Студопедия

Главная страница Случайная страница

КАТЕГОРИИ:

АвтомобилиАстрономияБиологияГеографияДом и садДругие языкиДругоеИнформатикаИсторияКультураЛитератураЛогикаМатематикаМедицинаМеталлургияМеханикаОбразованиеОхрана трудаПедагогикаПолитикаПравоПсихологияРелигияРиторикаСоциологияСпортСтроительствоТехнологияТуризмФизикаФилософияФинансыХимияЧерчениеЭкологияЭкономикаЭлектроника






Выбор количества и мощности трансформаторов на подстанции.






Выбор количества трансформаторов (АТ) зависит от требований к надежности электроснабжения питающихся от ПС потребителей. В практике проектирования на ПС рекомендуется, как правило, установка двух трансформаторов.Применение однотрансформаторных ПС допускается:

в качестве первого этапа сооружения двухтрансформаторной ПС. При этом на период работы одного трансформатора должно быть обеспечено резервирование электроснабжения потребителей по сетям вторичного напряжения;

для питания потребителей, допускающих перерыв электроснабжения на время, достаточное для замены поврежденного трансформатора (например, насосные станции орошения земель);

Установка более двух трансформаторов (АТ) применяется:

на ПС промышленных предприятий, если необходимо выделить по режиму работы толчковые нагрузки (например, электропечи);

если целесообразно использование на ПС двух средних напряжений;

если для покрытия нагрузки недостаточно предельной мощности двух трансформаторов по существующей шкале.

на действующей двухтрансформаторной ПС при росте нагрузок сверх расчетного уровня по согласованию с заказчиком.

если для повышения надежности электроснабжения потребителей по требованию заказчика целесообразна установка трех трансформаторов (например, на ряде ПС, обеспечивающих электроснабжение г. Москвы).

Мощность трансформаторов выбирается по нагрузке пятого года эксплуатации, считая с года ввода первого трансформатора в работу.

Мощность трансформаторов выбирается так, чтобы при отключении наиболее мощного из них на время ремонта или замены оставшиеся в работе (с учетом их допустимой по ТУ перегрузки и резерва по сетям СН и НН) обеспечивали питание полной нагрузки.

Суммарная установленная мощность трансформаторов должна удовлетворять условиям

где

n т, S т — количество и единичная мощность трансформаторов;

P max — максимальная нагрузка ПС в нормальном режиме;

Р ав = P maxР рез — нагрузка ПС в послеаварийном режиме после выхода из работы одного трансформатора;

Р рез — часть нагрузки ПС, резервируемая по сетям вторичного напряжения;

n отк — количество отключенных трансформаторов;

К ав — допустимый коэффициент перегрузки трансформатора в аварийных случаях по стандартам и ТУ

Выбор мощности трансформаторов классов напряжения до 110 кВ включительно производится согласно стандарту 14209—97. В соответствии со стандартом в аварийных случаях трансформаторы классов напряжения до 110 кВ включительно допускают перегрузку в 1, 4 номинальной мощности. Перегрузка допускается на время максимума нагрузки продолжительностью не более 4 ч в сутки при условии, что предшествующая нагрузка составляла не более 0, 8 номинального значения и температура охлаждающего воздуха во время перегрузки t = 20 °C. Поэтому для двухтрансформаторной ПС при отсутствии резервирования по сетям вторичного напряжения мощность каждого трансформатора должна быть не выше 0, 7 Р ав но не менее P max/2.

Мощность однотрансформаторной ПС определяется максимальной нагрузкой трансформатора в нормальном режиме. При проектировании нескольких взаиморезервируемых однотрансформаторных ПС мощность трансформаторов на них должна выбираться таким образом, чтобы в послеаварийном режиме с учетом указанной выше перегрузки обеспечивалось резервирование по сети НН наиболее мощной из ПС.

