Студопедия

Главная страница Случайная страница

КАТЕГОРИИ:

АвтомобилиАстрономияБиологияГеографияДом и садДругие языкиДругоеИнформатикаИсторияКультураЛитератураЛогикаМатематикаМедицинаМеталлургияМеханикаОбразованиеОхрана трудаПедагогикаПолитикаПравоПсихологияРелигияРиторикаСоциологияСпортСтроительствоТехнологияТуризмФизикаФилософияФинансыХимияЧерчениеЭкологияЭкономикаЭлектроника






Контроль активности фермента.






2.1. Влияние на ферменты активаторов и ингибиторов.

Активаторами ферментов являются ионы многих металлов, например, ионы кальция активируют липазу. Некоторые анионы также способны активировать ферменты, например, a-амилаза слюны активируется ионами хлора.

Активаторами ферментов могут быть разнообразные вещества: так, желчные кислоты повышают активность панкреатической липазы.

Ингибиторы тормозят действие ферментов.

По характеру своего действия ингибиторы подразделяются на обратимые и необратимые. В основе такого деления лежит прочность соединения ингибитора с ферментом.

Обратимые ингибиторы — это соединения, которые нековалентно взаимодействуют с ферментом и могут отделяться от фермента.

Обратимое ингибирование может быть конкурентным. Конкурентный ингибитор имеет структуру, похожую на структуру субстрата, но несколько от нее отличающуюся. Он конкурирует с субстратом за связывание в субстратсвязывающем участке активного центра. Конкурентное ингибирование можно ослабить или полностью устранить, повысив концентрацию субстрата. Конкурентный ингибитор увеличивает Кm, но не изменяет Vmax.

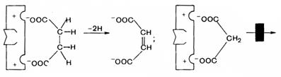
Пример: фермент сукцинатдегидрогеназа дегидрирует сукцинат, превращая его в фумарат. Малонат, который структурно похож на сукцинат, связывается в активном центре фермента, но не может дегидрироваться.

Степень торможения будет определяться соотношением концентраций малоната и сукцината.

Метод конкурентного торможения нашел широкое применение в медицинской практике. Сульфаниламиды – препараты, используемые для лечения инфекционных болезней – это структурные аналоги парааминобензойной кислоты, участвующей в метаболизме бактерий. Сульфаниламид вытесняет пара-аминобензойную кислоту из комплекса с ферментом, что приводит к гибели микроорганизмов.

При обратимом неконкурентном ингибировании субстрат и ингибитор связываются с разными центрами. Увеличение концентрации субстрата не препятствует связыванию ингибитора. Неконкурентный ингибитор уменьшает Vmax, а Кm не меняется.

Известно бесконкурентное ингибирование, когда ингибитор связывается с ферментом также не в каталитическом центре, однако не со свободным ферментом, а только с ES-комплексом в виде тройного комплекса. Бесконкурентный ингибитор уменьшает Кm и Vmax.

Любые агенты, вызывающие денатурацию белка, приводят к необратимой инактивации фермента. Но она не связана с механизмом действия ферментов.

Необратимые ингибиторы — это соединения, которые могут специфически связывать функционально важные группы активного центра, образуя ковалентные прочные связи с ферментом.

Неконкурентное необратимое ингибирование вызывается тяжелыми металлами (ртуть, свинец и др. присоединяются к HS-группам полипептидной цепи), солями синильной кислоты, оксидом углерода (II) и др..

При конкурентном необратимом торможении ингибитор, обладающий структурным сходством с субстратом, соединяется с ферментом, подменяя собой субстрат.

Диизопропилфторфосфат структурно близок к нейромедиатору ацетилхолину и присоединяется вместо него к ферменту ацетилхолинэстеразе. Он блокирует активный центр фермента. В результате утрачивается способности нейронов проводить нервные импульсы.


Поделиться с друзьями:

mylektsii.su - Мои Лекции - 2015-2026 год. (0.972 сек.)Все материалы представленные на сайте исключительно с целью ознакомления читателями и не преследуют коммерческих целей или нарушение авторских прав Пожаловаться на материал