Студопедия

Главная страница Случайная страница

КАТЕГОРИИ:

АвтомобилиАстрономияБиологияГеографияДом и садДругие языкиДругоеИнформатикаИсторияКультураЛитератураЛогикаМатематикаМедицинаМеталлургияМеханикаОбразованиеОхрана трудаПедагогикаПолитикаПравоПсихологияРелигияРиторикаСоциологияСпортСтроительствоТехнологияТуризмФизикаФилософияФинансыХимияЧерчениеЭкологияЭкономикаЭлектроника






Корреляционный анализ






Величины, характеризующие различные свойства объектов, могут быть независимыми или взаимосвязанными. Различают два вида зависимостей между величинами (факторами): функциональную и статистическую.

При функциональной зависимости двух величин значению одной из них обязательно соответствует одно или несколько точно определенных значений другой величины. Функциональная связь двух факторов возможна лишь при условии, что вторая величина зависит только от первой и не зависит ни от каких других величин. Функциональная связь одной величины с множеством других возможна, если эта величина зависит только от этого множества факторов. В реальных ситуациях существует бесконечно большое количество свойств самого объекта и внешней среды, влияющих друг на друга, поэтому такого рода связи не существуют, иначе говоря, функциональные связи являются математическими абстракциями. Их применение допустимо тогда, когда соответствующая величина в основном зависит от соответствующих факторов.

При исследовании многие параметры следует считать случайными, что исключает проявление однозначного соответствия значений. Воздействие общих факторов, наличие объективных закономерностей в поведении объектов приводят лишь к проявлению статистической зависимости. Статистической называют зависимость, при которой изменение одной из величин влечет изменение распределения других (другой), и эти другие величины принимают некоторые значения с определенными вероятностями. Функциональную зависимость в таком случае следует считать частным случаем статистической: значению одного фактора соответствуют значения других факторов с вероятностью, равной единице. Однако на практике такое рассмотрение функциональной связи применения не нашло.

Более важным частным случаем статистической зависимости является корреляционная зависимость, характеризующая взаимосвязь значений одних случайных величин со средним значением других, хотя в каждом отдельном случае любая взаимосвязанная величина может принимать различные значения.

Если же у взаимосвязанных величин вариацию имеет только одна переменная, а другая является детерминированной, то такую связь называют не корреляционной, а регрессионной. Например, при анализе скорости обмена с жесткими дисками можно оценивать регрессию этой характеристики на определенные модели, но не следует говорить о корреляции между моделью и скоростью.

При исследовании зависимости между одной величиной и такими характеристиками другой, как, например, моменты старших порядков (а не среднее значение), то эта связь будет называться статистической, а не корреляционной.

Корреляционная связь описывает следующие виды зависимостей:

причинную зависимость между значениями параметров. Примером такой зависимости является взаимосвязь пропускной способности канала передачи данных и соотношения сигнал/шум (на пропускную способность влияют и другие факторы – характер помех, амплитудно-частотные характеристики канала, способ кодирования сообщений и др.). Установить однозначную связь между конкретными значениями указанных параметров не удается. Но очевидно, что пропускная способность зависит от соотношения уровней сигнала и помех в канале. Иногда при этом причину и следствие особо не выделяют. В некоторых случаях такая корреляция является бессмысленной, например: если в качестве исходного фактора взять доходы разработчиков антивирусных программ, а за результат – количество вновь появляющихся вирусов, то можно сделать вывод, что разработчики антивирусов " стимулируют" создание вирусов;

" зависимость" между следствиями общей причины. Подобная зависимость характерна, в частности, для скорости и безошибочности набора текста оператором (указанные факторы зависят от квалификации оператора).

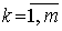
Корреляционная зависимость определяется различными параметрами, среди которых наибольшее распространение получили показатели, характеризующие взаимосвязь двух случайных величин (парные показатели): корреляционный момент, коэффициент корреляции.

Оценка корреляционного момента (коэффициента ковариации) двух вариант xj и xk вычисляется по исходной матрице Х

(2)

Этот показатель неудобен для практического применения, так как имеет размерность, равную произведению размерностей вариант, и по его величине трудно судить о зависимости параметров.

Коэффициент ковариации rjk нормированных случайных величин называют коэффициентом корреляции, его оценка

. (3)

Значение коэффициента корреляции лежит в пределах от –1 до +1. Если случайные величины Uj и Uk независимы, то коэффициент rjk обязательно равен нулю, обратное утверждение неверно. Коэффициент rjk характеризует значимость линейной связи между параметрами:

при r jk =1 значения uij и uik полностью совпадают, т.е. значения параметров принимают одинаковые значения. Иначе говоря, имеет место функциональная зависимость: зная значение одного параметра, можно однозначно указать значение другого параметра;

при r jk = – 1 величины uij и uik принимают противоположные значения. И в этом случае имеет место функциональная зависимость;

при r jk = 0 величины uij и uik практически не связаны друг с другом линейным соотношением. Это не означает отсутствия каких-то других (например, нелинейных) связей между параметрами;

при | r jk | > 0 и | r jk | < 1 однозначной линейной связи величин uij и uik нет. И чем меньше абсолютная величина коэффициента корреляции, тем в меньшей степени по значениям одного параметра можно предсказать значение другого.

