Студопедия

Главная страница Случайная страница

КАТЕГОРИИ:

АвтомобилиАстрономияБиологияГеографияДом и садДругие языкиДругоеИнформатикаИсторияКультураЛитератураЛогикаМатематикаМедицинаМеталлургияМеханикаОбразованиеОхрана трудаПедагогикаПолитикаПравоПсихологияРелигияРиторикаСоциологияСпортСтроительствоТехнологияТуризмФизикаФилософияФинансыХимияЧерчениеЭкологияЭкономикаЭлектроника






Расчет надежности соединений с натягом






Актуальность исследований и расчета надежности этих соединений вызывается большим рассеянием: натягов, образуемых как разность двух больших близких размеров – диаметров вала и отверстия; коэффициентов трения, зависящих от многих факторов – состояния поверхности, оксидных пленок, случайного попадания масла, а также внешних нагрузок.

Надежность соединения с натягом, характеризуемую вероятностью безотказной работы Р, определяем как произведение вероятностей по критериям прочности сцепления и прочности деталей:

Р = Рс × Рп.

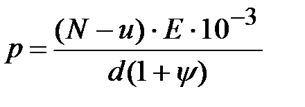
Предельный по прочности сцепления момент Мlim, Н× м, т.е. момент, который может передать соединение диаметром d, мм, длиной l, мм, с натягом N, мкм, при давлении на посадочных поверхностях p, МПа, и коэффициенте трения f, равен:

где k – коэффициент, учитывающий возможность уменьшения сил сцепления со временем (от местных обмятий и частичного снятия сил трения).

Для соединения сплошного вала со ступицей с наружным диаметром dст, мм, из материалов с одинаковым модулем упругости Е, МПа, и одинаковым коэффициентом поперечного сжатия:

, где ;

u – поправка на обмятие посадочных поверхностей, зависящая от высоты их микронеровностей Rz1, Rz2:

u = 1, 2 (Rz1+Rz2).

Предельный момент Мlim рассматриваем как функцию (произведение) двух случайных величин p и f. Среднее значение предельного момента Мlim определяется по средним значениям и . Среднее значение давления вычисляют, подставляя в формулу среднее значение натяга .

По правилу квадратического сложения коэффициентов вариации аргументов, входящих в выражении функции в виде произведения, находим коэффициент вариации предельного момента:

где , - коэффициенты вариации давления и коэффициента трения.

Коэффициент вариации давления:

,

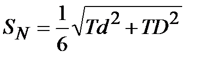
где , SN – коэффициент вариации и среднее квадратическое отклонение натяга.

Если считать поправку на обмятие u пропорциональной натягу N (при малых натягах), то коэффициент вариации давления .

Максимальное, минимальное и среднее значение натягов:

Nmax = es – EI;

Nmin = ei – ES;

;

es и ES – верхние предельные отклонения вала и отверстия в соединении (табл. 3); ei и EI – нижние предельные отклонения вала и отверстия соответственно (табл. 3).

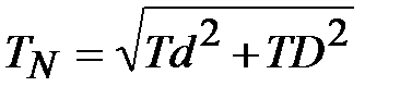
Среднее квадратическое отклонение SN натяга в обычном предположении, что вероятностное рассеивание допуска посадки с натягом , соответствует 6SN, равно:

.

Тогда коэффициент вариации натяга: .

Коэффициент вариации коэффициента трения в применении к соединениям с натягом в результате обработки испытаний, проведенных разными исследователями, обычно колеблется в пределах 0, 08…0, 125 (в среднем 0, 1). Меньшие значения – при сборке с охлаждением.

Рассмотрим общую задачу оценки надежности соединения с натягом под действием момента со средним значением и коэффициентом вариации . Определим вероятность безотказной работы соединения по двум критериям: прочности сцепления Рс и прочности деталей Рп.

 

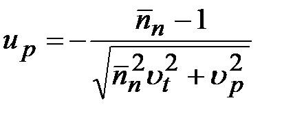
4.1. Вероятность Рс безотказной работы по критерию прочности сцепления определяем по таблице 4 нормального распределения в зависимости от квантили:

где - коэффициент запаса прочности сцепления по средним значениям моментов.

4.2. Вероятность Рп безотказной работы по критерию прочности деталей

Опасные напряжения возникают у внутренней поверхности охватывающей детали. Условие прочности: sэкв < st2,

где sэкв – наибольшее эквивалентное напряжение;

st2 – предел текучести материала охватывающей детали.

Среднее значение эквивалентного напряжения:

.

