Студопедия

Главная страница Случайная страница

КАТЕГОРИИ:

АвтомобилиАстрономияБиологияГеографияДом и садДругие языкиДругоеИнформатикаИсторияКультураЛитератураЛогикаМатематикаМедицинаМеталлургияМеханикаОбразованиеОхрана трудаПедагогикаПолитикаПравоПсихологияРелигияРиторикаСоциологияСпортСтроительствоТехнологияТуризмФизикаФилософияФинансыХимияЧерчениеЭкологияЭкономикаЭлектроника






Лабораторна робота № 5.2






1.Опис експериментальної установки

Експериментальна установка містить електродвигун постійного струму паралельного збудження, який приводить в обертання робочу машину РМ. Передбачено регулювання струму збудження за допомогою регулювального реостата РЗ, спостереження за силою струму збудження за допомогою амперметра РА 1, спостереження за струмом і напругою двигуна за допомогою амперметра РА 2 і вольтметра РV. Передбачено пусковий реостат РП. Паспортні дані двигуна наступні: номінальна потужність
4 кВт, номінальна напруга 220 В, номінальний к.к.д. 80 %. Номінальна частота обертання 1500 об / хв. Робоча частота обертання 1000 об / хв. Номінальний струм двигуна дорівнює 22, 2 А. Номінальний струм збудження дорівнює 1 А. Опір обмотки якоря дорівнює 0, 5 Ом. Час роботи електродвигуна становить 1000 год.

 
Ш 1
Ш 2
ОЗ
Я 1
Я 2
РЗ
РV
РП
w
 
 
 
 
 
 
 
Я
РA 1
 
РA 2
+
 
РМ
 
 
Принципова електрична схема експериментальної установки наведена на рисунку 6.3.

 

 

Рисунок 6.3 - Принципова електрична схема експериментальної установки.

Для складання схеми необхідно мати 12 провідників (на схемі позначені номерами 1-12).

 

2. Розрахункова схема експериментальної установки

При складанні розрахункової схеми прийняті наступні допущення:

- опори з’єднувальних проводів, обмоток амперметрів дорівнюють нулю;

- опір обмотки вольтметра дорівнює нескінченності.

Е
Rя
Rз  
Ш 1
Ш 2
Я 1
Я 2
Iя
Iз
U
Lя
Lз
+
I
Rрп
Rрз
Тоді розрахункова схема електричного кола експериментальної установки має вигляд, наведений на рисунку 6.4.

 

Рисунок 6.4 - Розрахункова схема електричного кола експериментальної установки.

Rз – опір обмотки збудження, Ом;

Lз – індуктивність обмотки збудження, Гн;

Rрз – опір реостата збудження, Ом;

Iз – сила струму збудження, А;

Rя – опір обмотки збудження, Ом;

Lя – індуктивність обмотки якоря, Гн;

Е – противо-е.р.с. обмотки якоря, В;

Rрп – опір пускового реостата, Ом;

Iя – сила струму обмотки якоря, А;

I – сила струму, що споживає двигун з мережі, А;

U – напруга на затискачах двигуна, В.

3. Завдання з виконання експериментального дослідження

3.1 Занести відомі значення паспортних і експериментальних даних в таблицю 6.15.

 

Таблиця 6.15

№ п/п Паспортні і експериментальні дані
Uн, В Рн, Вт hн nн, об/хв n, об/хв Iн, А Iз.н, А Rя, Ом t, год.
                   

3.2 Вибрати амперметр РA 2для вимірювань сили струму, який споживає електродвигун, дотримуючись умови, щоб межа вимірювань амперметра була більшою за номінальний струм електродвигуна.

 

3.3 Вибрати амперметр РA 1для вимірювань сили струму збудження, дотримуючись умови, щоб межа вимірювань амперметра була більшою за номінальне значення струму збудження електродвигуна.

