Главная страница Случайная страница КАТЕГОРИИ: АвтомобилиАстрономияБиологияГеографияДом и садДругие языкиДругоеИнформатикаИсторияКультураЛитератураЛогикаМатематикаМедицинаМеталлургияМеханикаОбразованиеОхрана трудаПедагогикаПолитикаПравоПсихологияРелигияРиторикаСоциологияСпортСтроительствоТехнологияТуризмФизикаФилософияФинансыХимияЧерчениеЭкологияЭкономикаЭлектроника |
Расчёт смазочных материалов.
Наличие механизаторских кадров, обслуживающего персонала, инженерно-технических работников. Таблица 6
| |||||||||||||||||||||||||||||||||||||
| Ежуров А.А. | КП. 00. 00. 13. | Лист | ||||||||||||||||||||||||||||||||||||
| Наумов Н.В. | ||||||||||||||||||||||||||||||||||||||
| Изм. | Лист | № докум. | Поди. | Дата | ||||||||||||||||||||||||||||||||||
1.6.Наличие механизаторских кадров, обслуживающего персонала, инженерно- технических работников.
Таблица 7
Всего земли: 3547. Из них пашни 3362 Пастбища 185 | ||||||||||||||||||||||||||||||||||||||
| Ежуров А.А. | КП. 00. 00. 13. | Лист | ||||||||||||||||||||||||||||||||||||
| Наумов Н.В. | ||||||||||||||||||||||||||||||||||||||
| Изм. | Лист | № докум. | Поди. | Дата | ||||||||||||||||||||||||||||||||||
| 2. Расчетно-организационная часть. 2.1. Разработка плана механизированных работ на заданный период. Технологическая карта представляет собой документ, который содержит все необходимые сведения и, соответственно, инструкции для персонала, который выполняют определенный технологический процесс. Качественно составленная технологическая карта должна в обязательном порядке давать четкие ответы на такие вопросы: - Какого рода операции следует выполнять? - В какой именно последовательности выполняются предусмотренные технологическим процессом операции? - С какой периодичностью требуется выполнять операции (в случаях, когда необходимо многоразовое повторении операции)? - Сколько времени затрачивается на выполнение отдельно взятой операции? - Каков конечный результат выполнения определенной операции? - Какие требуются инструменты, а также материалы для эффективного выполнения операции Для разработки технологической карты и расчета ее показателей необходимы следующие исходные данные: 1. Структура посевных площадей. 2. Технология возделывания данной сельскохозяйственной культуры 3. Объем и сроки работ 4. Продолжительность рабочего дня в часах 5. Необходимый марочный состав МТА 6. Нормы выработки и расхода топлива на выполняемые производственные процессы 7. Нормы посева, внесение удобрений В первой графе записывается номер операции по порядку. В графе 2 записывается наименование выполняемых работ В графе 3 записывается объем выполняемых работ (площадь, масса) В графе 4 указывается марка трактора, выполняющего операции В графах 5 и б указываются марка с/х машин и их количество в агрегате. В графе 7 указывается количество основного обслуживающего персонала В графе 8 записывается продолжительность рабочего дня. В 9 и 10 графах проводится выработка агрегата, устанавливаемая по данным зональным нормативным станциям. | ||||||||||||||||||||||||||||||||||||||
| Ежуров А.А. | КП. 00. 00. 13. | Лист | ||||||||||||||||||||||||||||||||||||
| Наумов Н.В. | ||||||||||||||||||||||||||||||||||||||
| Изм. | Лист | № докум. | Поди. | Дата | ||||||||||||||||||||||||||||||||||
| В графе 11 определяется агросрок проведения работ, количество рабочих дней можно определить по формуле: Др = Дк·Zк, где Др - количество рабочих дней, Дк- количество календарных дней по агросроку (графа 13), Zk - коэффициент использования календарных дней. Графа 12— выработка агрегата за агросрок, подсчитывается путем умножения выработки агрегата за рабочий день (гр.10) на количество рабочих дней за агросрок (гр.11). График 13 - календарный срок выполнения работ, определяется по агротехническим требованиям. Графа 14 - количество дней работы на предусмотренный объем, определяется делением планируемого объема работ (гр.З) на дневную выработку всех агрегатов (гр.10 х гр 15). Графа 15 - количество тракторов, необходимое не предусмотренный объем работ, определяется делением планируемого объема (гр. 3) на объем работ, выполняемый одним агрегатом за рабочий срок.(гр. 12) Графа 16 - необходимое количество сельскохозяйственных машин, определяется умножением числа необходимым агрегатов (гр.15)на количество машин в одном агрегате (гр. 6) Графа 17- необходимое количество временно привлеченным рабочим (прицепщиков и п.т), устанавливает с учетом организации данного вида работ. Графа 18 - затраты труда на 1 га выполненной работы, подсчитывают путем деления количества основных и вспомогательных рабочих на вспашку производительности агрегата за 1 час сменного времени (гр. 3) 2.2. Построение графиков машинного использования тракторов. Основой при определении состава МТП являются технологические карты и графики машиноиспользования, количество специальных машин, применяемых при возделывании одной культуры определяют из соответствующей технологической карты. Количество машин и орудий общего назначения устанавливают по периоду наибольшей потребности. Например, весеннем севе необходимо иметь 12зерновых сеялок, при весеннем севе - 9. Требуемое количество сеялок составляет 6 штук. Количество тракторов затруднительно определить по технологической карте, т.к они используются при возделывании различных культур и сроки их использования в ряде случаев совпадают. Поэтому для определения количества тракторов используются графическим способом. График для каждой марки трактора строят в прямоугольных осях координат. На горизонтальной оси откладывают в масштабе время в календарных днях года, на вертикальной оси - количество тракторов. На графиках строят прямоугольники, одна сторона которым соответствует длительности работы трактора на данном виде работ в календарных днях, а другая сторона - требуемому количеству тракторов. площадь этих прямоугольников соответствует количеству тракторов - дней, необходимым для выполнения данного вида работ. При совпадении нескольких видов работ по времени требуемое количество тракторов данной марки суммируют и прямоугольники накладываются один на другой. | ||||||||||||||||||||||||||||||||||||||
