Студопедия

Главная страница Случайная страница

КАТЕГОРИИ:

АвтомобилиАстрономияБиологияГеографияДом и садДругие языкиДругоеИнформатикаИсторияКультураЛитератураЛогикаМатематикаМедицинаМеталлургияМеханикаОбразованиеОхрана трудаПедагогикаПолитикаПравоПсихологияРелигияРиторикаСоциологияСпортСтроительствоТехнологияТуризмФизикаФилософияФинансыХимияЧерчениеЭкологияЭкономикаЭлектроника






Истечение из-под затвора в горизонтальном лотке






Во многих водозаборных и водопропускных гидротехнических сооружениях расходы воды проходят через отверстия, перекрываемые затворами. Затворы поднимают на определенную высоту над дном и пропускают через отверстия необходимые расходы. Чаще всего на гидромелиоративных сооружениях устраивают отверстия прямоугольного сечения, истечение из которых и рассмотрим.

Отверстия могут быть незатопленными (истечение свободное) и затопленными, когда уровень воды за затвором влияет на истечение.

Если отверстие незатопленное, то вытекающая из-под затвора струя находится под атмосферным давлением (рис. 5.13). При истечении через затопленное отверстие струя за затвором находится под некоторым слоем воды (рис. 5.14).

Рис. 5.13. Истечение из-под затвора через незатопленное отверстие

Когда затвор приподнят над дном, вытекающая из-под него струя испытывает сжатие в вертикальной плоскости. На расстоянии, примерно равном высоте отверстия а (высоте поднятия затвора), наблюдается наиболее сжатое сечение. Глубина в сжатом сечении hc связана с высотой отверстия а следующей зависимостью:

hc = ε ' a

где ε ' - коэффициент вертикального сжатия струи.

Коэффициент вертикального сжатия ε ' зависит от отношения высоты отверстия а к напору (глубине воды перед затвором) Н. Для ориентировочных расчетов можно принимать ε ' = 0, 64.

Если составить уравнение Бернулли для сечений, проведенных перед затвором и в сжатом сечении, после преобразований получим:

где φ - коэффициент скорости,

где Н0 - напор с учетом скорости подхода,

Тогда расход при истечении из-под затвора при незатопленном отверстии определится по формуле:

где S - площадь отверстия, S = ab.

Рис. 5.14. Истечение из-под затвора при затопленном отверстии

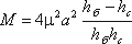
При истечении через затопленное отверстие (рис. 5.14) расход определится по формуле:

где hz - глубина в том сечении, где наблюдается максимальное сжатие истекающей из-под затвора струи.

Глубина hz определяется из зависимости

в которой

а hб - глубина в отводящем канале (бытовая глубина).


Поделиться с друзьями:

mylektsii.su - Мои Лекции - 2015-2026 год. (1.539 сек.)Все материалы представленные на сайте исключительно с целью ознакомления читателями и не преследуют коммерческих целей или нарушение авторских прав Пожаловаться на материал