3.4 Вибрати вольтметр РV для вимірювання напруги на затискачах електродвигуна, дотримуючись умови, щоб межа вимірювань вольтметра була більшою за номінальне значення напруги електродвигуна.

 

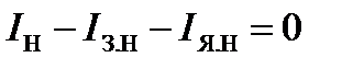
3.5 Визначити номінальне значення сили стуму у колі якоря за допомогою паспортних даних, користуючись першим законом Кірхгофа:

.

 

3.6 Визначити номінальне значення опору пускового реостата за допомогою паспортних і розрахункових даних, користуючись другим законом Кірхгофа для якірного кола:

.

 

3.7 Зібрати схему експериментальної установки та виставити опір пускового реостата у необхідне положення (відповідно до пункту 3.6).

 

4.8 Запустити електродвигун та вивести його на номінальний режим роботи.

 

3.9 Змінити напрям обертання двигуна двома способами та пояснити їх

 

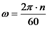
3.10 Визначити робочу кутову швидкість обертання електродвигуна за паспортними даними, користуючись рівнянням:

.

 

3.11 Визначити магнітний потік електродвигуна за паспортними та розрахунковими даними, користуючись рівнянням:

.

 

3.12 Визначити опір реостата, який необхідно ввести в коло якоря, щоб добитися робочої частоти обертання, за паспортними та розрахунковими даними, користуючись рівнянням:

.

 

3.13 Визначити потужність, яку споживає електродвигун з мережі в номінальному режимі, за паспортними даними, користуючись рівнянням:

.

 

3.14 Визначити кількість електроенергії, яку споживе електродвигун за час роботи, за паспортними та експериментальними даними, користуючись рівнянням:

.

 

3.15 Занести отримані значення в таблицю 6.16.

Таблиця 6.16

№ п/п Фізичні величини, що характеризують установку
I я.н, А R рп, Ом w, рад/с , Вб , Ом Р 1н, Вт W н, кВт× год
               

ТЕМАТИЧНЕ КОМПЛЕКСНЕ КВАЛІФІКАЦІЙНЕ ЗАВДАННЯ

 

Умова 1

Генератор постійного струму паралельного збудження приводиться в обертання тепловим карбюраторним двигуном. Передбачено регулювання струму збудження за допомогою регулювального реостата, спостереження за силою струму збудження за допомогою амперметра, спостереження за струмом і напругою генератора за допомогою амперметра й вольтметра. Паспортні дані генератора наступні: номінальна потужність Р н, номінальна напруга U н, номінальний к.к.д. h н. Генератор навантажений за допомогою реостата. К.к.д. теплового двигуна при номінальному навантаженні генератора h д. Тепломісткість палива становить 4, 6× 107 Дж / кг.

Завдання 1

1. Скласти принципову електричну схему керування генератором.

2. Визначити потужність, що розвивається генератором (Р г).

3. Визначити потужність, що розвивається тепловим двигуном (Р д).

4. Визначити роботу, що виконає тепловий двигун за 10 год (А д).

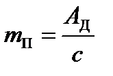
5. Визначити кількість палива, що буде витрачено тепловим двигуном
на виконання цієї роботи (m п).

6. Визначити кількість палива, що буде витрачено тепловим двигуном
на виконання корисної роботи (m п.к).

7. Визначити кількість палива, що буде витрачено тепловим двигуном
на його нагрівання й віддачу в навколишнє середовище (m п.с).

8. Визначити номінальний струм генератора (I н)

9. Після пуску генератор не збуджується. Укажіть і обґрунтуйте можливі причини.