| Ежуров А.А. | КП. 00. 00. 13. | Лист | ||||||||||||||||||||||||||||||||||||
| Наумов Н.В. | ||||||||||||||||||||||||||||||||||||||
| Изм. | Лист | № докум. | Поди. | Дата | ||||||||||||||||||||||||||||||||||
| Данные для построения графика потребности в трактором ДТ -75 М, Т -150К, МТЗ -80, а также зерноуборочным комбайнам СК -5 «Нива», сводятся в таблицы. В графе 11 определяется агросрок проведения работ, количество рабочих дней можно определить по формуле: Др = Дк·Zк, где Др - количество рабочих дней, Дк- количество календарных дней по агросроку (графа 13), Zk - коэффициент использования календарных дней. Графа 12— выработка агрегата за агросрок, подсчитывается путем умножения выработки агрегата за рабочий день (гр.10) на количество рабочих дней за агросрок (гр.11). График 13 - календарный срок выполнения работ, определяется по агротехническим требованиям. Графа 14 - количество дней работы на предусмотренный объем, определяется делением планируемого объема работ (гр.З) на дневную выработку всех агрегатов (гр.10 х гр 15). Графа 15 - количество тракторов, необходимое не предусмотренный объем работ, определяется делением планируемого объема (гр. 3) на объем работ, выполняемый одним агрегатом за рабочий срок.(гр. 12) Графа 16 - необходимое количество сельскохозяйственных машин, определяется умножением числа необходимым агрегатов (гр.15)на количество машин в одном агрегате (гр. 6) Графа 17- необходимое количество временно привлеченным рабочим (прицепщиков и п.т), устанавливает с учетом организации данного вида работ. Графа 18 - затраты труда на 1 га выполненной работы, подсчитывают путем деления количества основных и вспомогательных рабочих на вспашку производительности агрегата за 1 час сменного времени (гр. 3) | ||||||||||||||||||||||||||||||||||||||
| Ежуров А.А. | КП. 00. 00. 13. | Лист | ||||||||||||||||||||||||||||||||||||
| Наумов Н.В. | ||||||||||||||||||||||||||||||||||||||
| Изм. | Лист | № докум. | Поди. | Дата | ||||||||||||||||||||||||||||||||||
| 2.3. Организация и проведение работ по возделыванию и уборке. Лущение. Лущение — обработка почвы специальными орудиями — лущильниками — на незначительную глубину (8-12 см). При лущении происходит поверхностное рыхление, частичное оборачивание почвы и подрезание сорняков. Последующей вспашкой проросшие сорняки заделываются на большую глубину и погибают. Лущат почву дисковыми и лемешными лущильниками. Рабочий орган дисковых лущильников – сферический диск, лемешно-отвальный корпус шириной захвата – 25 см. диски лущильников располагаются так, чтобы плоскость вращения дисков составляло с направлением движения угла атаки 30-35 градусов. В таком положении диски хорошо подрезают и крошат пласты почвы, заделывают в верхний слой пожнивные остатки и семена сорняков. Качество лущения зависит от остроты дисков, которые по мере затупления затачиваются. Дисковым лущильником лущат стерню зерновых культур на участках, засоренных преимущественно корневыми и другими многолетними сорняками. уплотненную почву после уборки кукурузы и подсолнечника и участки засоренные корнеотпрысковыми сорняками обрабатывают лемешными лущильниками. Лущение стерни дисковым лущильником проводят на глубину 4-10 см, лемешными – 6-12 см. отклонение средней глубины обработки от заданной не должна превышать 1-2 см. верхний слой почвы после рыхления должен быть мелкокомковым, а поверхность взлущенного поля должна быть слитой и ровной. Развальная борозда в стыке, среди батарей основных орудий, не должна превышать глубину обработки почвы. После лущат поперек направления движения с увеличением скорости агрегата глубины лущения. Вспашка зяби. К почвообрабатывающим машинам и орудиям каждого вида, выполняющим основную обработку почвы, предъявляются специфические агротехнические требования. Так глубина обработки почвы лемешно-отвальными кругами общего назначения должна достигать 20-35 см с оборотом пласта, а на почвах с меньшей мощностью плодородного слоя полной его глубины с постепенным углублением пахотного слоя почвогубителями при повторных основных обработках. Глубина пашни должна быть равномерной по всему полю. Отклонение средней глубины + 1 см, на новых участках + 2 см. При вспашке обеспечивается полный оборот пласта и разделка стерни, сорных растений, удобрений. Растительные остатки запахивают на глубину 13-15 см от поверхности пашни. Поверхность пашни должна быть ровной без глубоких разъемных борозд между соседними проходами плуга. Допускаемая высота гребней не более 5 см. Последняя борозда от прохода плуга должна быть чистой, с ровной вертикальной стенкой. Колебания ширины захвата плуга не более 10%, от конструктивной. Эти требования наиболее выполняются при прямоугольном движении агрегата. Не допускается распыление почвами орудиями в процессе работы, т. е. образование эрозионноопосных частиц размером меньше 1 мм. Поверхность поля после обработки должна быть без глубоких разъемных борозд и высоких валиков. На стыке проходов и лап орудий допустимо валики высотой не более 5 см, а в местах прохода стоек борозды не более 15-25 см. | ||||||||||||||||||||||||||||||||||||||
| Ежуров А.А. | КП. 00. 00. 13. | Лист | ||||||||||||||||||||||||||||||||||||
| Наумов Н.В. | ||||||||||||||||||||||||||||||||||||||
| Изм. | Лист | № докум. | Поди. | Дата | ||||||||||||||||||||||||||||||||||
