Студопедия

Главная страница Случайная страница

КАТЕГОРИИ:

АвтомобилиАстрономияБиологияГеографияДом и садДругие языкиДругоеИнформатикаИсторияКультураЛитератураЛогикаМатематикаМедицинаМеталлургияМеханикаОбразованиеОхрана трудаПедагогикаПолитикаПравоПсихологияРелигияРиторикаСоциологияСпортСтроительствоТехнологияТуризмФизикаФилософияФинансыХимияЧерчениеЭкологияЭкономикаЭлектроника






Расчет короткого замыкания. Упрощения при расчете.






Короткими замыканиями (КЗ) называют замыкания между фазами (фазными проводниками электроустановки), замыкания фаз на землю (нулевой провод) в сетях с глухо - и эффективно-заземленными нейтралями, а также витковые замыкания в электрических машинах. Короткие замыкания возникают при нарушении изоляции электрических цепей. Причины таких нарушений различны: старение и вследствие этого пробой изоляции, набросы на провода линий электропередачи, обрывы проводов с падением на землю, механические повреждения изоляции кабельных линий при земляных работах, удары молнии в линии электропередачи и др.

Короткие замыкания, как правило, сопровождаются увеличением токов в поврежденных фазах до значений, превосходящих в несколько раз номинальные значения.

Протекание токов КЗ приводит к увеличению потерь электроэнергии в проводниках и контактах, что вызывает их повышенный нагрев. Нагрев может ускорить старение и разрушение изоляции, вызывать сваривание и выгорание контактов, потерю механической прочности шин и проводов и т.п. проводники и аппараты должны без повреждений переносить в течение заданного расчетного времени нагрев токами КЗ, т. е. должны быть термически стойкими.

Протекание токов КЗ сопровождается также значительными электродинамическими усилиями между проводниками. Для защиты токоведущих частей и их изоляции от разрушения принимаются необходимые меры.

 

Ток в процессе короткого замыкания не остаётся постоянным, а изменяется, т.е., ток, увеличившийся в первый момент времени, затухает до некоторого значения, а затем под действием автоматического регулятора возбуждения (АРВ) достигает установившегося значения. Промежуток времени, в течение которого происходит изменение значения тока КЗ, определяет продолжительность переходного процесса. После того как изменение значения тока прекращается, до момента отключения КЗ продолжается установившийся режим КЗ.

Из-за наличия в сети индуктивных сопротивлений, препятствующих мгновенному изменению тока при возникновении КЗ, значение тока нагрузки iн не изменяется скачком, а нарастает по определённому закону от нормального до аварийного значения. Для упрощения расчёта и анализа ток, проходящий во время переходного процесса КЗ, рассматривают как состоящий из двух составляющих: апериодической и периодической.

Апериодической называется постоянная по знаку составляющая тока iа, которая возникает в первый момент КЗ и сравнительно быстро затухает до нуля.

Периодическая составляющая тока КЗ в начальный момент времени Iп mo называется начальным током КЗ. Значение начального тока КЗ используют, как правило, для выбора уставок и проверки чувствительности релейной защиты. Начальный ток КЗ называют также сверхпереходным iп, так как для его определения в схему замещения вводятся сверхпереходные сопротивления генератора и ЭДС .

Установившимся называется периодический ток КЗ после окончания переходного процесса, обусловленного затуханием апериодической составляющей и действием АРВ.

Полным током КЗ называется его значение, равное сумме периодической и апериодической составляющих в любой момент переходного процесса. Максимальное мгновенное значение полного тока называется ударным током КЗ и вычисляется при проверке электротехнического оборудования на электродинамическую стойкость.

Как уже отмечалось, для выбора уставок и проверки чувствительности РЗ обычно используется начальное (сверхпереходное) значение тока КЗ, расчёт которого производится наиболее просто. Допустимость такого решения объясняется, с одной стороны, быстрым затуханием апериодической составляющей в сетях высокого напряжения (за время 0, 05 – 0, 2 с), что обычно меньше времени срабатывания рассматриваемых защит, а с другой стороны – неизменностью периодической составляющей при КЗ в сети, питающейся от мощной энергосистемы, генераторы которой оснащены АРВ, поддерживающими постоянным напряжение на её шинах.

В сетях, питающихся от генератора или энергосистемы ограниченной мощности, напряжение на шинах в процессе КЗ изменяется в значительных пределах, вследствие чего значения начального и установившегося токов не равны. Однако и в этом случае для расчётов релейной защиты можно использовать начальное значение тока КЗ. Это не приводит к большой погрешности, поскольку, как показывает опыт эксплуатации, на значение установившегося тока КЗ значительно большее влияние, чем на значение начального тока, оказывают увеличение переходного сопротивления в месте повреждения, токи нагрузки и другие факторы, не учитываемые обычно при расчёте токов КЗ.