Коэффициент вариации напряжения sэкв равен коэффициенту вариации давления на посадочной поверхности соединения.

Вероятность безотказной работы Рп по критерию прочности деталей определяем в зависимости от квантили:

,

где - эквивалент запаса прочности по средним значениям предела текучести st2 и напряжения sэкв;

- коэффициент вариации предела текучести.

 

Задание

 

Соединение зубчатого колеса со сплошным валом диаметром d соответствует определенной посадке. Соединение нагружено вращающим моментом М, заданным случайной нормально распределенной величиной со средним значением (Н× м) и коэффициентом вариации . Определить вероятность безотказной работы соединения по двум критериям, если известно следующее: диаметр ступицы зубчатого колеса dст (мм), длина посадочной поверхности l (мм), высота микронеровностей посадочных поверхностей Rz1, Rz2 (мкм), модуль упругости деталей Е (МПа), среднее значение и коэффициент вариации коэффициента трения соответственно и , коэффициент, учитывающий уменьшение со временем давления k, среднее значение предела текучести материала охватывающей детали st2, коэффициент вариации .

Варианты заданий приведены в таблице 2.


 

Таблица 2

Исходные данные

 

                               
d, мм                              
посадка
, Н´ м                              
0, 12 0, 1 0, 12 0, 11 0, 12 0, 15 0, 12 0, 15 0, 1 0, 09 0, 1 0, 12 0, 11 0, 12 0, 12
dст, мм                              
l, мм                              
Rz1, мкм   3, 2   6, 3             6, 3 5, 8      
Rz2, мкм   6, 3   7, 1               7, 2      
Е´ 105, МПа 2, 1   2, 1 2, 2 1, 8 1, 9 1, 8 1, 8 2, 3 2, 4 1, 7   2, 3 2, 5  
0, 12 0, 1 0, 12 0, 13 0, 1 0, 12 0, 11 0, 12 0, 13 0, 11 0, 09 0, 11 0, 09 0, 1 0, 11
0, 1 0, 12 0, 12 0, 15 0, 1 0, 1 0, 09 0, 09 0, 09 0, 13 0, 1 0, 1 0, 1 0, 12 0, 12
k 1, 5 1, 3 1, 4 1, 6 1, 7 1, 5 1, 3 1, 2 1, 2 1, 7 1, 3 1, 5 1, 5 1, 6 1, 7
st2, МПа                              
0, 6 0, 7 0, 65 0, 75 0, 65 0, 68 0, 72 0, 76 0, 55 0, 58 0, 78 0, 69 0, 62 0, 57 0, 74

 

 

Таблица 2

Исходные данные

 

                               
d, мм                              
посадка
, Н´ м                              
0, 09 0, 09 0, 09 0, 1 0, 11 0, 12 0, 09 0, 09 0, 11 0, 1 0, 12 0, 09 0, 1 0, 11 0, 12
dст, мм                              
l, мм                              
Rz1, мкм         2, 5                    
Rz2, мкм         1, 5 1, 8               1, 5  
Е´ 105, МПа 1, 8   1, 8 2, 2 2, 1   1, 9 1, 8 2, 1 1, 8 1, 9 2, 2 2, 1 1, 8 1, 9
0, 9 0, 09 0, 09 0, 09 0, 1 0, 11 0, 09 0, 1 0, 12 0, 12 0, 11 0, 1 0, 09 0, 09 0, 1
0, 11 0, 1 0, 11 0, 1 0, 09 0, 09 0, 11 0, 12 0, 11 0, 1 0, 12 0, 09 0, 09 0, 1 0, 12
k 1, 3 1, 4 1, 5 1, 3 1, 3 1, 5 1, 2 1, 6 1, 4 1, 6 1, 5 1, 5 1, 2 1, 3 1, 4
st2, МПа                              
0, 66 0, 59 0, 73 0, 69 0, 72 0, 59 0, 78 0, 80 0, 82 0, 91 0, 73 0, 75 0, 68 0, 74 0, 84

 

Таблица 3

Поля допусков

 

