Студопедия

Главная страница Случайная страница

КАТЕГОРИИ:

АвтомобилиАстрономияБиологияГеографияДом и садДругие языкиДругоеИнформатикаИсторияКультураЛитератураЛогикаМатематикаМедицинаМеталлургияМеханикаОбразованиеОхрана трудаПедагогикаПолитикаПравоПсихологияРелигияРиторикаСоциологияСпортСтроительствоТехнологияТуризмФизикаФилософияФинансыХимияЧерчениеЭкологияЭкономикаЭлектроника






Задание 4. В Таблице 1 приведен общий список услуг, которые могут быть оказаны фирмой в процессе поставки товаров






№ 35

В Таблице 1 приведен общий список услуг, которые могут быть оказаны фирмой в процессе поставки товаров, а также время, необходимое для оказания каждой отдельной услуги (чел./часов). Перечень услуг, фактически оказываемых фирмой, приведен ниже. Определить уровень сервиса.

Таблица 1

Общий список услуг, которые могут быть оказаны фирмой в процессе поставки товара

 

Перечень услуг, фактически оказываемых фирмой: 2, 6, 9, 14, 18, 23, 28.

Решение:

Важным критерием, позволяющим оценить систему сервиса, как с позиции поставщика, так и с позиции получателя услуг, является уровень логистического обслуживания.

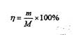
Расчет данного показателя выполняют по следующей формуле:

,

где ή -уровень логистического обслуживания в процентах,

М - количественная оценка теоретически возможного объема логистического сервиса,

m - количественная оценка фактически оказываемого объема логистического сервиса.

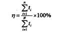
На практике уровень обслуживания можно оценивать, сопоставляя время на выполнение фактически оказываемых в процессе поставки логистических услуг со временем, которое необходимо было бы затратить, в случае оказания всего комплекса возможных услуг в процессе той же поставки. Расчет выполняют по следующей формуле:

,

здесь N - количество услуг, которое теоретически может быть оказано,

n - фактическое количество оказываемых услуг,

ti - время на выполнение i -той услуги.

Следовательно, в нашей задаче:

ή = 16, 95%.

Ответ: Уровень сервиса равен 16, 95%.

 

 


Поделиться с друзьями:

mylektsii.su - Мои Лекции - 2015-2026 год. (1.946 сек.)Все материалы представленные на сайте исключительно с целью ознакомления читателями и не преследуют коммерческих целей или нарушение авторских прав Пожаловаться на материал