Варіанти вихідних даних

до тематичного комплексного кваліфікаційного завдання (до умови 1)

Таблиця 6.17

Варіанти Вихідні дані
Р н, кВт U н, B h н h д
  0, 95   0, 675 0, 3
  0, 37   0, 645 0, 35
  0, 95   0, 680 0, 4
  0, 37   0, 645 0, 32
  2, 2   0, 675 0, 38
  0, 85   0, 645 0, 4
  2, 2   0, 680 0, 39
  0, 85   0, 645 0, 3
  3, 1   0, 675 0, 35
  1, 3   0, 645 0, 4
  3, 1   0, 680 0, 32
  1, 3   0, 645 0, 38
  1, 1   0, 645 0, 4
  1, 1   0, 680 0, 39
  5, 2   0, 645 0, 4

Рішення варіанту№

Вихідні дані
Р н, кВт U н, B h н h д
       

 

1. Складаємо принципову електричну схему керування генератором:

Д
 
Ш 1
Ш 2
ОЗ
Я 1
Я 2
РЗ
РV
РН
w
 
 
 
 
 
 
 
Я
РА 1
 
РA 2
 
 

 


Рисунок 6.5- Принципова електрична схема керування генератором:

 

ОЗ – обмотка збудження; Ш 1, Ш 2 –затискачі обмотки збудження;

Я – обмотка якоря; Я 1, Я 2 – затискачі обмотки якоря

РЗ – реостат збудження; РН – реостат навантаження;

РА 1, РА 2 – амперметри; PV – вольтметр;

Д – тепловий карбюраторний двигун.

 

2. Визначаємо потужність, що розвивається генератором (Р г):

Þ ;

3. Визначаємо потужність, що розвивається тепловим двигуном (Р д):

Þ ;

4. Визначаємо роботу, що виконає тепловий двигун за 10 год (А д):

;

5. Визначаємо кількість палива, що буде витрачено тепловим двигуном на виконання цієї роботи (m п):

;

6. Визначаємо кількість палива, що буде витрачено тепловим двигуном на виконання корисної роботи (m п.к):

;

7. Визначаємо кількість палива, що буде витрачено тепловим двигуном на його нагрівання й віддачу в навколишнє середовище (m п.с):

;

8. Визначаємо номінальний струм генератора (I н):

;

9. Після пуску генератор не збуджується.
Указуємо і обґрунтовуємо можливі причини:

 

– магнітопровід генератора розмагнічений;

– не правильна полярність обмотки збудження;

– не правильна полярність якірної обмотки;

– обрив у колі збудження;

– обрив у якірному колі.

 

Умова 2

Двигун постійного струму паралельного збудження приводить в обертання робочу машину. Передбачено регулювання струму збудження за допомогою регулювального реостата, спостереження за силою струму збудження за допомогою амперметра, спостереження за струмом і напругою двигуна за допомогою амперметра й вольтметра. Передбачено пусковий реостат. Паспортні дані двигуна наступні: номінальна потужність Р н, номінальна напруга U н, номінальний к.к.д. h н, номінальна частота обертання n н, номінальний струм двигуна I н, номінальний струм збудження I з.н, опір якірного кола R я.

 

Завдання 2

1. Скласти принципову електричну схему керування двигуном.

2. Скласти розрахункову схему електричного кола двигуна.

3. Визначити кутову швидкість обертання вала робочої машини
при номінальному режимі роботи (w н).

4. Визначити момент опору робочої машини при номінальному режимі роботи (М н).

5. Визначити потужність, яку споживає електродвигун з мережі
при номінальному режимі роботи (Р ).

6. Визначити втрати потужності на нагрівання електродвигуна
й віддачу в навколишнє середовище при номінальному режимі роботи (D Р с).

7. Визначити силу струму в обмотці якоря при номінальному режимі
роботи (I я.н).

8. Визначити втрати потужності в обмотці якоря
при номінальному режимі роботи (D Р я).

9. Визначити втрати потужності в обмотці збудження
при номінальному режимі роботи (D Р з).

10. Визначити вартість електричної енергії, що споживе двигун
за 1000 год. роботи в номінальному режимі,
якщо ціна електроенергії дорівнює 0, 5 грн. /(кВт × год).