Выбор мощности АТ производится согласно ТУ № 3411-001-49890-270—2005 (см. п. 5.3.7). В соответствии с ТУ в аварийных случаях АТ допускают перегрузку в 1, 2 номинальной мощности. Перегрузка допускается на время максимума нагрузки продолжительностью не более 4 ч в сутки при условии, что предшествующая нагрузка составляла не более 0, 7 номинального значения и температура охлаждающего воздуха во время перегрузки t = 25 °C. Поэтому для двухтрансформаторной ПС при отсутствии резервирования по сетям вторичного напряжения мощность каждого АТ должна быть не выше 0, 6 P max.

При использовании на ПС одной группы однофазных АТ предусматривается установка резервной фазы. В отдельных случаях с целью повышения надежности электроснабжения потребителей на ПС с двумя группами однофазных АТ также предусматривается установка одной резервной фазы.

При росте нагрузок сверх расчетного уровня увеличение мощности ПС производится, как правило, путем замены трансформаторов на более мощные. Установка дополнительных трансформаторов должна быть обоснована и согласована с заказчиком.

Решение о замене трансформаторов (АТ), установке дополнительных и сохранении действующих принимается на основании данных о фактическом состоянии работающих трансформаторов, надежности их работы за истекший период, техническом уровне, фактическом сроке эксплуатации по отношению к нормативному сроку работы, росту нагрузок, развитии примыкающих электрических сетей и изменении главной схемы электрических соединений ПС.

При реконструкции ПС АТ, имеющие регулирование напряжения с помощью вольтодобавочных трансформаторов, включаемых в их нейтраль, заменяются на соответствующие АТ, имеющие встроенное регулирование напряжения на стороне СН.

На ПС 220 кВ и выше, на которых в течение расчетного периода и последующих пяти лет не предусматривается нагрузка на напряжении 6-10 кВ, рекомендуется применение АТ 220 кВ мощностью 63 или 125 МВА с третичной обмоткой напряжением 0, 4 кВ для питания собственных нужд ПС.

Для замены устаревшей группы АТ мощностью 3× 167 МВА напряжением 500/220 кВ рекомендуется применение трехфазного двухобмоточного АТ мощностью 500 МВА указанных напряжений при условии решения вопросов питания собственных нужд ПС и транспортировки АТ.

На ПС 110 кВ с отдаленной перспективой роста нагрузки или с резко переменным графиком нагрузки рекомендуется применять трансформаторы с форсированной системой охлаждения, имеющие повышенную нагрузочную способность. Трансформаторы с повышенной нагрузочной способностью (на основе применения форсированной системы охлаждения) мощностью до 100 МВА включительно напряжением 110 и 220 кВ применяются в соответствии с действующими нормативными документами и заводскими инструкциями.

На ПС 110 кВ с трехобмоточными трансформаторами при сочетании суммарных нагрузок по сетям СН и НН, не превышающих в течение расчетного периода и последующих пяти лет номинальной мощности выбираемого трансформатора, целесообразно выбирать трансформатор с неполной мощностью обмоток СН и НН.

При замене на ПС одного из двух трансформаторов (АТ) проверяются условия, обеспечивающие параллельную работу оставшегося в работе и нового трансформаторов в автоматическом режиме регулирования напряжения на соответствующей стороне. При применении линейных регулировочных трансформаторов проверяется их динамическая и термическая стойкость при КЗ на стороне регулируемого напряжения. В необходимых случаях предусматривается соответствующее реактирование.

При неполной замене фаз группы однофазных АТ возможность работы в одной группе старых и новых фаз АТ, отличающихся значениями напряжений КЗ, проверяется специальными расчетами.