Номиналь-ный размер, мм Поля допусков валов
p5 r5 s5 (t5) (u5) p6 r6 s6 t6 (u6) (v6) (p7) (r7) s7
Предельные отклонения , мкм
св 18 до 24 +31 +22 +37 +28 +44 +35 - +50 +41 +35 +22 +41 +28 +48 +35 - +54 +41 +60 +47 +43 +22 +49 +28 +56 +35
св 24 до 30 +31 +22 +37 +28 +44 +35 +50 +41 +57 +48 +35 +22 +41 +28 +48 +35 +54 +41 +61 +48 +68 +55 +43 +22 +49 +28 +56 +35
св 30 до 40 +37 +26 +45 +34 +54 +43 +59 +48 +71 +60 +42 +26 +50 +34 +59 +43 +64 +48 +76 +60 +84 +68 +51 +26 +59 +34 +68 +43
св 40 до 50 +37 +26 +45 +34 +54 +43 +65 +54 +81 +70 +42 +26 +50 +34 +59 +43 +70 +54 +86 +70 +97 +81 +51 +26 +59 +34 +68 +43
св 50 до 65 +45 +32 +54 +41 +66 +53 +79 +66 +100 +87 +51 +32 +60 +41 +72 +53 +85 +66 +106 +87 +121 +102 +62 +32 +71 +41 +83 +53
св 65 до 80 +45 +32 +56 +43 +72 +59 +88 +75 +115 +102 +51 +32 +62 +43 +78 +59 +94 +75 +121 +102 +139 +120 +62 +32 +73 +43 +89 +59
св 80 до 100 +52 +37 +66 +51 +86 +71 +106 +91 +139 +124 +59 +37 +73 +51 +93 +71 +113 +91 +146 +124 +168 +146 +72 +37 +86 +51 +106 +71
св 100 до 120 +52 +37 +69 +54 +94 +79 +119 +104 +159 +144 +59 +37 +76 +54 +101 +79 +126 +104 +166 +144 +194 +172 +72 +37 +89 +54 +114 +79
св 120 до 140 +61 +43 +81 +63 +110 +92 +140 +122 +188 +170 +68 +43 +88 +63 +117 +92 +147 +122 +195 +170 +227 +202 +83 +43 +103 +63 +132 +92
св 140 до 160 +61 +43 +83 +65 +118 +100 +152 +134 +208 +190 +68 +53 +90 +65 +125 +100 +159 +134 +215 +190 +253 +228 +83 +43 +105 +65 +140 +100
св 160 до 180 +61 +43 +86 +68 +126 +108 +164 +146 +228 +210 +68 +53 +93 +68 +133 +108 +171 +146 +235 +210 +277 +252 +83 +43 +108 +68 +148 +108

 

 

Таблица 3

Поля допусков (продолжение)

 

Номиналь-ный размер, мм Поля допусков валов Поля допусков отверстий
(t7) u7 (v7) (x7) (z7) (s8) u8 x8 z8 H6 H7 H8 H9 H10
Предельные отклонения , мкм Предельные отклонения , мкм
св 18 до 24 - +62 +41 +68 +47 +75 +54 +94 +73 +68 +35 +74 +41 +87 +54 +106 +73 +13 +21 +33 +52 +84
св 24 до 30 +62 +41 +69 +48 +76 +55 +85 +64 +109 +88 +68 +35 +81 +48 +97 +64 +121 +88 +13 +21 +33 +52 +84
св 30 до 40 +73 +48 +85 +60 +93 +68 +105 +85 +137 +112 +82 +43 +99 +60 +119 +80 +151 +112 +16 +25 +39 +62 +100
св 40 до 50 +79 +54 +95 +70 +106 +81 +122 +97 +161 +136 +82 +43 +109 +70 +136 +97 +175 +136 +16 +25 +39 +62 +100
св 50 до 65 +96 +66 +117 +87 +132 +102 +152 +122 +202 +172 +99 +53 +133 +87 +168 +122 +218 +172 +19 +30 +46 +74 +120
св 65 до 80 +105 +75 +132 +102 +150 +120 +176 +146 +240 +210 +105 +59 +148 +102 +192 +146 +256 +210 +19 +30 +46 +74 +120
св 80 до 100 +126 +91 +159 +124 +181 +146 +213 +178 +293 +258 +125 +71 +178 +124 +232 +178 +312 +258 +22 +35 +54 +87 +140
св 100 до 120 +139 +104 +179 +144 +207 +172 +245 +210 +345 +310 +133 +79 +198 +144 +264 +210 +364 +310 +22 +35 +54 +87 +140
св 120 до 140 +162 +122 +210 +170 +242 +202 +288 +248 +405 +365 +155 +92 +233 +170 +311 +248 +428 +365 +25 +40 +63 +100 +160
св 140 до 160 +174 +134 +230 +190 +268 +228 +320 +280 +455 +415 +163 +100 +253 +190 +343 +280 +478 +415 +25 +40 +63 +100 +160
св 160 до 180 +186 +146 +250 +210 +292 +252 +350 +310 +505 +465 +171 +108 +273 +210 +373 +310 +528 +465 +25 +40 +63 +100 +160