| Боронование зяби. Боронаа — сельскохозяйственное орудие для обработки почвы. Боронование предохраняет почву от высыхания, выравнивает её поверхность, разрушает почвенную корку, уничтожает сорняки. Могут использоваться как отдельно (например, агрегатироваться с тракторами на сцепках), так и совместно с другими сельскохозяйственными орудиями (плугами, сеялками, культиваторами и др.). Бороны подразделяют на зубовые, дисковые и роторные, по устройству рабочих органов они делятся на зубовые, пружинные и дисковые, а также на бороны общего и специального назначения. В зависимости от массы, приходящейся на один зуб или диск, на тяжёлые, средние, лёгкие. Зубовыми боронами обрабатывают почву на глубину 3-10 см. Диаметр комков после обработки не должен быть более 5 см, глубина борозды – 3-4 см. Количество поврежденных растений при этом не должно превышать 3%.. Предпосевная культивация. Культивация – это способ рыхления обработанного ранее грунта с подрезанием сорных трав. Она необходима для повышения качества водного и воздушного режимов, активизации полезных микроорганизмов, формирования условий для прорастания семян и нормального развития всходов. Предпосевную культивацию проводят обычно на глубину заделки семян зерновых культур. Неравномерность глубины обработки не должна превышать + 1 см. После культивации верхний слой почвы должен быть мелкокомковый, а сорные растения полностью подрезаны. Дно борозды и поверхность поля после культивации должна быть равная высоте гребней взрыхленного слоя не должна превышать 3-4 см. Поэтому культивацию часто проводят с одновременным боронованием. Рабочие органы культиватора не должны выносить нижний слой почвы на поверхность. Сплошную культивацию следует проводить поперек предыдущей обработки или под углом к ней, на скоростях 9-12 км/ч, с увеличением скорости улучшается выравнивание поверхности поля и создаются хорошие условия для работы посевных машин. Рабочими органами культиватора служат универсальные стрельчатые и рыхлительные лапы. Копьевидные наконечники универсальной стрельчатой лапы прикреплены к жесткой стойке. Угол наклона лезвия к горизонтальной плоскости 23-300, угол между лезвиями 60-650, ширина захвата 270-330 мм. Универсальные лапы хорошо рыхлят почву и подрезают корни сорняков. Лапы используют для обработки почвы на глубину до 12 см. Носки рыхлителя имеют две режущие кромки с углом раствора между ними 60-700. носок закреплен на жесткой или пружиненной стойке. Лапы с жесткими стойками шириной захвата 35-65 мм, применяют для обработки. Лапы с пружинными стойками шириной захвата 50мм служат для рыхления почвы на глубину до 16 см. вычесывание корнеотпрысковых сорняков, культивации повышенной влажности. Носки рыхлительных лап бывают односторонние и двусторонние. Носки после износа одного кольца поворачивают на 1800. | ||||||||||||||||||||||||||||||||||||||
| Ежуров А.А. | КП. 00. 00. 13. | Лист | ||||||||||||||||||||||||||||||||||||
| Наумов Н.В. | ||||||||||||||||||||||||||||||||||||||
| Изм. | Лист | № докум. | Поди. | Дата | ||||||||||||||||||||||||||||||||||
| Погрузка семян. Погрузочные работы относятся к наиболее трудоемким процессам в сельскохозяйственном производстве. Затраты труда на погрузочные работы при производстве основных культур составляет до 30% всех затрат на их возделывание и уборку. Поэтому механизация погрузки – один из путей повышения производительности труда в сельском хозяйстве. Она увеличивает производительность транспортных средств, уменьшает себестоимость перевозок, потребность в рабочей силе. Посев просо. Урожайность сельскохозяйственных культур в значительной степени зависит от качества посева семян, Для оптимального развития растений почву необходимо подготовить согласно агротребованиям для данного района. Семена, соответствующие посевному стандарту, необходимо равномерно распределить по площади поля и заделать в почву на заданную глубину. Растениям должна быть обеспечена необходимая площадь питания. Поэтому на каждом гектаре нужно высеять оптимальное для данного хозяйства количество всхожих семян возделанной культуры. Это количество семян в штуках или в килограммах на гектар, называемой нормой высева, уменьшение глубины посева может привести к вымерзанию всходов. При изменении глубокой заделки всходят ослабленные растения, а часть ростков гибнет, т.к. не может пробиться к свету. Между семенами и почвой не должно быть воздушной прослойки, затрудняющей поступление влаги к семенам, а позднее питательных веществ к корням растений. На развитие посева влияет и время посева. Опоздание посева приводит к значительному снижению урожайности. С семенами вносят гранулированные удобрения. В зависимости от глубины на одном уровне. Отклонение общего высева семян от заданной нормы не должна превышать + 3%. Средняя неравномерность высева между отдельными высевающими аппаратами при посеве зерновых культур допускается не более 3%, бобовых – 4%. Колебание ширины междурядными высевающими аппаратами при посеве зерновых культур более + 1см. Не допускается иметь на поверхности поля незаделанные семена. Повреждение семян высевающего аппарата не должна составлять 3%. Прикатывание. Почву уплотняют катками до и после посева. Прикатывание после посева уплотняют верхний слой, контакт семян с почвой улучшается, увеличивается подток влаги из нижних горизонтов и семена быстрее прорастают. На прикатанном поле повышается равномерность хода агрегатов, рабочая скорость должна быть больше. Уплотнение зависит от массы контакта. Удельное давление Р – 9, 8 м/в, приходящей на 1 см ширины катка. Тяговое усилие нужно для преодоления препятствий. | ||||||||||||||||||||||||||||||||||||||
| Ежуров А.А. | КП. 00. 00. 13. | Лист | ||||||||||||||||||||||||||||||||||||
| Наумов Н.В. | ||||||||||||||||||||||||||||||||||||||
| Изм. | Лист | № докум. | Поди. | Дата | ||||||||||||||||||||||||||||||||||
| 2.4. Выбор и обоснование марочного состава тракторов и с/х машин. Выбор и обоснование марок начинают с энергетической части МТП. В зависимости от структуры посевных площадей и работ вне полей севооборота, марок тракторов в подразделении хозяйства должно быть от 2 до 4. Количество марок зависит и от хозяйственных условий и от размеров полей. В состав парка должны войти только те типы машин, которые обеспечивают высокое качество выполнения работ. Машин каждого типа должно хватать для выполнения всех работ в полном объеме и в установленные агротехнические сроки. Состав МТП должен быть таким, чтобы производство всей запланированной продукции требовало наименьших затрат. В состав парка должно входить как можно меньше машин разных марок одного назначения. Для вспашки, из всех имеющихся тракторов и сельскохозяйственных машин, выбираем трактор Т-150К и плуг ПЛН-5-35, из которых составляем пахотный агрегат. Трактор Т-150К выбираем по следующим показателям: - удельное давление на почву; - тяговое усилие на 4 передаче – 25 кН; - расчетная скорость движения на 4 передаче; - рабочих передачах 11, 88 км/ч. Большое тяговое усилие трактора Т-150К, его скорость движения 11, 88 км/ч и пятикорпусной плуг ПЛН-5-35 с большей шириной захвата позволяет добиться большей производительности труда, чем имеющимся в хозяйстве трактором ДТ-75. 