Студопедия

Главная страница Случайная страница

КАТЕГОРИИ:

АвтомобилиАстрономияБиологияГеографияДом и садДругие языкиДругоеИнформатикаИсторияКультураЛитератураЛогикаМатематикаМедицинаМеталлургияМеханикаОбразованиеОхрана трудаПедагогикаПолитикаПравоПсихологияРелигияРиторикаСоциологияСпортСтроительствоТехнологияТуризмФизикаФилософияФинансыХимияЧерчениеЭкологияЭкономикаЭлектроника






На напряжение прикосновения и ток

Влияние сопротивления заземления

Rз, Ом          
Uпр, В          
Iчел, мА          

 

 

Зависимость тока, проходящего через человека,

От величины сопротивления заземления

 

 

Вывод: предельно допустимый (отпускающий) ток, проходящего через тело человека, Iчел = 6мА, получен

при Rз= Ом;

Uпр при этом было В;

Сопротивление заземления Rз должно быть менее Ом;

2. Определение сопротивления заземления электроустановки

2.1. Определение величины удельного сопротивлении грунта, Ом.м:

 

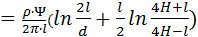
2.2 Расчет сопротивления одиночного трубчатого заземления, Ом:

 

R0

 

2.3 Предварительный расчет количества заземлителей:

 

2.4 Уточненный расчет количества заземлителей:

 

2.5 Расчет ожидаемого сопротивления заземления электроустановки, Ом:

 

2.6 Измерение сопротивления заземления электроустановки.

 

Измеренное сопротивление Rз= Ом.

2.7 Вывод: измеренное Rз Rдоп,

Поэтому электроустановку эксплуатировать;

Расхождение между Rз расч и Rз составляет Ом, следовательно, точность

Выполнения работы

 

Выполнил: студент группы ЛТ-101

Работу принял

 

<== предыдущая лекция | следующая лекция ==>
Расчет экономической эффективности построения сети 3G | Задание 2. Ретушь изображения
Поделиться с друзьями:

mylektsii.su - Мои Лекции - 2015-2026 год. (4.072 сек.)Все материалы представленные на сайте исключительно с целью ознакомления читателями и не преследуют коммерческих целей или нарушение авторских прав Пожаловаться на материал