизикаФилософияФинансыХимияЧерчениеЭкологияЭкономикаЭлектроника






По лабораторной работе №1






Министерство образования и науки Российской Федерации

федеральное государственное автономное образовательное учреждение

высшего образования

НАЦИОНАЛЬНЫЙ ИССЛЕДОВАТЕЛЬСКИЙ

ТОМСКИЙ ПОЛИТЕХНИЧЕСКИЙ УНИВЕРСИТЕТ»

Институт ЭНИН

Направление подготовки (специальность)

Атомные станции: проектирование, эксплуатация и инжиниринг

Кафедра АТЭС

 

ОТЧЕТ

По лабораторной работе №1

Оценка эффективной температуры в стерженьковыхтвэлах

вариант задания № 21

 

по дисциплине Физика ядерного реактора

 

 

Выполнил студент гр. 5012 ____________ Лежнин А.В.

(Номер группы) (Подпись) (ФИО)

 

_____ _____________ 20__г.

(Дата сдачи отчета)

 

Отчет принят:

 

____________ Лавриненко С.В.

(Ученая степень, ученое звание, должность) (Подпись) (ФИО)

 

_____ _____________ 20__г.

(дата проверки отчета)

 

 

Томск 2015 г.


 

Таблица №1 – Исходные данные к расчету урано-водной решетки

№ варианта Qт, МВт dтвэл, мм а, мм Тип решетки Вид топлива С5, % Тср, 0С Рвых, МПа Толщина оболочки твэл  
        К U 2, 4   16, 2 0, 57

 

В качестве возьмём реактор ВВЭР – 440, его решётка имеет такое же строение, тепловая мощность отличается от нашей почти в 4 раза, поэтому, возможно необходимо будет изменить количество ТВС для достаточной энергонапряжённости активной зоны.

Высота активной зоны

Общее число мест (nмест) – 121;

Число ТВЭЛов (nтвэл) – 114;

Число ПЭЛов (nпэл) – 6;

Центральные трубки (далее ЦКТ) (nд) – 1;

Толщина водяного зазора между ТВС () – 1мм.

Температура теплоносителя:

на входе

на выходе

Давление теплоносителя

Объем активной зоны:

Зная объем активной зоны, можем найти эквивалентный диаметр активной зоны:

Определим также площадь поперечного сечения в аз:

Найдем количество ТВС:

Уточняем объем активной зоны и энергонапряженность:

Не учитывая выделения тепла в замедлителе, найдем средний по реактору поверхностный тепловой поток или поверхностный тепловой поток в кассете средней мощности, где - площадь теплообмена, м2.


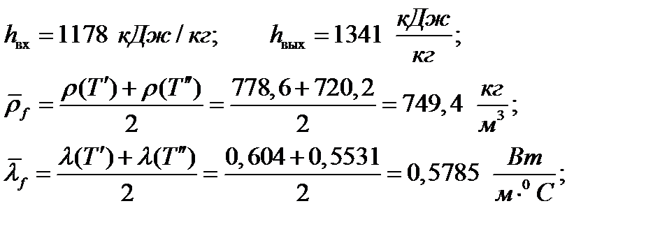
Проходное сечение приходящееся на один ТВЭЛ равно объему воды на 1 см активной зоны в эквивалентной ячейки (Sтн). По параметрам теплоносителя определяем его теплофизические свойства, используя для этого программу “WaterSteamPro”.

 

 

Коэффициент теплоотдачи в пучках стержней примем постоянным по высоте, а рассчитывать будем по упрощенным зависимостям. Относительный шаг решетки:


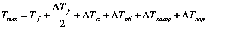
максимальный температурный напор ² стенка-жидкость².

Максимальная температура стенки твэла не должна превышать температуру насыщения ТН при Р = 12, 3 МПа Тнас = 326, 57 º С, чтобы не допустить вскипание ТН. В данном случае запас до закипания составляет 11, 57º С.

; ;

множитель, корректирующий значение потока на средний диаметр оболочки;

толщина и коэффициент теплопроводности оболочки;

диаметр топливной таблетки;

λ заз – коэффициент теплопроводности газа, которым заполняется газовый зазор;

Процесс расчета максимального перепада температуры на оболочке твэла итерационный. В первом приближении примем температуру на внутренней стенке оболочки

330 . Тогда средняя температура оболочки По этой

температуре находим из [3, с.320, П31] .

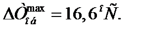
Максимальный перепад температуры на оболочке твэла примем равной

Процесс расчета перепада температуры в газовом зазоре.

В первом приближении примем температуру сердечника 465 .

Тогда средняя температура газового зазора По этой температуре при давлении 2 МПа находим из [3, с.313, П13] .

Толщину газового зазора примем 0, 065 мм. Тогда диаметр топливной таблетки

Перепад температуры в газовом зазоре примем равным

Максимальный радиальный перепад в топливном сердечнике твэла при постоянной теплопроводности и, учитывая распределение тепловыделения по радиусу цилиндрического твэла в виде модифицированной функции Бесселя , можно записать выражение: .

Если пренебречь зависимостью профиля распределения плотности потока тепловых нейтронов, значение которого в поверхностных слоях топлива более высокое, и взять среднее значение энерговыделения, то получим:


Поделиться с друзьями:

mylektsii.su - Мои Лекции - 2015-2026 год. (1.719 сек.)Все материалы представленные на сайте исключительно с целью ознакомления читателями и не преследуют коммерческих целей или нарушение авторских прав Пожаловаться на материал