3. Проектная часть. 3.1. Разработка плана механизированных работ на заданный период. Технологическая карта представляет собой технологию производства того или иного продукта и включает в себя наименование, технологическую последовательность выполнения всех технологических процессов, необходимых для возделывания или уборки данного продукта, а также комплекс показателей, которые можно разделить на агротехнические, технические, эксплуатационные и экономические. К агротехническим показателям относятся требования к качеству выполнения работ, сроки выполнения, норма высева, норма внесения удобрений и другое. Технические показатели включают марку трактора, сельскохозяйственных машин и орудий, сцепки автотранспорта, приспособлений, механизмов и их кол-во. Эксплуатационные показатели: производительность технических средств, расход топлива, требуемое количество рабочих. Экономические показатели: затраты труда и средств на единицу площади посева и на единицу продукции. Технологические карты подразделяются на текущие, составляемые на ближайшее время с целью уточнения технологии, выполнения производственных процессов, объема работ, состава машинно-тракторного агрегата с учетом условий и режимов работы. | |||||||||||||
| Ежуров А.А. | КП. 00. 00. 13. | Лист | |||||||||||
| Наумов Н.В. | |||||||||||||
| Изм. | Лист | № докум. | Поди. | Дата | |||||||||
| Графа 18 – затраты труда на 1га выполненной работы, подсчитывают путем деления количества основных и вспомогательных рабочих на величину производительности агрегата за 1 час сменного времени (гр.9). Графа 19 – затраты труда на данную операцию, на весь объем работ, определяется произведением затрат труда на 1га (гр.18) на объем работы (гр.3). 3.3. Построение графика машиноиспользования тракторов. Основой при определении состава МТП являются технологические карты и графики машиноиспользования. Количество специальных машин, применяемых при возделывании одной культуры определяют из соответствующей технологической карты. Количество машин и орудий общего назначения устанавливают по периоду наибольшей потребности. Например: при весеннем севе необходимо иметь 6 зерновых сеялок, в период осеннего сева – 4. требуемое количество сеялок составляет 6 штук. Количество тракторов затруднительно определить непосредственно по технологической карте, т.к. они используются при возделывании различных культур и сроки их использования в ряде случаев совпадают. Поэтому для определения количества тракторов пользуются графическим способом. Графики для каждой марки трактора строят в прямоугольных осях координат. На горизонтальной оси откладывают в масштабе время в календарных днях года, на вертикальной оси – количество тракторов. На графиках строят прямоугольники, одна сторона которых соответствует длительности работы трактора на данном виде работ в календарных днях, а другая – требуемому количеству тракторов. Площадь этих прямоугольников соответствует количеству тракторо-дней, необходимых для выполнения данного вида работ. При совпадении нескольких видов работ по времени, требуемое количество тракторов данной марки суммируют и прямоугольники накладывают один на другой. Для построения графика, машиноиспользования тракторов, используем таблицу наличие техники в хозяйстве, это: трактора Т-150К, ДТ-75, МТЗ-80; зерноуборочный комбайн СК-5 «Нива», которые сводятся в таблицу. | |||||||||||||
| Ежуров А.А. | КП. 00. 00. 13. | Лист | |||||||||||
| Наумов Н.В. | |||||||||||||
| Изм. | Лист | № докум. | Поди. | Дата | |||||||||
Таблица 10
По данным этой таблицы строим график машиноиспользования тракторов, по Возделыванию просо на площади 100 га.
| |||||||||||||||||||||||||||||||||||||||||||||||||||||||||||||||||||||||||||||||||||||||||||||||||||||||||||||||||||||||||||||||||||||
| Ежуров А.А. | КП. 00. 00. 13. | Лист | |||||||||||||||||||||||||||||||||||||||||||||||||||||||||||||||||||||||||||||||||||||||||||||||||||||||||||||||||||||||||||||||||||
| Наумов Н.В. | |||||||||||||||||||||||||||||||||||||||||||||||||||||||||||||||||||||||||||||||||||||||||||||||||||||||||||||||||||||||||||||||||||||
| Изм. | Лист | № докум. | Поди. | Дата | |||||||||||||||||||||||||||||||||||||||||||||||||||||||||||||||||||||||||||||||||||||||||||||||||||||||||||||||||||||||||||||||||
3.4 Расчет потребности в тракторах и сельскохозяйственных машинах.
Количество тракторов, необходимое для выполнения операций по возделыванию просо на площади 100га, определяем делением планируемого объема работ на объем работ выполняемый одним агрегатом за агросрок.
Необходимое количество сельхозмашин определяем умножением числа необходимых агрегатов (тракторов) на количество машин в агрегате.
, количество тракторов, шт. (1)
где V- выполняемый объём работ, га;
Wаг - производительность агрегата за агросрок, га.
, количество машин, шт. (2)
где n-количество машин в агрегате, шт.
1.Лущение стерни:
шт.; шт.
2. Вспашка зяби:
шт.; шт.
3.Снегозадержание:
шт.; шт.
4.Весенне боронование:
шт.; шт.
5.Предпосевная культивация:
шт.; шт.
6.Погрузка минеральных удобрений:
шт.; шт.
7.Транспортировка удобрений:
шт.; шт.
8.Погрузка семян:
шт.; шт.
| |||||||||||||||||||||||||||||||||||||||||||||||||||||||||||||||||||||||||||||||||||||||||||||||||||||||||||||||||||||||||||||||||||||
| Ежуров А.А. | КП. 00. 00. 13. | Лист | |||||||||||||||||||||||||||||||||||||||||||||||||||||||||||||||||||||||||||||||||||||||||||||||||||||||||||||||||||||||||||||||||||
| Наумов Н.В. | |||||||||||||||||||||||||||||||||||||||||||||||||||||||||||||||||||||||||||||||||||||||||||||||||||||||||||||||||||||||||||||||||||||
| Изм. | Лист | № докум. | Поди. | Дата | |||||||||||||||||||||||||||||||||||||||||||||||||||||||||||||||||||||||||||||||||||||||||||||||||||||||||||||||||||||||||||||||||
9.Транспортировка семян:
шт.; шт.
10.Сев с удобрением:
шт.; шт.
11.Прикатывание:
шт.; шт.
12.Уборка напрямую:
шт.; шт.
3.5.Расчёт потребности в топливе и смазочных материалов.