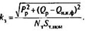
Выбор числа цеховых трансформаторов осуществляется одновременно с выбором компенсирующих устройств. Минимальное число цеховых трансформаторов определяют по формуле: (1)

где Sр — полная расчетная нагрузка потребителей на напряжение до 1 кВ; kз — коэффициент загрузки трансформаторов, принимаемый в зависимости от категории надежности потребителей электроэнергии; Sт.ном — номинальная мощность цехового трансформатора, принимаемая в зависимости от удельной плотности нагрузки. Полученное значение NTmin округляется до ближайшего большего целого числа. На выбор номинальной мощности трансформатора влияют следующие факторы: затраты на питающую сеть 0, 4 кВ, потери мощности в этой сети и потери мощности в трансформаторах, затраты на строительную часть подстанции. Число и мощность трансформаторов зависят от распределения потребителей по площади цеха, наличия места для расположения цеховых подстанций, характера и режима работы электроприемников. В проектной практике для двухтрансформаторных цеховых подстанций при преобладании потребителей I категории коэффициент загрузки трансформаторов кзтр принимается в пределах 0, 6 — 0, 7. Для однотрансформаторных подстанций при наличии взаимного резервирования по перемычкам с другими подстанциями на вторичном напряжении мощность трансформаторов выбирается с учетом степени резервирования. Коэффициент загрузки цеховых трансформаторов может быть принят: при преобладании потребителей II категории 0, 7 — 0, 8, а при потребителях III категории — 1. При этом число трансформаторов связано с их номинальной мощностью следующим образом: (2)

где Sт.номэ — экономически целесообразная номинальная мощность трансформатора. Значение Sт.номэ в выражении (2) принимают в зависимости от удельной плотности расчетной нагрузки. Максимальная мощность трансформаторов при плотностях нагрузки: до 0, 2 кВА/м2 — до 1000 кВА; от 0, 2 до 0, 5 кВА/м2 — от 1000 до 1600 кВА; свыше 0, 5 кВА/м2 - 1600 и 2500 кВА. Если Sуд ≥ 0, 4 кВА/м2, то независимо от требований надежности электроснабжения целесообразно применять двухтрансформаторные подстанции. Выражение (2) не означает, что если вначале целесообразна установка трансформаторов 1000 кВА, то через 5 лет при росте нагрузок их заменят на большие. Обычно осуществляют дополнительную установку трансформаторов, стараясь сохранить тип и мощность. Трансформаторы мощностью 630 кВА и менее следует применять для питания вспомогательных цехов и участков предприятий. С целью наибольшего приближения цеховых подстанций к электроприемникам сети до 1 кВ рекомендуется размещать трансформаторы внутри цехов открыто, но ограждая или пристраивать в зависимости от производственных условий и требований архитектурно-строительного оформления производственных зданий и сооружений. По возможности внутрицеховые подстанции размещают в центре электрических нагрузок, это позволяет сократить протяженность сетей 0, 4 кВ и уменьшить потери мощности и энергии в них. Для цехов небольшой ширины и для случая, когда часть потребителей расположена за пределами цеха, а также при затруднительном размещении подстанции внутри цеха применяют ТП, пристроенные к цеху. Возможно применение цеховых ТП с размещением щита низкого напряжения в цехе, а трансформатора — снаружи около питаемых им производственных зданий. В результате подстанция занимает значительно меньше площади цеха, чем встроенная. Отдельно стоящие закрытые цеховые подстанции применяют тогда, когда невозможно разместить ТП внутри цехов или у их наружных стен по требованиям технологии или пожаро- и взрывоопасности производства. Отдельно стоящие ТП могут применяться также для небольших предприятий при значительной разбросанности потребителей по их территории. Внутрицеховые подстанции целесообразны, главным образом, в многопролетных цехах большой ширины и в машинных залах. На каждой открыто установленной внутрицеховой подстанции могут применяться масляные трансформаторы с суммарной мощностью до 3, 2 MBA. Расстояние в свету между масляными трансформаторами разных КТП должно быть не менее 10 м. Если масляный трансформатор установлен в закрытой камере (КТП в отдельном помещении) внутри производственного здания, то расстояние не нормируется. В одном помещении внутрицеховой подстанции рекомендуется устанавливать одну КТП. Суммарная мощность масляных трансформаторов внутрицеховой подстанции, установленных на втором этаже, должна быть не более 1000 кВА. Установка выше второго этажа не допускается. В тех случаях, когда нагрузка не распределена, а сосредоточена на отдельных участках цеха, номинальную мощность трансформаторов по критерию удельной плотности нагрузки не выбирают. С точки зрения замены поврежденных трансформаторов, а также удобства монтажа и эксплуатации, рекомендуется унифицировать единичные мощности трансформаторов, т.е. иметь ограниченное число типов трансформаторов. Выбранное число трансформаторов NTmin способно передать в сеть напряжением до 1 кВ при заданном коэффициенте загрузки к3 реактивную мощность QT, значение которой определяется по формуле: - для трансформаторов масляных и заполненных негорючей жидкостью (3)