Таблица 4

Вероятность безотказной работы Р в зависимости от квантили up

 

up Р up Р up Р
  0, 5 -1, 1 0, 8643 -2, 326 0, 99
- 0, 1 0, 5398 -1, 2 0, 8849 -2, 4 0, 9918
- 0, 126 0, 55 -1, 282 0, 9 -2, 409 0, 992
-0, 2 0, 5793 -1, 3 0, 9032 -2, 5 0, 9938
-0, 253 0, 6 -1, 4 0, 9192 -2, 576 0, 995
-0, 3 0, 6179 -1, 5 0, 9332 -2, 6 0, 9953
-0, 385 0, 65 -1, 6 0, 9452 -2, 652 0, 996
-0, 4 0, 6554 -1, 645 0, 95 -2, 7 0, 9965
-0, 5 0, 6915 -1, 7 0, 9554 -2, 748 0, 997
-0, 524 0, 7 -1, 751 0, 96 -2, 8 0, 9974
-0, 6 0, 7257 -1, 8 0, 9641 -2, 878 0, 998
-0, 674 0, 75 -1, 881 0, 97 -2, 9 0, 9981
-0, 7 0, 758 -2, 0 0, 9772 -3, 0 0, 9986
-0, 8 0, 881 -2, 054 0, 98 -3, 09 0, 999
-0, 842 0, 8 -2, 1 0, 9821 -3, 291 0, 9995
-0, 9 0, 8159 -2, 17 0, 985 -3, 5 0, 9998
-1, 0 0, 8413 -2, 2 0, 9861 -3, 719 0, 9999
-1, 036 0, 85 -2, 3 0, 9893 -3, 9  

 

Вопросы для контроля

1. При каких значениях Rz1 и Rz2 вероятность безотказной работы по критерию прочности сцепления Рс будет больше?

а) Rz1 = 4 мкм; Rz2 = 6 мкм; в) Rz1 = 6 мкм; Rz2 = 10 мкм;

б) Rz1 = 5 мкм; Rz2 = 5 мкм; д) Rz1 = 3 мкм; Rz2 = 6 мкм.

2. Для какой посадки вероятность безотказной работы по критерию прочности сцепления Рс будет больше?

а) H7/s6 б) H7/p6 в) H7/u7 г) H7/z8

3. Для какой посадки среднее квадратическое отклонение SN натяга будет больше?

а) H6/s5 б) H7/p6 в) H7/x7 г) H8/z8

4. Для соединения из каких материалов вероятность безотказной работы Р будет больше?

а) Е=2, 1´ 105 МПа в) Е=1, 6´ 105 МПа

б) Е=1, 8´ 105 МПа д) Е=2, 5´ 105 МПа

5. Как изменится вероятность безотказной работы по критерию прочности сцепления Рс, если размеры соединения увеличить (т.е. взять детали с большими d и l) при прочих равных условиях?

а) Рс увеличится; б) Рс уменьшится; в) Рс не изменится.

6. В каком случае вероятность безотказной работы Р будет больше, если предел текучести материала охватывающей детали:

а) st2 = 600 МПа; в) st2 = 450 МПа;

б) st2 = 300 МПа; д) st2 = 540 МПа?

7. От каких параметров зависит натяг в соединении?

а) d б) посадка; в) квалитет; г) l д) Rz1, Rz2, е) Е ж) st2 з) f

8. Как влияет точность собираемых деталей на вероятность безотказной работы Р?

а) при увеличении точности Р увеличивается;

б) при увеличении точности Р уменьшается;

в) точность не влияет.

9. От каких параметров зависит вероятность безотказной работы по критерию прочности деталей Рп?

а) d б) посадка в) квалитет г) Rz1, Rz2, д) dст е) Е

10. От каких параметров зависит коэффициент вариации давления ?

а) р б) N в) Rz1, Rz2, г) d д) квалитет е) l.

11. Какие существуют способы сборки соединений с натягом?

12. В чем суть метода сборки запрессовкой?

13. Какие погрешности возникают при запрессовке?

14. Гидропрессовый способ сборки.

15. Какие гальванические покрытия используются при запрессовке и в каких случаях?

16. Для каких деталей применяют сборку с нагревом охватывающей детали?

17. Каким способом нагревают охватывающую деталь?

18. Для каких деталей используется сборка с охлаждением охватываемой детали?

19. Способы охлаждения охватываемой детали.

20. При сборке каким способом прочность соединения выше?

21. На какие группы делятся посадки в зависимости от величины натяга и область их применения?