Принимая во внимание всё выше изложенное, можно считать целесообразным и в большинстве случаев вполне допустимым использование для расчёта и анализа поведения релейных защит, действующих с любой выдержкой времени, значения начального тока КЗ. При этом возможное снижение тока в процессе КЗ следует учитывать для защит, имеющих выдержку времени, введением в расчёт повышенных коэффициентов надёжности по сравнению с быстродействующими защитами.

Расчет токов КЗ по точным выражениям в реальных схемах с несколькими источниками затруднен. Кроме того на практике часто не требуется высокой точности расчетов. Поэтому для вычисления токов КЗ в произвольный момент времени оказывается возможным и целесообразным использовать практические приближенные методы расчета.

При этом вводятся дополнительные упрощения:

· закон изменения периодической слагающей тока КЗ в схеме с одним генератором распространяется на схему с несколькими генераторами;

· изменение апериодической слагающей тока КЗ в сложной схеме учитывается приближенно;

· нагрузки учитываются упрощенно;

· ротор синхронной машины симметричен.

2. Расчет короткого замыкания. Системы именованных и относительных единиц.

·

Расчеты токов короткого замыкания необходимы для решения следующих задач: выбора схем электрических соединений; выявления условий работы потребителей при аварийных режимах; выбора аппаратов и проводников; проектирования и настройки устройств релейной защиты, автоматики, заземляющих устройств; выбора систем автоматического регулирования возбуждения; анализа устойчивости работы электрических систем. Допущения, принимаемые в расчетах токов КЗ: 1) закон изменения периодической слагающей тока КЗ для схемы с одним генератором можно использовать для приближенной оценки этой слагающей для схемы с несколькими генераторами; 2) учет апериодической слагающей можно проводить приближенно; 3) ротор синхронной машины симметричен; 4) учет системы проводят приближенно. Расчет токов КЗ в электрических сетях напряжением выше 1 кВ ведется в системе относительных единиц (о.е.). Под относительным значением какой-либо величины понимают её отношение к другой одноименной величине, выбранной за единицу измерения. Величины, принятые в качестве единиц измерения называют базисными. Обычно произвольно выбирают базисную мощность Sб, МВ× А, близкую к установленной мощности генераторов в расчетной схеме и округленную до целого числа. Принимают базисное напряжение Uб, кВ, на одной из ступеней, базисные напряжения на других ступенях пересчитывают по действительным (точное приведение) или по приближенным (приближенное приведение) коэффициентам трансформации. Приближенные коэффициенты трансформации определяются по шкале средних номинальных напряжений: 515; 340; 230; 154; 115; 37; 24; 18; 15, 75; 13, 8; 10, 5; 6, 3; 3, 15 кВ. Ниже приведены формулы для определения сопротивлений элементов электрической сети в системе относительных единиц при выбранных базисных условиях. Синхронное индуктивное сопротивление генератора Хd и его сверхпереходное сопротивление Х² d: Хdd(н)∙ Sб/Sн; Х² d=Х² d(н)∙ Sб/Sн, где Sн - номинальная мощность генератора, МВ× А; Хd(н) - синхронное сопротивление генератора по продольной оси при номинальных условиях, о.е.; Х² d(н)- его сверхпереходное сопротивление при номинальных условиях, о.е. Индуктивное сопротивление двухобмоточного трансформатора Хт: Хт=Uк∙ Sб/(100∙ Sн), где Uк - напряжение короткого замыкания, %; Sн - номинальная мощность трансформатора, МВ× А. Индуктивные сопротивления обмоток высшего (ВН) Хв и низшего напряжений (НН) Хн1н2, о.е., трехобмоточного трансформатора с расщепленной на 2 цепи обмоткой НН: Хв=Uк∙ Sб/(100∙ Sн)∙ (1-Kр/4); Хн1н2=2∙ Uк∙ Sб/(100∙ Sн)∙ Kр/2, где Uк - напряжение короткого замыкания обмоток ВН и НН, %; Sн - номинальная мощность трансформатора, МВ× А; Кр - коэффициент связи. Для трехфазных трансформаторов, у которых обмотка НН расщеплена на две цепи, К=3, 5. Индуктивные сопротивления обмоток ВН Хв, среднего (СН) Хс, НН Хн, о.е., трехобмоточного трансформатора соответственно: Хв=UкВ∙ Sб/(100∙ Sн); Хс=UкС∙ Sб/(100∙ Sн); Хн=UкН∙ Sб/(100∙ Sн), где UкВ, UкС, UкН - напряжения короткого замыкания обмоток ВН, СН и НН соответственно, %; Sн - номинальная мощность трансформатора или автотрансформатора, МВ× А. Напряжения короткого замыкания обмоток ВН UкВ, СН UкС и НН UкН, %: UкВ=0, 5(Uвс+Uвн-Uсн); UкС=0, 5(Uвс+Uсн-Uвн); UкН=0, 5(Uвн+Uсн-Uвс), где Uвс, Uвн, Uсн - напряжения короткого замыкания по обмоткам высокого и среднего, высокого и низкого, среднего и низкого напряжений соответственно, %. Индуктивное сопротивление одинарного реактора Хр, о.е., Хрр∙ Sб/(√ 3∙ Uсрн∙ Iн)=Хр∙ Iб/Iн, где Uсрн - среднее номинальное напряжение ступени, где установлен реактор, кВ; Iн - номинальный ток реактора, кА; Iб – базисный ток, кА. Индуктивное сопротивление воздушной, кабельной линий Хл, о.е., Хл0∙ l∙ Sб/U2срн, где Х0 - удельное сопротивление линии, Ом/км; Uсрн - среднее номинальное напряжение линии, кВ; l - длина линии, км.