Расход топлива на 1 га обрабатываемой за смену площади определяют по формуле:
, кг/га. (3)
где, Gсм- расход топлива за смену, кг;
Wсм- производительность агрегата, га.
Расход топлива за смену определяют по формуле: , кг. (4)
где, Gр, Gх, Gо- среднечасовые расходы топлива при рабочем, холостом движении и при остановках;
Тр, Тх, Тхд- время рабочего, холостого движения и холостого хода двигателя.
Расход топлива за смену можно рассчитать и по следующей формуле , кг. (5)
где, q- удельный расход топлива, г/л.с.ч;
P- мощность двигателя, л.с.;
Тсм – время смены, ч.
Рассчитываем количество топлива для трактора ДТ-75 на выполняемые им операции:
q=200г/л.с.ч.; P=90 л.с.
1. Лущение стерни. Тсм=10 ч.; Wсм=37 га.
Расход топлива навесь объём работ:
,
где, А- объём работы, га.
| |||||||||||||||||||||||||||||||||||||||||||||||||||||||||||||||||||||||||||||||||||||||||||||||||||||||||||||||||||||||||||||||||||||
| Ежуров А.А. | КП. 00. 00. 13. | Лист | |||||||||||||||||||||||||||||||||||||||||||||||||||||||||||||||||||||||||||||||||||||||||||||||||||||||||||||||||||||||||||||||||||
| Наумов Н.В. | |||||||||||||||||||||||||||||||||||||||||||||||||||||||||||||||||||||||||||||||||||||||||||||||||||||||||||||||||||||||||||||||||||||
| Изм. | Лист | № докум. | Поди. | Дата | |||||||||||||||||||||||||||||||||||||||||||||||||||||||||||||||||||||||||||||||||||||||||||||||||||||||||||||||||||||||||||||||||
2.Снегозадержание. Wсм=50 га.
3.Весенее боронование. Wсм=80 га.
4.Сев с удобрением: Wсм=39 га.
Определяем общий расход топлива для трактора ДТ-75 по всем операциям.
QДТ-75=Qлущ.+Qснегозадерж..+ Qборонов..+ Qсев. =980+360+230+460=2030 кг.
Рассчитываем количество топлива для трактора Т-150К на выполняемые им операции:
q=300г/л.с.ч.; P-150 л.с.
1.Культивация. Wсм=53га
2. Вспашка зяби. Wсм=10 га.
Определяем общий расход топлива для трактора Т-150К по всем операциям.
QТ-150К=850+4500=5350 кг.
| |||||||||||||||||||||||||||||||||||||||||||||||||||||||||||||||||||||||||||||||||||||||||||||||||||||||||||||||||||||||||||||||||||||
| Ежуров А.А. | КП. 00. 00. 13. | Лист | |||||||||||||||||||||||||||||||||||||||||||||||||||||||||||||||||||||||||||||||||||||||||||||||||||||||||||||||||||||||||||||||||||
| Наумов Н.В. | |||||||||||||||||||||||||||||||||||||||||||||||||||||||||||||||||||||||||||||||||||||||||||||||||||||||||||||||||||||||||||||||||||||
| Изм. | Лист | № докум. | Поди. | Дата | |||||||||||||||||||||||||||||||||||||||||||||||||||||||||||||||||||||||||||||||||||||||||||||||||||||||||||||||||||||||||||||||||
Рассчитываем количество топлива на трактор МТЗ-80.
1. Прикатывание. q=148 г/л.с.ч. P=80 л.с.
2.Погрузка минеральных удобрений.
3.Погрузка семян
Определяем общее количество топлива израсходованное трактором МТЗ-80.
QМТЗ-80=Qприк.+Qпогр.+Qпогр =170+118+114=402 кг
Рассчитываем необходимое количество топлива для комбайна СК-5 «Нива».
q=200 г/л.с.ч. P=100 л.с. Тсм=8 ч.
1.Уборка на прямую.
Определяем общее количество топлива израсходованное комбайном СК-5.
QСК-5= 1600 кг.
| |||||||||||||||||||||||||||||||||||||||||||||||||||||||||||||||||||||||||||||||||||||||||||||||||||||||||||||||||||||||||||||||||||||
| Ежуров А.А. | КП. 00. 00. 13. | Лист | |||||||||||||||||||||||||||||||||||||||||||||||||||||||||||||||||||||||||||||||||||||||||||||||||||||||||||||||||||||||||||||||||||
| Наумов Н.В. | |||||||||||||||||||||||||||||||||||||||||||||||||||||||||||||||||||||||||||||||||||||||||||||||||||||||||||||||||||||||||||||||||||||
| Изм. | Лист | № докум. | Поди. | Дата | |||||||||||||||||||||||||||||||||||||||||||||||||||||||||||||||||||||||||||||||||||||||||||||||||||||||||||||||||||||||||||||||||
|
Расчёт смазочных материалов. Необходимые смазочные материалы и топливо для пускового двигателя устанавливают в процентном отношении к расходу дизельного топлива. Из смазочных материалов, применяемых в тараторах и комбайнах, больше всего расходуется дизельное масло. Его расход определяется по формуле:
Где, V- ёмкость картера двигателя;
tч- срок службы масла, ч.; Vд- количество доливаемого масла литров в час; tд- период времени через которые производится доливка масла, ч.; GТ- часовой расход основного топлива, кг/ч. Существуют примерные нормы расхода смазочных материалов и пускового топлива к расходу основного топлива в процентном отношении, приведённое в таблице № 11. Таблица 11.