СПИСОК ЛИТЕРАТУРЫ

 

1. Допуски и посадки: Справочник в 2-х ч. Ч.1 /Под ред. В. Д. Мягкова. – Л.: Машиностроение, 1979 – 544 с.

2. Новиков М.П. Основы технологии сборки машин и механизмов., М.: Машиностроение, 1969 – 632 с.

3. Надежность машин: Учеб.пособие для машиностр.спец.вузов/ Под ред. Д. Н. Решетова. – М.: Высш.шк., 1988. – 238 с.

4. Проников А. С. Надежность машин. – М.: Машиностроение, 1978. – 592с.

5. Справочник технолога-машиностроителя /Под ред. А. Г. Косиловой и Р. К. Мещерякова. В 2-х т. Т. 1. М.: Машиностроение, 1985. 496 с.

 

ОГЛАВЛЕНИЕ

 

 

   
ВВЕДЕНИЕ 1. НАЗНАЧЕНИЕ ПОСАДОК С НАТЯГОМ 2. СБОРКА СОЕДИНЕНИЙ С НАТЯГОМ 2.1. Сборка запрессовкой 2.1.1. Способ обычной запрессовки 2.1.2 Погрешности запрессовки и пути их устранения 2.1.3. Гидропрессовый способ сборки 2.1.4. Прессовые соединения с гальваническим покрытием 2.2. Термические методы сборки 2.2.1. Сборка с нагревом охватывающей детали 2.2.2. Сборка с охлаждением охватываемой детали   3. ПРИМЕНЕНИЕ ПОСАДОК С НАТЯГОМ   4. РАСЧЕТ НАДЕЖНОСТИ СОЕДИНЕНИЙ С НАТЯГОМ   4.1. Вероятность Рс безотказной работы по критерию прочности сцепления 4.2. Вероятность Рп безотказной работы по критерию прочности деталей   Задание Вопросы для контроля Список литературы              

 

Надежность соединений с натягом

Методические указания к лабораторным работам

по дисциплинам «Теория надежности» «Надежность и диагностика» для студентов специальностей «Проектирование технических и технологических комплексов», «Металлообрабатывающие станки и комплексы» дневной и заочной формы обучения

 

 

Игорь Геннадьевич Румановский

Ольга Игоревна Скарлыкина

 

 

Главный редактор Л. А. Суевалова

Редактор О. В. Астафьева

Компьютерная верстка О. И. Скарлыкина

 

Подписано в печать. Формат 60 х 84 1/16.

Бумага писчая. Гарнитура " Таймс". Печать офсетная. Усл. печ. л. 4, 4.

Уч. –изд. л. 3, 8. Тираж 250 экз. Заказ. С 111.

 

Издательство Хабаровского государственного технического университета.

680035, Хабаровск, ул.Тихоокеанская, 136.

 

Отдел оперативной полиграфии издательства

Хабаровского государственного технического университета.

680035, Хабаровск, ул.Тихоокеанская, 136.

 

 

 

 

 

 

Надежность соединений с натягом

 

Хабаровск 2004


ФЕДЕРАЛЬНОЕ АГЕНСТВО ПО ОБРАЗОВАНИЮ

Государственное образовательное учреждение

высшего профессионального образования

" Хабаровский государственный технический университет"

 

 

УТВЕРЖДАЮ в печать

Ректор университета

д-р. техн. наук_________С.Н.Иванченко

" _____" ______________2004 г.

 

Надежность соединений с натягом

Методические указания к лабораторным работам

по дисциплинам «Теория надежности технологического оборудования», «Надежность и диагностика» для студентов специальностей «Проектирование технических и технологических комплексов», «Металлообрабатывающие станки и комплексы» дневной и заочной формы обучения

 

Игорь Геннадьевич Румановский

Ольга Игоревна Скарлыкина

 

 

Рассмотрены и рекомендованы к изданию

кафедрой " Компьютерное проектирование

и сертификация машин"

Зав.кафедрой_________________С.И.Клепиков

" _____" _________________2004 г.

Рассмотрены и рекомендованы к изданию

методическим советом института информационных

технологий

Председатель совета___________С.И.Клепиков

" _____" __________________2004 г.

Нормоконтролер______________В.А.Языков

" _____" __________________2004 г.

 

Хабаровск

Издательство ХГТУ


Поделиться с друзьями:

mylektsii.su - Мои Лекции - 2015-2026 год. (1.268 сек.)Все материалы представленные на сайте исключительно с целью ознакомления читателями и не преследуют коммерческих целей или нарушение авторских прав Пожаловаться на материал