Студопедия

Главная страница Случайная страница

КАТЕГОРИИ:

АвтомобилиАстрономияБиологияГеографияДом и садДругие языкиДругоеИнформатикаИсторияКультураЛитератураЛогикаМатематикаМедицинаМеталлургияМеханикаОбразованиеОхрана трудаПедагогикаПолитикаПравоПсихологияРелигияРиторикаСоциологияСпортСтроительствоТехнологияТуризмФизикаФилософияФинансыХимияЧерчениеЭкологияЭкономикаЭлектроника






Порядок проведения работы.






1. Ознакомиться с кинематической схемой станка и принципом его работы.

2. Назначить режимы резания для обработки заданной детали.

а) определить припуск на обработку

Для однопроходного кулачка припуск равен высоте зуба.

hр = h = 2.25 * т

б) назначить по нормативам, в зависимости от условий обработки,
круговую подачу и режимы резания.

3. Рассчитать настройку станка по приведённым в теоретической части
формулам.

а) определить сменные шестерни цепи главного движения А и В

б) уточнить скорость резания по формуле:

в) определить число двойных ходов долбяка в минуту:

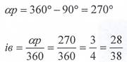
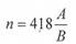
г) определить сменные колёса гитары деления а, b, с, d по формуле:

Например, при

а+b=48+72=120


Примечание: при подборе сменных колёс по этому пункту Г округления не допускается.

д) определить сменные колёса круговой подачи С и Д.


е) определить передаточное отношение тройного блока при настройке
радиальной подачи, для однопроходного кулачка:

ж) определить припуск для однопроходного кулачка
= 2.25т

з) определить радиальную подачу

и) определить время обработки одной детали

4. Под руководством преподавателя установить сменные шестерни на станок. Установить сменный кулачок. Тройной блок установить в заднее положение. Установить заготовку на станок и произвести установку глубины врезания. Произвести обработку заготовки.

 

Варианты задания.

 

Номер варианта Модуль нарезаемого колеса Число зубьев нарезаемого колеса Ширина нарезаемого колеса Число зубьев долбяка Материал зуба колеса
          Ст45
          Ст45
          СтЗ
          СтЗ
          Д16
          БрАЖ -9 -4
          БрАЖ -9 -
          Л-62
          Л-62
  2, 5       Ст45
  2, 5       Ст45
  2, 5       Ст45
          Ст40Х
          Ст40Х
          Ст38ХА

 

 

Содержание отчёта

Наименование работы.

Цель работы.

Задание на настройку станка.

Эскиз обрабатываемой детали.

Расчёт по пунктам 1 и 2 раздел «Порядок выполнения работы»

Контрольные вопросы

Какого значение зубодолбёжного станка?

Назвать движение станка при нарезании зубчатого колеса.

Показать по кинематической схеме станка цепь главного движения.

Показать по кинематической схеме станка цепь деления.

Показать по кинематической схеме станка цепь круговой подачи.

Каким образом производится врезание долбяка в деталь в начале обработки.

Для чего при холостом ходе долбяк отводится от заготовки.

Литература

Рудинский «Металлорежущие станки»

Гулячкин «Лабораторные работы по курсу Металлорежущие станки»

ЧЕРНОВ «Металлорежущие станки»

 


Поделиться с друзьями:

mylektsii.su - Мои Лекции - 2015-2026 год. (1.109 сек.)Все материалы представленные на сайте исключительно с целью ознакомления читателями и не преследуют коммерческих целей или нарушение авторских прав Пожаловаться на материал