Студопедия

Главная страница Случайная страница

КАТЕГОРИИ:

АвтомобилиАстрономияБиологияГеографияДом и садДругие языкиДругоеИнформатикаИсторияКультураЛитератураЛогикаМатематикаМедицинаМеталлургияМеханикаОбразованиеОхрана трудаПедагогикаПолитикаПравоПсихологияРелигияРиторикаСоциологияСпортСтроительствоТехнологияТуризмФизикаФилософияФинансыХимияЧерчениеЭкологияЭкономикаЭлектроника






Порядок выполнения работы. 4.1 Изучение методики определения амплитудно- и фазо-частотной, переходной иимпульсной характеристик с помощью пакета программ Mathcad






4.1 Изучение методики определения амплитудно- и фазо-частотной, переходной иимпульсной характеристик с помощью пакета программ Mathcad

Пусть дана электрическая цепь 2-го порядка:

 

 

Коэффициент передачи такой цепи имеет вид:

 

 

 

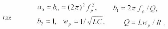
Для составления программы по расчету временных и частотных характеристик цени 2-го порядка следует принять следующие обозначения

 

– резонансная частота ;

– время (при в Гц, кГц или мГц время соответственно в секундах, миллисекундах или микросекундах);

– добротность цепи;

– комплексный коэффициент передачи ;

– АЧХ;

– ФЧХ (в градусах);

– действительная часть комплексного коэффициента передачи;

– число точек отсчета по оси времени;

– шаг этого отсчета;

– верхний предел интегрирования по частоте в выражениях для и ;

– нижний предел интегрирования по частоте в выражениях для и ;

– переходная характеристика ;

– импульсная характеристика ;

;

– индексы.

 

4.2 Рекомендации к записи программы

-

- Нижний предел интегрирования следует принять равным 0, 0001 (а не 0), чтобы избежать деления на 0;

- резонансную частоту принять равной 10;

- добротность ;

- для расчета ФЧХ в градусах принять:

- принять равным 200;

- принять равным 0, 01;

- изменяется от 0 до ;

- ;

- принять равным 20.

С учетом введенных обозначений выражения для определяемых функций имеют вид:

 

 

После ввода программы построить графики функций .

 

 

4.3 Составить программу но расчету временных и частотных характеристик электрической цепи 4-го порядка, которая имеет коэффициент передачи вида:

 

 

Все обозначения в программе оставить такими же, как и в предыдущем случае, а значения коэффициентов , зададим векторами:

 

;

 

При расчете принять

Получить графики функций .

 

 

Данная программа легко развивается на анализ объекта, описываемого коэффициентом передачи более высокого порядка. Для этого необходимо увеличить число строк в векторах и и ввести дополнительные члены в выражение для коэффициента передачи .


Поделиться с друзьями:

mylektsii.su - Мои Лекции - 2015-2026 год. (1.127 сек.)Все материалы представленные на сайте исключительно с целью ознакомления читателями и не преследуют коммерческих целей или нарушение авторских прав Пожаловаться на материал