По данным этой таблицы определяем необходимое количество смазочных материалов и пускового топлива. 1. Т-150К Qдиз. масла=QТ-150К * 0, 048=5350*0, 049=262, 15 кг Qавтола=5350*0, 003=16, 05 кг Qтранс.масла=5350*0, 001=5, 35 кг Qсолидол=5350*0, 001=5, 35 кг Qпуск. бенз.=5350*0, 01=53, 5 кг 2. ДТ-75 Qдиз. масла=QДТ-75*0, 053=5080*0, 053=269 кг Qавтола=5080*0, 003=15, 2 кг Qтранс. масла=5080*0, 01=50, 8 кг Qсолидол=5080*0, 006=30, 5 кг Qпуск. бенз.=5080*0, 01=50, 8 кг
| |||||||||||||||||||||||||||||||||||||||||||||||||||||||||||||||||||||||||||||||||||||||||||||||||||||||||||||||||||||||||||||||||||||
| Ежуров А.А. | КП. 00. 00. 13. | Лист | |||||||||||||||||||||||||||||||||||||||||||||||||||||||||||||||||||||||||||||||||||||||||||||||||||||||||||||||||||||||||||||||||||
| Наумов Н.В. | |||||||||||||||||||||||||||||||||||||||||||||||||||||||||||||||||||||||||||||||||||||||||||||||||||||||||||||||||||||||||||||||||||||
| Изм. | Лист | № докум. | Поди. | Дата | |||||||||||||||||||||||||||||||||||||||||||||||||||||||||||||||||||||||||||||||||||||||||||||||||||||||||||||||||||||||||||||||||
| 3. МТЗ-80 Qдиз. масла=QМТЗ-80*0, 048=402*0, 048=19, 2 кг Qавтола=402*0, 003=1, 2 кг Qтранс. масла=402*0, 001=0, 4 кг Qсолидол=402*0, 005=2 кг Qпуск. бенз.=402*0, 01=4 кг 4. СК-5 «Нива» Qдиз. масла=QСК-5*0, 049=1600*0, 049=78, 4 кг Qавтола=1600*0, 003=4, 8 кг Qтранс. масла=1600*0, 008=12, 8 кг Qсолидол=1600*0, 008=12, 8 кг Qпуск. бенз.=1600*0, 01=16 кг | |||||||||||||||||||||||||||||||||||||||||||||||||||||||||||||||||||||||||||||||||||||||||||||||||||||||||||||||||||||||||||||||||||||
| Ежуров А.А. | КП. 00. 00. 13. | Лист | |||||||||||||||||||||||||||||||||||||||||||||||||||||||||||||||||||||||||||||||||||||||||||||||||||||||||||||||||||||||||||||||||||
| Наумов Н.В. | |||||||||||||||||||||||||||||||||||||||||||||||||||||||||||||||||||||||||||||||||||||||||||||||||||||||||||||||||||||||||||||||||||||
| Изм. | Лист | № докум. | Поди. | Дата | |||||||||||||||||||||||||||||||||||||||||||||||||||||||||||||||||||||||||||||||||||||||||||||||||||||||||||||||||||||||||||||||||
3.6. Расчет показателей машиноиспользования.
Применяют 6 групп показателей. Рассчитаем основные.
1. Показатели оснащенности хозяйства техникой.
Нагрузка пашни на 1 условный трактор а) энергонасыщенность полеводства:
,
где эффетивная мощность всех энергетических средств, применяемым в полеводстве, кВт; Fn- общая пахотная площадь, га.
= = 0, 498 квт./га
б)энерговооруженность труда ,
где Hp - общее число работников хозяйства в полеводстве.
= = 50 квт./ чел.
в) нагрузка пашни на 1 условный трактор га/у.т.;
где, nу.t.-количество условных тракторов в полеводстве;
В ra = — = 186 ra/ у.т.
2. Показатели уровня механизации
где F мех- площадь, охватываемая механизацией;
F общ. - общая площадь выполняемых работ
F мех. = = 0, 91
3) характеристика МТП
а) энергонасыщенность парка машин Эм = ,
где m- масса всех тракторов парка.
Эм = — = 18, 9 квт/т
б) металлоемкость парка Эм = = = 0, 054 т/кВт
| |||||||||||||||||||||||||||||||||||||||||||||||||||||||||||||||||||||||||||||||||||||||||||||||||||||||||||||||||||||||||||||||||||||
| Ежуров А.А. | КП. 00. 00. 13. | Лист | |||||||||||||||||||||||||||||||||||||||||||||||||||||||||||||||||||||||||||||||||||||||||||||||||||||||||||||||||||||||||||||||||||
| Наумов Н.В. | |||||||||||||||||||||||||||||||||||||||||||||||||||||||||||||||||||||||||||||||||||||||||||||||||||||||||||||||||||||||||||||||||||||
| Изм. | Лист | № докум. | Поди. | Дата | |||||||||||||||||||||||||||||||||||||||||||||||||||||||||||||||||||||||||||||||||||||||||||||||||||||||||||||||||||||||||||||||||
Урожайность по видам культур Таблица 2
Валовый сбор по культурам Таблица 3
Себестоимость продукции растениеводства Таблица 4
| |||||||||||||||||||||||||||||||||||||||||||||||||||||||||||||||||||||||||||||||||||||||||||||||||||||||||||||||||||||||||||||||||||||
| Ежуров А.А. | КП. 00. 00. 13. | Лист | |||||||||||||||||||||||||||||||||||||||||||||||||||||||||||||||||||||||||||||||||||||||||||||||||||||||||||||||||||||||||||||||||||
| Наумов Н.В. | |||||||||||||||||||||||||||||||||||||||||||||||||||||||||||||||||||||||||||||||||||||||||||||||||||||||||||||||||||||||||||||||||||||
| Изм. | Лист | № докум. | Поди. | Дата | |||||||||||||||||||||||||||||||||||||||||||||||||||||||||||||||||||||||||||||||||||||||||||||||||||||||||||||||||||||||||||||||||
4. Технологическая часть.
4.1. Агротехнические требования к выполнению заданной операции.
Вспашка зяби, глубина обработки почвы лемешным отвальным плугом общего назначения должна достигать 20-25см с оборотом пласта, а на почвах с меньшей плотностью плодородного слоя – полной его глубины с постепенным углублением пахотного слоя, почвы углубляют при повторных основных обработках. Глубина пахоты должна быть равномерной по всему полю. Отклонение средней глубины от заданной, на выровненных полях, допускается +- 1см, на новых участках +- 2см. При вспашке обеспечивать полный оборот пласта и заделки стерни сорных растений и удобрений.
4.2. Выбор, обоснование и расчет состава агрегата.Выбираем марку трактора Т-150К, агрегат плуга ПН-6-35.
Вспашка. Интервалы рабочей скорости 4, 5 – 12км/ч.
Диапазон скоростей будет соответствовать 3, 4, 5 передачи трактора Т-150К.
Нормальное тяговое усилие на данных передачах и силу тяжести трактора.
Крюковая: Рнкр3=32, 2кН; Рнкр4=29, 1кН; Рнкр5=26, 6кН
Вес трактора Gмт=73кН.