3.Определение начального тока при трёхфазном КЗ

Поскольку при трёхфазном КЗ ЭДС и сопротивления во всех фазах равны, все три фазы находятся в одинаковых условиях (симметричное КЗ). Расчёт симметричной цепи может быть существенно упрощён: поскольку все три фазы находятся в одинаковых условиях, достаточно произвести расчёт для одной фазы и результаты его затем распространить на две другие фазы.

Расчёт начинается с составления схемы замещения, в которой отдельные элементы расчётной схемы заменяются соответствующими сопротивлениями, а для источников питания указываются их ЭДС или напряжения на зажимах. Каждый элемент вводится в схему своими активными и реактивными сопротивлениями. Сопротивления генераторов, трансформаторов, реакторов определяются на основании паспортных данных и вводятся в расчёт.

Реактивные сопротивления линий электропередачи рассчитываются по выражению:

ХЛ = ХУД∙ L

где L – длина участка линии, км; ХУД – удельное реактивное сопротивление линии, Ом/км, которое можно принимать равным:

 

 

При напряжении, кВ: Для ВЛ ХУД, Ом/км
6 - 220 0, 4
330 (два провода на фазу) 0, 33
500 (три провода на фазу) 0, 28 – 0, 3
Для трёхжильных кабелей: 3 0, 07
6 - 10 0, 08
  0, 12

Активные сопротивления медных и алюминиевых проводов определяются по выражению:

, где - удельная проводимость линии равная для меди - 57 м/(Ом мм2); для алюминия – 34 м/(Ом мм2).

При расчётах токов КЗ допускается не учитывать активного сопротивления и вводить в схему замещения только реактивные сопротивления элементов, если суммарное реактивное сопротивление больше чем в три раза превышает суммарное активное сопротивление:

.

Определение тока КЗ при питании от системы неограниченной мощности.

Ток КЗ определяем по формуле:

, где Хрез. – результирующее сопротивление до точки КЗ, равное сумме сопротивлений трансформатора и линий Ом:

Хрез.= ХТЛ;

Uc – междуфазное напряжение на шинах системы неограниченной мощности, кВ.

Системой неограниченной мощности называется мощный источник питания, напряжение, на шинах которого остаётся постоянным независимо от места КЗ во внешней сети. Сопротивление системы неограниченной мощности принимается равным нулю. Хотя в действительности каждая система имеет ограниченную мощность, понятие о системе неограниченной мощности широко используется при расчёте КЗ. Можно считать, что рассматриваемая система имеет сопротивление много меньше сопротивлений внешних элементов, включенных между шинами системы и точкой КЗ.

Определение тока КЗ при питании от системы ограниченной мощности.

Если сопротивление системы, питающей точку КЗ, сравнительно велико, его необходимо учитывать при определении тока КЗ. В этом случае в схему замещения вводится сопротивление Хсист. и принимается, что за этим сопротивлением находятся шины неограниченной мощности. Ток КЗ определяется по формуле:

, где ХВН – сопротивление цепи КЗ между шинами и точкой повреждения; Хсист – сопротивление системы, приведённое к шинам источника. Сопротивление системы можно определить, если задан ток трёхфазного КЗ на её шинах IК, зад.:

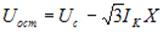
Определение остаточного напряжения. Остаточное напряжение на шинах определяется по формуле:

, где ХК – сопротивление от шин подстанции, на которых определяется остаточное напряжение, до места КЗ, или:

, где Х – сопротивление от шин источника питания до точки, в которой определяется остаточное напряжение.

