Студопедия

Главная страница Случайная страница

КАТЕГОРИИ:

АвтомобилиАстрономияБиологияГеографияДом и садДругие языкиДругоеИнформатикаИсторияКультураЛитератураЛогикаМатематикаМедицинаМеталлургияМеханикаОбразованиеОхрана трудаПедагогикаПолитикаПравоПсихологияРелигияРиторикаСоциологияСпортСтроительствоТехнологияТуризмФизикаФилософияФинансыХимияЧерчениеЭкологияЭкономикаЭлектроника






Коефіцієнт дифузії та його залежність від температури та ступеню полімерізації розплаву






Пам’ятаючи вказане ми можемо виділити 3 ситуаційні моделі і 3 види коефіцієнтів дифузії:

1) Коефіцієнт слідової (tracer) дифузії (або самодифузії), в якому перенесена маса і потік заряду, який пов’язаний з дифузіє достатньо малі і можуть бути безпечно проігноровані. Там можливо немає значного ухилу концентрації. Ця ситуація характерна для дифузії радіоактивних ізотопів, коли ми не спостерігаємо суттєвої зміни концентрацій і хімічного потенціалу. Ця ситуація є найпростішою, і саме її ми вивчали досі. Ряд дослідників (П.Хендерсон, 1982) виділяють окремо коефіцієнт ізотопної дифузії і коефіцієнт власної дифузії хоча чисельно вони майже не відрізняються. Коефіцієнт ізотопної дифузії застосовується тоді коли в системі існують виключно ізотопні градієнти (Fe55 в системі 55Fe2SiO4-56Fe2SiO4). Коефіцієнт власної дифузії застосовують при відсутності і хімічних і ізотопних градієнтів, тобто відсутності результуючого потоку маси через заданий перетин.

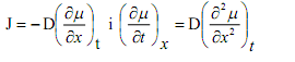
2) Коефіцієнт хімічної дифузії застосовується в неідеальних ситуаціях, де слід вивчати скоріше хімічний потенціал ніж концентрацію. В такому випадку, закони Фіка можуть бути переписані у вигляді:

3.) Коефіцієнт перехресної дифузії (interdiffusion) застосовується в тих ситуаціях, у яких градієнт концентрації настільки великий, що дифузія, задля підтримання електричної нейтральності і постійного об’єму, повинна супроводжуватись дифузією інших речовин у протилежному напрямку. Тобто дифузія однієї речовини пов’язана з дифузією всіх інших речовин. Наприклад, при вивченні дифузії Mg в олівіні (приклад 5.6), слід розглядати також зустрічну дифузію Fe.

 

2.Умови генерації магматогенних флюїдів та їх значення для формування рудних родовищ

 

 

Основываясь на изучении флюидных и расплавных включений в минералах магматических пород и связанных с ними рудно-метасоматических образованиях, а также на данных экспериментальных исследований процессов отделения магматических флюидов от расплавов, рассмотрены возможные варианты эволюции фазового состава магматогенных флюидов, отделяющихся от гранитоидных и бази-товых расплавов на разных уровнях их глубинности. Выявлены три типа различных по составу и фазовому состоянию флюидов, которые характеризуются разной металлоносностью: 1) гомогенные надкритические; 2) гетерофазные „окисленные" и „восстановленные"; 3) „сухие" существенно газовые флюиды. Установлено, что наиболее высокометаллоносными являются гетерофазные флюиды, комплекс рудных элементов в которых определяется геохимической специализацией рудно-магматической системы. Полученные данные по составу газовой и жидкой фаз флюидных включений позволили сделать выводы о разной металлоносности газовой и водно-солевой фаз магматогенных флюидов. Показано, что важнейшими факторами высокой металлоносности магматогенных флюидов являются их гетерофазное состояние и высокая экстракционная способность каждой из их составляющих, динамика и высокие температуры отделения флюидов от расплавов (> 700 °С), а также высокие концентрации рудных элементов в первичных рудоносных расплавах


Поделиться с друзьями:

mylektsii.su - Мои Лекции - 2015-2026 год. (0.879 сек.)Все материалы представленные на сайте исключительно с целью ознакомления читателями и не преследуют коммерческих целей или нарушение авторских прав Пожаловаться на материал