1. Так как участок имеет подъем вносимый в значение Рнкр, подъем i=0, 05
(11)
2. Так тяговый агрегат прицепной, то дальше расчёт ведём в следующей последовательности:
а) тяговое сопротивление (кН) на один плужный корпус:
(12)
где, h=0, 25м- глубина вспашки;
bкр.=0, 35м- ширина захвата одного корпуса;
Кпл.=65кН/м2- удельное сопротивление почвы;
gкор.- вес плуга, приходящий на один плужный корпус (кН), т.е;
(13)
где, nкор.- число корпусов данной марки плуга, принятого для агрегатирования;
с- поправочный коэффициент, учитывающий вес почвы на корпус плуга при h=0, 22 – 0, 25 метров он равен 1, 2. Тогда:
| |||||||||||||||||||||||||||||||||||||||||||||||||||||||||||||||||||||||||||||||||||||||||||||||||||||||||||||||||||||||||||||||||||||
| Ежуров А.А. | КП. 00. 00. 13. | Лист | |||||||||||||||||||||||||||||||||||||||||||||||||||||||||||||||||||||||||||||||||||||||||||||||||||||||||||||||||||||||||||||||||||
| Наумов Н.В. | |||||||||||||||||||||||||||||||||||||||||||||||||||||||||||||||||||||||||||||||||||||||||||||||||||||||||||||||||||||||||||||||||||||
| Изм. | Лист | № докум. | Поди. | Дата | |||||||||||||||||||||||||||||||||||||||||||||||||||||||||||||||||||||||||||||||||||||||||||||||||||||||||||||||||||||||||||||||||
б) число плужных корпусов, которые нормально загрузятся трактором на выбранной передаче:
, (14)
где, ЕР=0, 9 – коэффициент использования тяговой силы;
принимаем nкор.3=6 шт.
принимаем nкор.4=5шт.
принимаем nкор.5=4шт.
Число корпусов плуга округляем до целого количества в сторону уменьшения с целью создания запаса тягового усилия трактора.
в) значение тягового сопротивления плуга на принятых передачах:
(15)
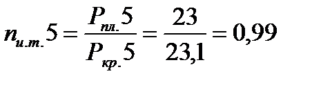
Определяем коэффициент использования тягового усилия трактора на данных передачах:
(16)
На вспашке тяжёлых почв коэффициент nи.т. должен находится в пределах 0, 88 -0, 90.
| |||||||||||||||||||||||||||||||||||||||||||||||||||||||||||||||||||||||||||||||||||||||||||||||||||||||||||||||||||||||||||||||||||||
| Ежуров А.А. | КП. 00. 00. 13. | Лист | |||||||||||||||||||||||||||||||||||||||||||||||||||||||||||||||||||||||||||||||||||||||||||||||||||||||||||||||||||||||||||||||||||
| Наумов Н.В. | |||||||||||||||||||||||||||||||||||||||||||||||||||||||||||||||||||||||||||||||||||||||||||||||||||||||||||||||||||||||||||||||||||||
| Изм. | Лист | № докум. | Поди. | Дата | |||||||||||||||||||||||||||||||||||||||||||||||||||||||||||||||||||||||||||||||||||||||||||||||||||||||||||||||||||||||||||||||||
Находим часовую техническую производительность рассчитанного агрегата на данных передачах по формуле:
(17)
где, Вр=2, 1м, ширина захвата агрегата;
Vр=12км/ч, рабочая скорость движения трактора;
=0, 81- коэффициент использования времени смены при длине гона Lр=2000м.
Рабочая скорость движения трактора с учётом подъёма поля находим по формуле:
(18)
где, Vт- скорость движения трактора на разных передачах:
Vт3=9, 72км/ч;
Vт4=10, 62км/ч;
Vт5=11, 4км/ч.
Вывод: в заданных условиях, тягового усилия трактора наиболее используется при работе на Vт3 и Vт4 передачи, скорости Vт3=9, 72 км/ч, Vт4 =10, 62 км/ч, так как производительность при этом выше.
Расчет операционно-технической карты на вспашке зяби.
1. Находим производительность круга
(19)
где, L- длина загона, м;
Вр- ширина захвата агрегата, м;
2. Находим время затрачиваемое на круг:
(20)
где, Vр.ср.=10км/ч – средняя скорость между 3-ей и 4-ой передачами;
0, 03ч – время разворота агрегата на поворотных полосах.
3. Находим количество кругов:
| |||||||||||||||||||||||||||||||||||||||||||||||||||||||||||||||||||||||||||||||||||||||||||||||||||||||||||||||||||||||||||||||||||||
| Ежуров А.А.. | КП. 00. 00. 13. | Лист | |||||||||||||||||||||||||||||||||||||||||||||||||||||||||||||||||||||||||||||||||||||||||||||||||||||||||||||||||||||||||||||||||||
| Наумов Н.В. | |||||||||||||||||||||||||||||||||||||||||||||||||||||||||||||||||||||||||||||||||||||||||||||||||||||||||||||||||||||||||||||||||||||
| Изм. | Лист | № докум. | Поди. | Дата | |||||||||||||||||||||||||||||||||||||||||||||||||||||||||||||||||||||||||||||||||||||||||||||||||||||||||||||||||||||||||||||||||
(21)
где, Тр – рабочее время смены.
(22)
где, Тсм. – время смены;
=0, 7-0, 8 коэффициент использования времени смены.
;
Чтобы графически изобразить элементы рабочего дня агрегата на вспашке зяби, надо записывать баланс времени смен и найти все значения.
4. Тсм=Тр+Тх+Ттел+Тпер+Тфиз, (23)
где, Тр – рабочее время, Тр=Тсм*Т=5, 6=5 часов 35 мин.
Тх – время на холостые повороты, Тх=0, 32=18мин.
Ттех – время проведения техухода, Ттех=0, 3=14мин.
Тфиз – время на физические потребности, Тфиз=0, 06*Тсм=0, 06*8=0, 48=0, 5=30мин.
Тпер – время на переезд агрегата от загона и обратно.
Тпер=Тсм –Тр –Ттех –Тобед –Тфиз=8-5, 4-0, 3-1-0, 5=0, 5ч=30мин=8ч6мин.
5. Производительность агрегата за час чистой работы.
(24)
где, Вр – рабочий захват агрегата.
Vср – средняя скорость агрегата между 3 и 4 передачами.
Vср=10км/ч.