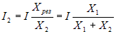
Расчёт токов КЗ и напряжений в разветвлённой сети

 

Таблица №1

Схемы   Сопротивления элементов преобразованной схемы. Распределение токов в схеме до её преобразования.  
До преобразования. После преобразования.
     
     
     
       

В сложной разветвлённой сети для того, чтобы определить ток в месте КЗ, необходимо предварительно преобразовать схему замещения так, чтобы она имела простой вид, по возможности с одним источником питания и одной ветвью сопротивления. С этой целью производится сложение последовательно и параллельно включённых ветвей, треугольник сопротивлений преобразуется в “звезду” и наоборот. Формулы и схемы расчёта сопротивлений элементов сети и распределение токов в схеме приведены в таблице №1. Остаточное напряжение в любой точке разветвлённой схемы можно определить последовательным суммированием или вычитанием падений напряжений в её ветвях. Если в схему замещения входят две или несколько ЭДС, точки их приложения объединяются и они заменяются одной эквивалентной ЭДС.

Если ЭДС источников равны, то эквивалентная ЭДС будет иметь такое же значение:

ЕЭ = Е12.

Если же ЭДС не равны, значение эквивалентной ЭДС подсчитывается по формуле:

Расчёт токов КЗ по паспортным данным реакторов и трансформаторов.

Во всех примерах, рассмотренных выше, единицей измерения сопротивления отдельных элементов схемы принят Ом. Наряду с этим сопротивления отдельных элементов часто задаются в относительных единицах. Так, например, в относительных единицах обычно указываются параметры реакторов: они задаются в процентах как относительное значение падения напряжения в реакторе при прохождении в нём номинального тока, ХР %. Сопротивление реактора, Ом, можно определить по формуле:

, где UНОМ и IНОМ – номинальные значения напряжения и тока реактора.

Сопротивление двухобмоточного трансформатора, Ом, можно определить по формуле:

, где Sном – номинальная мощность трансформатора, МВА.

При КЗ за реактором или трансформатором, подключенным к шинам системы неограниченной мощности:

Для реакторов Для трансформаторов

IK – ток короткого замыкания;

SK – мощность короткого замыкания;

Iном – номинальный ток соответственно реактора и трансформатора.

При КЗ за трансформатором с изменяющимся под нагрузкой коэффициентом трансформации ток может изменяться в широких пределах в зависимости от положения регулирующего устройства. Это обстоятельство необходимо учитывать при расчёте токов КЗ. При расчёте минимального значения тока КЗ напряжение на стороне высшего напряжения принимается равным максимально допустимому для сети 110 кВ.

В сетях 0, 4 кВ, работающих с заземлённой нейтралью, необходимо рассчитывать токи КЗ не только при трёхфазном, но также и при однофазных КЗ на землю. Значения этих последних зависят не только от параметров питающего трансформатора, но и от схемы соединения его обмоток. Для трансформаторов со схемой соединения обмоток Д/УО значение тока в месте однофазного КЗ за трансформатором практически равно току трёхфазного КЗ в этой же точке. Для трансформаторов со схемой соединения обмоток У/УОток в месте однофазного КЗ за трансформатором значительно меньше тока трёхфазного КЗ в этой же точке.

Ток однофазного металлического КЗ за трансформатором со схемой соединения У/УО определим по формуле:

.

Uф=230 В – фазное напряжение для сети 0, 4 кВ;

тр – полное сопротивление трансформатора с соединением обмоток У/УО при однофазном КЗ на стороне 0, 4 кВ, Ом, отнесённое к напряжению 0, 4 кВ.

Sтр, кВА                
, Ом   0, 26 0, 16 0, 1 0, 065 0, 042 0, 027 0, 018

Существенное влияние на ток КЗ в сетях 0, 4 кВ может оказать переходное сопротивление в месте повреждения; это влияние сильнее при повреждениях за сравнительно мощными трансформаторами (1600 – 2500кВА). Значение переходного сопротивления при этом принимается порядка 0, 15 мОм. При повреждениях за маломощным трансформатором (100 – 160 кВА) влиянием переходного сопротивления можно пренебречь.


Поделиться с друзьями:

mylektsii.su - Мои Лекции - 2015-2026 год. (0.596 сек.)Все материалы представленные на сайте исключительно с целью ознакомления читателями и не преследуют коммерческих целей или нарушение авторских прав Пожаловаться на материал