Используя понятие коэффициента корреляции, матрице ЭД можно поставить в соответствие квадратную матрицу оценок коэффициентов корреляции (корреляционную матрицу)

(4)

К числу характерных свойств корреляционной матрицы относят: симметричность относительно главной диагонали, r jk =r kj, ; единичные значения элементов главной диагонали, r kk =1 (r kk соответствует дисперсии стандартизованного параметра uk), .

Оценка коэффициента корреляции, вычисленная по ограниченной выборке, практически всегда отличается от нуля. Но из этого еще не следует, что коэффициент корреляции генеральной совокупности также отличен от нуля. Требуется оценить значимость выборочной величины коэффициента или, в соответствии с постановкой задач проверки статистических гипотез, проверить гипотезу о равенстве нулю коэффициента корреляции. Если гипотеза Н 0 о равенстве нулю коэффициента корреляции будет отвергнута, то выборочный коэффициент значим, а соответствующие величины связаны линейным соотношением. Если гипотеза Н 0 будет принята, то оценка коэффициента не значима, и величины линейно не связаны друг с другом (если по физическим соображениям факторы могут быть связаны, то лучше говорить о том, что по имеющимся ЭД эта взаимосвязь не установлена). Проверка гипотезы о значимости оценки коэффициента корреляции требует знания распределения этой случайной величины. Распределение величины r ik изучено только для частного случая, когда случайные величины Uj и Uk распределены по нормальному закону.

В качестве критерия проверки нулевой гипотезы Н 0 применяют случайную величину . Если модуль коэффициента корреляции относительно далек от единицы, то величина t при справедливости нулевой гипотезы распределена по закону Стьюдента с n – 2 степенями свободы. Конкурирующая гипотеза Н 1 соответствует утверждению, что значение r ik не равно нулю (больше или меньше нуля). Поэтому критическая область двусторонняя.

Проверка гипотезы Н 0 о равенстве нулю генерального коэффициента парной корреляции двумерной нормально распределенной случайной величины осуществляется в следующей последовательности:

вычисляется значение статистики t;

при уровне значимости a для двусторонней области определяется критическая точка распределения Стьюдента t кр(n –2; a), табл. П.4;

сравнивается значение статистики t с критическим значением t кр(n –2; a). Если t < t кр (п –2; a), то нет оснований отвергнуть нулевую гипотезу, иначе гипотеза Н 0 отвергается (коэффициент корреляции значим).

Когда модуль величины r ik близок к единице, распределение r ik отличается от распределения Стьюдента, так как значение |r ik | ограничено справа единицей. В этом случае применяют преобразование yik =0, 5ln[(1+|r ik |)/(1–|r ik |)]. Величина yik не имеет указанного ограничения, она при п > 10 распределена приблизительно нормально с центром m 1(r ik)=0, 5ln[(1+|r ik |)/(1–|r ik |)]+0, 5|r ik |/(n –1) и дисперсией m 2(r ik)=s 2(r ik)=1/(п –3). Если значение центрированной и нормированной величины (yik –m 1(r ik))/s (r ik) превышает значение квантили уровня 1–a /2 нормального распределения стандартизованной величины, то нулевая гипотеза отвергается.

Таким образом, постановка задачи линейного корреляционного анализа формулируется в следующем виде.

Имеется матрица наблюдений вида (1).

Необходимо определить оценки коэффициентов корреляции для всех или только для заданных пар параметров и оценить их значимость. Незначимые оценки приравниваются к нулю.

Допущения:

выборка имеет достаточный объем. Понятие достаточного объема зависит от целей анализа, требуемой точности и надежности оценки коэффициентов корреляции, от количества факторов. Минимально допустимым считается объем, когда количество наблюдений не менее чем в 5–6 раз превосходит количество факторов;

выборки по каждому фактору являются однородными. Это допущение обеспечивает несмещенную оценку средних величин;

матрица наблюдений не содержит пропусков.

Если необходима проверка значимости оценки коэффициента корреляции, то требуется соблюдение дополнительного условия – распределение вариант должно подчиняться нормальному закону.

Задача анализа решается в несколько этапов:

проводится стандартизация исходной матрицы;

вычисляются парные оценки коэффициентов корреляции;

проверяется значимость оценок коэффициентов корреляции, незначимые оценки приравниваются к нулю. По результатам проверки делается вывод о наличии связей между вариантами (факторами).