- коэффициент использования времени смен.
=0, 1*2, 1*10*0, 8=16га/ч
Вывод: из расчета видно, что агрегат пахоты Т-150 с плугом ППН-6-35 должен работать на 3 передаче, скорости 9, 7км/ч и 4 передаче 10, 6км/ч, берут среднее значение между 3 и 4 передачей – 10км/ч.
4.3. Подготовка агрегата к работе.
При подготовке тракторов Т-150, Т-150К следует иметь в виду, что для работы с навесными плугами их механизм навески должен быть также установлен на двухточечной схеме. Точки соединения механизма навески с трактором смещают вправо относительно оси симметрии трактора в зависимости от количества корпусов на плуге.
При агрегатировании трактора Т-150 с шестикорпусным плугом ПЛП-6-35 нижние головки продольных тяг устанавливают по оси симметрии трактора, а при навешивании четырех и пятикорпусных плугов их смещают на 6см вправо. Присоединительный треугольник на плугах в этом случае смещают на 4, 5см влево.
Поскольку колесный трактор Т-150К шире гусеничного, то для качественной вспашки теми же плугами нижние головки продольных тяг смещают на большую величину. Для работы с плугом ПЛП-6-35 головки смещают вправо на 6см, при
| |||||||||||||||||||||||||||||||||||||||||||||||||||||||||||||||||||||||||||||||||||||||||||||||||||||||||||||||||||||||||||||||||||||
| Ежуров А.А. | КП. 00. 00. 13. | Лист | |||||||||||||||||||||||||||||||||||||||||||||||||||||||||||||||||||||||||||||||||||||||||||||||||||||||||||||||||||||||||||||||||||
| Наумов Н.В. | |||||||||||||||||||||||||||||||||||||||||||||||||||||||||||||||||||||||||||||||||||||||||||||||||||||||||||||||||||||||||||||||||||||
| Изм. | Лист | № докум. | Поди. | Дата | |||||||||||||||||||||||||||||||||||||||||||||||||||||||||||||||||||||||||||||||||||||||||||||||||||||||||||||||||||||||||||||||||
| работе с четырех- и пятикорпусными плугами – на 15см, т.е. до конца вправо. Присоединительный треугольник плуга устанавливают в крайнее левое положение по ходу орудия. После проверки и подготовки трактора его подают задним ходом к плугу, вынимают фиксирующие пальцы из продольных тяг механизма навески трактора, надевают шаровые шарниры на пальцы навески плуга, фиксируют продольные тяги и закрепляют раскосы пальцами. Подготовка к работе включает проверку геометрической схемы, правильность сборки и техническое состояние плуга, расстановку рабочих органов на плуге, настройку агрегата на заданные условия пахоты. 4.4. Подготовка поля, выбор и обоснование способа движения МТА. Для высокого качества выполнения полевых работ и повышения производительности труда большое значение имеет подготовка полей к работе машинно-тракторных агрегатов, которая складывается из следующих операций: осмотр поля и устранение помех (уборка соломы, камней, засыпка ям и др.); выбор способа и направления движения агрегата; отбивка поворотных полос, нарезка контрольных борозд или установка вешек; разбивка участка на загоны и провешивание линий первого прохода агрегата. Поворотные полосы. При гоновом и диагональном способах движения на концах загонов необходимо оставлять поворотные полосы для холостых проходов агрегата (если нет свободного выезда за пределы поля). Для облегчения обработки поворотной полосы ее ширина должна быть кратна ширине захвата агрегата, чтобы не делать рабочих ходов с неполным захватом или дополнительных холостых ходов. Если участок имеет неправильную форму, то загоны и поворотные полосы размечают в виде прямоугольника или трапеции, чтобы неправильная форма отражалась только на длине загона. Ширина загона. Каждой длине загона, для данного состава агрегата, соответствует своя оптимальная ширина, при которой коэффициент рабочих ходов, а следовательно, и производительность агрегата имеют наибольшее значение. Желательно, чтобы площадь загона соответствовала дневной производительности агрегата. Для того чтобы не увеличить число холостых проходов агрегата на заделку огрехов, разметка поля на загоны должна быть точной. При ширине поля больше 250…300м направление вспашки ежегодно изменяют (вдоль и поперек). На склонах загоны располагают поперек для борьбы с водной эрозией почвы. Загоны размечают линиями, которые фиксируются вешками высотой около 2м. их ставят на таком расстоянии, чтобы каждая последующая вешка была видна от предыдущей. Для отбивки прямых углов, при разметке загонов, используют экер или деревянный угольник. Для работы скоростных агрегатов поле должно быть хорошо выровнено, с минимальными развальными бороздами и свальными гребнями. Вспаханное поле выравнивают боронами, культиваторами и катками. | |||||||||||||||||||||||||||||||||||||||||||||||||||||||||||||||||||||||||||||||||||||||||||||||||||||||||||||||||||||||||||||||||||||
| Ежуров А.А. | КП. 00. 00. 13. | Лист | |||||||||||||||||||||||||||||||||||||||||||||||||||||||||||||||||||||||||||||||||||||||||||||||||||||||||||||||||||||||||||||||||||
| Наумов Н.В. | |||||||||||||||||||||||||||||||||||||||||||||||||||||||||||||||||||||||||||||||||||||||||||||||||||||||||||||||||||||||||||||||||||||
| Изм. | Лист | № докум. | Поди. | Дата | |||||||||||||||||||||||||||||||||||||||||||||||||||||||||||||||||||||||||||||||||||||||||||||||||||||||||||||||||||||||||||||||||
При подготовке поля для работы скоростных агрегатов, поворотные полосы увеличивают, так как с ростом скорости движения увеличивается радиус поворота агрегата.
1. Радиус поворота агрегата.
(25)
где, Em- коэффициент пропорциональности;
b- ширина захвата агрегата (м);
nm- число машин в агрегате (шт);
- коэффициент использования конструктивной ширины захвата плуга.
2. Радиус поворота в зависимости от скорости движения агрегата.
(26)
где, КR- коэффициент изменения радиуса поворота в зависимости от скорости движения, т.к. средняя скорость агрегата составляет 10 км/ч, то КR=1, 2, тогда:
3. Ширина поворотной полосы.
(27)
где, L=0, 5*Lа,
Lа=Lmр+LWМ+Lс, (28)
где, Lа, Lmр, LwM, Lc<
|