Варіанти вихідних даних

до тематичного комплексного кваліфікаційного завдання (до умови 2)

Таблиця 6.18

Варіанти Вихідні дані
Р н, кВт U н, B h н n н, об/хв I н, А I з.н, А R я, Ом
  0, 95   0, 675   12, 8    
  0, 37   0, 645   5, 21    
  0, 95   0, 680   6, 35 1, 5 1, 2
  0, 37   0, 645   2, 61   1, 2
  2, 2   0, 675   29, 63    
  0, 85   0, 645   12, 0    
  2, 2   0, 680   14, 7   1, 2
  0, 85   0, 645   6, 0 1, 5 1, 2
  3, 1   0, 675   41, 75    
  1, 3   0, 645   26, 26    
  3, 1   0, 680   20, 72   1, 2
  1, 3   0, 645   9, 16   1, 2
  1, 1   0, 645   9, 47 1, 5  
  1, 1   0, 680   7, 35    
  5, 2   0, 645   73, 3   1, 2

Рішення варіанту 8

Вихідні дані
Р н, кВт U н, B h н n н, об/хв I н, А I з.н, А R я, Ом
             

 

1.

 
Ш 1
Ш 2
ОЗ
Я 1
Я 2
РЗ
РV
РП
w
 
 
 
 
 
 
 
Я
РA 1
 
РA 2
+
 
РМ
 
 
Складаємо принципову електричну схему керування двигуном:

 

 

Рисунок 6.6- Принципова електрична схема керування двигуном:

ОЗ –обмотка збудження; Ш 1, Ш 2 –затискачі обмотки збудження;

Я – обмотка якоря; Я 1, Я 2 –затискачі обмотки якоря

РЗ – реостат збудження; РП – пусковий реостат;

РА 1, РА 2 – амперметри; PV – вольтметр;

РМ – робоча машина.

 

2. Складаємо розрахункову схему електричного кола двигуна:

Е
Rя
Rз  
Ш 1
Ш 2
Я 1
Я 2
Iя
Iз
U
Lя
Lз
+
I
Rрп
Rрз

 


Рисунок 6.7 – Розрахункова схема електричного кола двигуна:

Rз – опір обмотки збудження;

Lз – індуктивність обмотки збудження;

Ш 1, Ш 2 – затиски обмотки збудження;

Rрз – опір реостата збудження;

Iз – сила струму збудження;

Rя – опір обмотки збудження;

Lя – індуктивність обмотки якоря;

Я 1, Я 2 – затиски обмотки якоря;

Е – противо-е.р.с. обмотки якоря;

Rрп – опір пускового реостата;

Iя – сила струму обмотки якоря;

I – сила струму, що споживає двигун з мережі;

U напруга на затискачах двигуна;

 

3. Визначаємо кутову швидкість обертання вала робочої машини
при номінальному режимі роботи (w н):

;

4. Визначаємо момент опору робочої машини
при номінальному режимі роботи (М н):

;

5. Визначаємо потужність, яку споживає електродвигун з мережі
при номінальному режимі роботи (Р ):

;

6. Визначаємо втрати потужності на нагрівання електродвигуна
й віддачу в навколишнє середовище
при номінальному режимі роботи (D Р с):

;

7. Визначаємо силу струму в обмотці якоря
при номінальному режимі роботи (I я.н):

;

8. Визначаємо втрати потужності в обмотці якоря
при номінальному режимі роботи (D Р я):

;

9. Визначаємо втрати потужності в обмотці збудження
при номінальному режимі роботи (D Р з):

;

10. Визначаємо вартість електричної енергії, що споживе двигун
за 1000 год. роботи в номінальному режимі,
якщо ціна електроенергії дорівнює 0, 5 грн. /(кВт × год):

;

 


Поделиться с друзьями:

mylektsii.su - Мои Лекции - 2015-2026 год. (0.543 сек.)Все материалы представленные на сайте исключительно с целью ознакомления читателями и не преследуют коммерческих целей или нарушение авторских прав Пожаловаться на материал