Пример 1. Результаты наблюдений за характеристиками канала представлены в табл. 1.

Таблица 1

№ пп Пропускная способность канала, кбит/с Соотношение сигнал/шум, Остаточное затухание, дБ, на частоте, Гц
дБ      
Х 1 X 2 X 3 X 4 X 5
  26, 37 41, 98 17, 66 16, 05 22, 85
  28, 00 43, 83 17, 15 15, 47 23, 25
  27, 83 42, 83 15, 38 17, 59 24, 55
  31, 67 47, 28 18, 39 16, 92 26, 59
  23, 50 38, 75 18, 32 15, 66 26, 22
  21, 04 35, 12 17, 81 17, 00 27, 52
  16, 94 32, 07 21, 42 16, 77 25, 76
  37, 56 54, 25 26, 42 15, 68 23, 10
  18, 84 32, 70 17, 23 15, 92 23, 41
  25, 77 40, 51 30, 43 15, 29 25, 17
  33, 52 49, 78 21, 71 15, 61 25, 39
  28, 21 43, 84 28, 33 15, 70 24, 56
  28, 76 44, 03 30, 42 16, 87 24, 45
  24, 60 39, 46 21, 66 15, 25 23, 81
  24, 51 38, 78 25, 77 16, 05 24, 48

Необходимо определить наличие линейных корреляционных связей между пропускной способностью и остальными факторами. Предполагается, что выборки по всем вариантам подчиняются нормальному закону. Проверку гипотезы о значимости оценок коэффициентов корреляции произвести с уровнем значимости a, равным 0, 1.

Решение. Стандартизация исходной матрицы начинается с вычисления выборочной средней m 1, несмещенной оценки дисперсии m 2 и среднеквадратического отклонения s по каждой варианте, табл. 2.

Оценка параметра распределения Варианта
Х 1 X 2 X 3 X 4 X 5
m 1 26, 47 41, 68 21, 87 16, 12 24, 74
m 2 29, 10 36, 47 26, 37 0, 52 1, 88
s 5, 39 6, 04 5, 13 0, 72 1, 37

В результате перехода к величинам формируется стандартизованная матрица исходных данных, табл. 3.

Таблица 3

№ пп Пропускная способность Соотношение сигнал/шум, Остаточное затухание, дБ на частоте, Гц
канала, кбит/с дБ      
U 1 U 2 U 3 U 4 U 5
  –0, 02 0, 05 –0, 82 –0, 10 –1, 38
  0, 28 0, 36 –0, 92 –0, 90 –1, 09
  0, 25 0, 19 –1, 26 2, 03 –0, 14
  0, 96 0, 93 –0, 68 1, 10 1, 35
  –0, 55 –0, 49 –0, 69 –0, 64 1, 08
  –1, 01 –1, 09 –0, 79 1, 21 2, 03
  –1, 77 –1, 59 –0, 09 0, 90 0, 74
  2, 06 2, 08 0, 89 –0, 61 –1, 20
  –1, 42 –1, 49 –0, 90 –0, 28 –0, 97
  –0, 13 –0, 19 1, 67 –1, 15 0, 31
  1, 31 1, 34 –0, 03 –0, 71 0, 47
  0, 32 0, 36 1, 26 –0, 58 –0, 13
  0, 42 0, 39 1, 66 1, 03 –0, 21
  –0, 35 –0, 37 –0, 04 –1, 21 –0, 68
  –0, 36 –0, 48 0, 76 –0, 10 –0, 19

Оценки коэффициентов корреляции (k = 2, 3, 4) представлены в табл. 4. В этой же таблице приведены значения статистик критерия Стьюдента для вычисленных оценок коэффициентов корреляции при п = 15.

Таблица 4

  X 2 X 3 X 4 X 5
r 1 j 0, 93 0, 25 – 0, 13 – 0, 22
t 9, 12 0, 93 0, 47 0, 81

Критическое значение t кр (n –2; a) = t кр (13; 0, 1) = 1, 77. Статистика критерия больше критического значения только для r 12. Это означает, что только для указанного коэффициента оценка значима (коэффициент корреляции генеральной совокупности не равен нулю), а остальные коэффициенты следует признать равными нулю.

Корреляционная зависимость не обязательно устанавливается только для двух величин, с ее помощью можно анализировать связи между несколькими вариантами (множественная корреляция). А кроме линейной существуют и другие виды корреляции.


Поделиться с друзьями:

mylektsii.su - Мои Лекции - 2015-2026 год. (2.692 сек.)Все материалы представленные на сайте исключительно с целью ознакомления читателями и не преследуют коммерческих целей или нарушение авторских прав Пожаловаться на материал