Студопедия

Главная страница Случайная страница

КАТЕГОРИИ:

АвтомобилиАстрономияБиологияГеографияДом и садДругие языкиДругоеИнформатикаИсторияКультураЛитератураЛогикаМатематикаМедицинаМеталлургияМеханикаОбразованиеОхрана трудаПедагогикаПолитикаПравоПсихологияРелигияРиторикаСоциологияСпортСтроительствоТехнологияТуризмФизикаФилософияФинансыХимияЧерчениеЭкологияЭкономикаЭлектроника






Закон денежного обращения






Закон денежного обращения - экономический закон, определяющий количество денег, необходимых для обращения. Когда масса денег, находящихся в обращении, превышает общую сумму товарных цен, то наступает инфляция, т. е. поскольку деньги не обеспечены товарами, цены растут. Товарно-денежные отношения требуют определенного количества денег для обращения. Закон денежного обращения, открытый К. Марксом, устанавливает количество денег, нужное для выполнения ими функций средства обращения и средства платежа. Количество денег, необходимое для выполнения функции денег как средства обращения, зависит от трех факторов: количества проданных на рынке товаров и услуг (связь прямая); уровня цен товаров и тарифов (связь прямая); скорости обращения денег (связь обратная). Все факторы определяются условиями производства. Чем больше развито общественное разделение труда, тем больше объем продаваемых товаров и услуг на рынке; чем выше уровень производительности труда, тем ниже стоимость товаров и услуг и цены. Количество денег для обращения и платежа определяется следующими условиями: общим объемом обращающихся товаров и услуг (зависимость прямая); уровнем товарных цен и тарифов на услуги (зависимость прямая, поскольку чем выше цены, тем больше требуется денег); степенью развития безналичных расчетов (зависимость обратная); скоростью обращения денег, в том числе кредитных (зависимость обратная). Денежно-кредитное регулирование основывается на следующих принципах: учет значения денег и кредита как важных элементов рыночных отношений, которые осуществляются исходя из представлений о них как социально значимых объектах, охраняемых в качестве важнейшей составной части природы экономических отношений, своеобразном " природном" ресурсе, объекте права собственности и иных прав; сочетание интересов общества и законных интересов участников денежного оборота, согласно которому использование и охрана денег и кредита осуществляется в интересах всего общества при обеспечении гарантий каждого участника денежного оборота на свободное владение, пользование и распоряжение принадлежащими им деньгами и кредитом.

Уравнение обмена (Equationofexchange) – это уравнение, показывающее соотношение количества денег (денежной массы), средней скорости оборота денег, уровня цен и количества произведенных товаров, разработанная американским экономистом Ирвингом Фишером в первой половине XX века.

М · V = P · Q,

где М - количество денег (денежная масса);

V - средняя скорость оборота денег;

Р - уровень цен;

Q - количество произведенных товаров1.

Произведение Р · Q есть номинальный объем выпуска - номинальный ВВП. Отсюда М · V = ВВП и M = ВВП/V, а V = ВВП/M, то есть количество денег прямо пропорционально ВВП и обратно пропорционально скорости оборота денег.

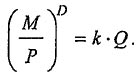
Обозначим величину, обратную скорости оборота денег, буквой " к". Это константа, зависящая не только от скорости оборота денег, но и от темпов инфляции, и от ставки процента. Чем выше темп инфляции, тем ниже реальная ставка процента, тем большую часть дохода население стремится хранить в виде наличности. Поэтому константа " к" показывает долю дохода, которую население стремится в данных условиях хранить в наличной форме, долю номинальных денежных остатков в доходе. Теперь уравнение Фишера преобразуется в кембриджское уравнение:

M = k · P · Q.

Количество денег прямо пропорционально объему выпуска в физическом выражении, уровню цен и доле номинальных денежных остатков в доходе. Изменение каждого из этих параметров требует изменения количества денег. Разделив количество денег на уровень цен, получим соотношение объема выпуска и спроса на реальные деньги:

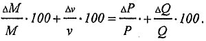
М/Р есть реальные денежные остатки, реальные запасы денежных средств, ликвидных активов. Уравнение обмена И. Фишера можно записать и в темповой записи:

Изменение денежной массы (левая часть уравнения) должно соответствовать годовому темпу инфляции и динамики объема выпуска продукции (правая часть уравнения). Количественная теория денег, как подчеркивает М. Фридмен, есть теория спроса на деньги.

В «Капитале» К. Маркс сформулировал закон денежного обращения следующим образом: количество денег, необходимых для обслуживания обращения товаров прямо пропорционально сумме цен обращающихся товаров и обратно пропорционально скорости оборота денег, как средства обращения.

можно выделить следующие факторы спроса на деньги:

1) уровень дохода;

2) скорость обращения денег;

3) ставка процента.

Под предложением денег обычно понимают денежную массу в обращении, т. е. совокупность платежных средств, обращающихся в стране в данный мо­мент.

Для характеристики денежного предложения применяются различные обобщающие показатели, так называемые денежные агрегаты. К ним обычно относят:

1) Агрегат M-1 — («деньги для сделок») — это показатель, предназначен­ный для измерения объема фактических средств обращения. Он включает наличные деньги (банкноты и разменные монеты) и банковские деньги.

2) Агрегаты М-2 и М-3 включают кроме М-1, денежные средства на сберегательных и срочных счетах, а также депозитные сертификаты. Эти сред­ства не являются деньгами, поскольку их невозможно непосредственно использовать для сделок купли продажи, а их изъятие подчинено определенным условиям, однако они похожи на деньги в двух отношениях: с одной стороны, они могут быть в короткие сроки выброшены на рынок товаров и услуг, с другой — они позволяют осуществлять накопление денег. Не случайно их называют «почти деньгами».

3) Наиболее полным агрегатом денежного предложения является агрегат L. L наряду с М-3 включает прочие ликвидные (легко реализуемые) активы, такие как краткосрочные государственные ценные бумаги. Они называются ликвидными, так как без особых трудностей могут быть превращены в наличность.

Исторически различают семь основных теорий денег.


Поделиться с друзьями:

mylektsii.su - Мои Лекции - 2015-2026 год. (3.778 сек.)Все материалы представленные на сайте исключительно с целью ознакомления читателями и не преследуют коммерческих целей или нарушение авторских прав Пожаловаться на материал