Студопедия

Главная страница Случайная страница

КАТЕГОРИИ:

АвтомобилиАстрономияБиологияГеографияДом и садДругие языкиДругоеИнформатикаИсторияКультураЛитератураЛогикаМатематикаМедицинаМеталлургияМеханикаОбразованиеОхрана трудаПедагогикаПолитикаПравоПсихологияРелигияРиторикаСоциологияСпортСтроительствоТехнологияТуризмФизикаФилософияФинансыХимияЧерчениеЭкологияЭкономикаЭлектроника






Метрологічні характеристики






2. Зібрати одну із схем рисунків 1, 2, 3 і визначити ціну поділки приладів. Змінюючи вхідну величину, побудувати статичну характеристику приладу або та визначити згідно неї чутливість приладу. Визначити час заспокоєння коливань рухомої частини приладу, що повіряється (цей час не повинен перевищувати 4 секунди). Для цього встановити значення вимірюваної величини, яке б відповідало середній відмітці шкали, виключити джерело живлення і знову його включити, засікаючи при цьому по секундоміру час від моменту включення до моменту, коли відхилення стрілки від положення рівноваги буде менше 1%. Це дозволяє наближено оцінити постійну часу передаточної характеристики:

 

 

Протокол повірки оформляється згідно форми:

 

Протокол повірки (амперметру, вольтметру) типу______

____________, класу ________, ____________ системи,

заводський № _____________, завод виготовлювач__________

_______________, рік виготовлення ______, з межами

вимірювання ________ для _________ струму (напруги).

Умови повірки:

Температура навколишнього середовища __________,

спосіб монтажу _____________, частота змінного струму

_________.

Повірка проводилась на межі ________ в діапазоні

___________ з допомогою взірцевого приладу типу

___________, класу ________, системи _________, заводський

№ ____________ завод виготовлювач _____________, рік

виготовлення _________, межа вимірювання ________.

Ціна поділки приладу, що повіряється __________,

взірцевого приладу _________.

Нормоване значення діапазону вимірювання ____________.

Результати повірки приладу:

 

 

Таблиця 1 Таблиця повірки приладів

  Покази приладу, що повіряємо, В (А) Покази робочого еталону В (А) Похибки Варіація приладу, що повіряється
Абсолютна В (А) Відносна, % Приведена, %
Прямий хід            
Зворот-            
ній            
хід            

 

3. Зробити висновок, в якому вказати метрологічні характеристики приладів з якими проводились дослідження та про придатність повіреного приладу для використання.

4. Обробка результатів. Основні формули для обчислення

Точність вимірювання визначається як різниця між виміряним значенням хв і дійсним значенням xdвимірюваної величини. Ця різниця називається абсолютною похибкою приладу

(1)

Разом з абсолютною похибкою точність характеризують відносними безрозмірними величинами – відносною та приведеною похибками.

Відносна похибка – це відношення абсолютної похибки до дійсного значення вимірюваної величини:

(2)

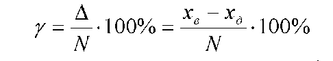
Приведена похибка – це відношення абсолютної похибки до нормуючого значення N (верхня межа вимірювання, довжина шкали, діапазон вимірювання).

(3)

Ціна поділки приладу визначається за формулою

(4)

де А – межа вимірювання, n – число поділок шкали.

Варіація приладу визначається як найбільша різниця показів приладу при повірці, одержаних при прямому та зворотному ході, на одній і тій же оцифрованій відмітці.

 

Контрольні запитання

 

1. Які існують методи вимірювання?

2. Як визначається клас точності приладу?

3. Від чого залежить позначення класу точності на засобі вимірювання?

4. Які метрологічні характеристики Ви знаєте?

5. Як визначається приведена похибка і нормуюче значення?

6. Як визначається абсолютна і відносна похибки?

7. Що таке варіація?

8. В чому полягає суть методу порівняння?

9. Яка різниця між прямими і непрямими вимірюваннями?

10. Як ціна поділки шкали приладу залежить від чутливості приладу?

 

 


Поделиться с друзьями:

mylektsii.su - Мои Лекции - 2015-2026 год. (1.416 сек.)Все материалы представленные на сайте исключительно с целью ознакомления читателями и не преследуют коммерческих целей или нарушение авторских прав Пожаловаться на материал