Студопедия

Главная страница Случайная страница

КАТЕГОРИИ:

АвтомобилиАстрономияБиологияГеографияДом и садДругие языкиДругоеИнформатикаИсторияКультураЛитератураЛогикаМатематикаМедицинаМеталлургияМеханикаОбразованиеОхрана трудаПедагогикаПолитикаПравоПсихологияРелигияРиторикаСоциологияСпортСтроительствоТехнологияТуризмФизикаФилософияФинансыХимияЧерчениеЭкологияЭкономикаЭлектроника






Ликвидации






Прироста

 

Коэффициенты состояния основных фондов:

Годности

 

Износа

Коэффициенты технической готовности, замены и расширения парка:

 

 

Показатели рентабельности основных фондов по прибыли и доходу:

 

 

Частные показатели характеризуют уровень использования активной части основных фондов и раскрывают резервы возможного улучшения работы техники.

К ним относятся коэффициенты:

1) экстенсивного использования (характеризует загрузку машин по времени):

 

2) интенсивного использования (характеризует использование машин по мощности, объёмам выполненных работ, производительности):

 

 

3) интегральный (характеризует загрузку машин по времени и мощности):

Кинтегр.экст. · Кинт.,

где Тфакт. – фактическое время работы машин, ч; Тэф. – эффективное время работы, ч; Qфакт. – фактический годовой объём продукции в натуральных единицах; Мср. – среднегодовая производственная мощность в тех же единицах измерения; Пфакт и Ппроект. – фактическая и проектная (паспортная, плановая) производительность.

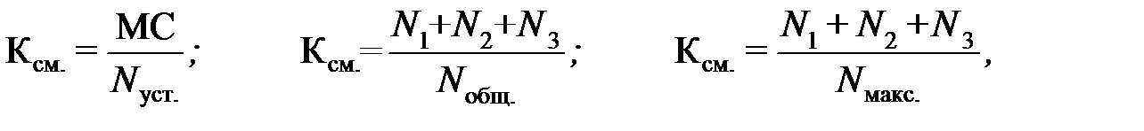
Для оценки использования суточного времени техники служит показатель, называемый коэффициентом сменности. Он определяется по одной из формул:

где МС – число отработанных машино-смен; N уст.− число единиц установленного оборудования; N 1, N 2 и N 3 – количество оборудования, работающего соответственно в I, II и III сменах; N общ. – общее количество оборудования; N макс. − число единиц оборудования, работающего в наиболее загруженную смену.

Коэффициенты сменности установленного и действующего оборудования:

где N б.-д. − число единиц бездействующего, но установленного оборудования; 1, 2 и 3 − количество единиц оборудования, работающего в одну, две и три смены.

Изменение фондоотдачи (∆ Фотд.) за счёт изменения сменности (∆ Ксм.) за отчётный период по сравнению с базисным определяется по формуле

 

 

РЕЗЕРВЫ УЛУЧШЕНИЯ ИСПОЛЬЗОВАНИЯ ОСНОВНЫХ ПРОИЗВОДСТВЕННЫХ ФОНДОВ
Резервы улучшения использования оборудования
Резервы улучшения использования производственных площадей
Не установленное оборудование
Установленное оборудование

 

 


ускорение ввода в действие   ликвидация излишнего оборудования   резерв экстенсивного использования оборудования   резерв интенсивного использования оборудования   разгрузка цехов от лишних запасов деталей и инструментов   рациональное размещение оборудования   применение подвесных транспортеров   сокращение площади под вспомогательные площади

Повышение удельного веса действующего оборудования
e zg7dHbspTeqUno0Go4B8z+aOIfrh/A2ikh5HX8kqpVgCntaJJS1tT3QeZM+k6mSsTmksck9d1wK/ ztahecPHbXBrzEy+QWbBdKOOq4lCaeAdJTWOeUrd2yUDQYl6prE7Z/Fw2O5FUIaj0wEqcGzJji1M c4RKqaekE2e+26WlBbko8aU40KHNBXa0kIHsu6x2+eMoh3bt1q7dlWM9eN39HKa/AAAA//8DAFBL AwQUAAYACAAAACEAv0kPJt4AAAAJAQAADwAAAGRycy9kb3ducmV2LnhtbEyPQU/CQBSE7yb+h80z 8SZbCkFauiVGg4lHKBdvr91nW+y+bbpbqP56lxMeJzOZ+SbbTqYTZxpca1nBfBaBIK6sbrlWcCx2 T2sQziNr7CyTgh9ysM3v7zJMtb3wns4HX4tQwi5FBY33fSqlqxoy6Ga2Jw7elx0M+iCHWuoBL6Hc dDKOopU02HJYaLCn14aq78NoFJRtfMTfffEemWS38B9TcRo/35R6fJheNiA8Tf4Whit+QIc8MJV2 ZO1Ep2DxvA5fvIJlAiL4q+VVlyE4jxOQeSb/P8j/AAAA//8DAFBLAQItABQABgAIAAAAIQC2gziS /gAAAOEBAAATAAAAAAAAAAAAAAAAAAAAAABbQ29udGVudF9UeXBlc10ueG1sUEsBAi0AFAAGAAgA AAAhADj9If/WAAAAlAEAAAsAAAAAAAAAAAAAAAAALwEAAF9yZWxzLy5yZWxzUEsBAi0AFAAGAAgA AAAhADiqBMJRAgAAZAQAAA4AAAAAAAAAAAAAAAAALgIAAGRycy9lMm9Eb2MueG1sUEsBAi0AFAAG AAgAAAAhAL9JDybeAAAACQEAAA8AAAAAAAAAAAAAAAAAqwQAAGRycy9kb3ducmV2LnhtbFBLBQYA AAAABAAEAPMAAAC2BQAAAAA= ">
Увеличение времени работы оборудования

 


сокращение сроков ремонта и удлинение межремонтного периода   устранение внеплановых построек   планирование полной загрузки оборудования   увеличение сменности работы   уменьшение непроизводительной работы   повышение квалификации рабочих и освоение передовых методов труда   применение передовой технологии и конструкции   модернизация оборудования   повышение уровня специализации   повышение уровня концентрации при построении технологических процессов

 

Рис. 8 – Пути повышения использования ОФ

 

 


Поделиться с друзьями:

mylektsii.su - Мои Лекции - 2015-2026 год. (1.081 сек.)Все материалы представленные на сайте исключительно с целью ознакомления читателями и не преследуют коммерческих целей или нарушение авторских прав Пожаловаться на материал