где коэффициент 1, 1 учитывает тот факт, что цеховые трансформаторы имеют, как правило, загрузку, не превышающую 0, 9, и коэффициент сменности по энергоиспользованию имеет значение менее 0, 9. Поэтому для масляных трансформаторов в течение одной смены может быть допущена систематическая перегрузка, равная 10 %; - для сухих трансформаторов (4)

Коэффициент 1, 05 учитывает тот факт, что перегрузочная способность сухих трансформаторов, согласно правилам эксплуатации электроустановок потребителей, примерно вдвое ниже, чем масляных трансформаторов. Мощность низковольтных конденсаторных батарей составляет: (5)

где Qнк1 — мощность низковольтных конденсаторных батарей, определенных по критерию выбора минимального числа цеховых трансформаторов; Qнк1 = Qр — Qт; Qp — расчетная реактивная нагрузка потребителей до 1 кВ; Qнк2 — дополнительная мощность конденсаторных батарей, установленных в сети напряжением до 1 кВ, определенная по критерию минимума потерь в сети 6 — 10 кВ. Значение QH к2 находят по формуле: (6)

где зк н, зк в — приведенные затраты на 1 квар мощности конденсаторной батареи, установленной в сети напряжением до и выше 1 кВ соответственно; Uном — номинальное напряжение сети, кВ; R — активное сопротивление сети, питающей цеховой трансформатор (в общем случае равно эквивалентному сопротивлению сети R = Rэкв); с0 — стоимость 1 кВт • ч электроэнергии. Мощность низковольтных конденсаторных батарей QHК распределяется пропорционально значениям Qp на шинах каждого трансформатора. По найденным значениям мощностей QНКi подбирают номинальную мощность фактически устанавливаемых батарей QHКФi и уточняют загрузку трансформатора в нормальном режиме работы (7)

Загрузка силовых взаиморезервируемых трансформаторов в послеаварийном режиме характеризуется коэффициентом кзав, который определяют по формуле: (8)

где Nт - число трансформаторов, принятых к установке с номинальной мощностью SТ ном. Для масляных трансформаторов мощностью до 2500 кВА значение kзав не должно превышать 1, 4 при длительности послеаварийного режима не менее 6 ч (время, необходимое для замены поврежденного трансформатора) и коэффициенте kз = 0, 9. Для сухих трансформаторов предельное значение kзав составляет 1, 2. Для трансформаторов, заполненных жидким диэлектриком, значения коэффициентов kз и kзав принимают как для масляных трансформаторов. Наиболее простым и дешевым решением является применение однотрансформаторных цеховых подстанций. На крупных предприятиях, имеющих складской резерв трансформаторов, их можно применять для питания электроприемников III и даже I категории. Однотрансформаторные подстанции могут применяться и для питания электроприемников I категории, если мощность последних не превышает 15 — 20 % мощности трансформатора и возможно резервирование подстанций на вторичном напряжении перемычками с АВР. Правила проектирования и общая тенденция повышения надежности электроснабжения ведет к установке двухтрансформаторных подстанций и для рассматриваемых случаев, т.е. к обеспечению всех потребителей как потребителей I категории. При установке однотрансформаторных подстанций они могут быть закольцованы на стороне 0, 4 кВ (соединены магистралями или кабельными перемычками). Это обеспечивает сохранение электроснабжения при отключении любого трансформатора и возможность загрузки каждого трансформатора до номинального значения. Двухтрансформаторные цеховые подстанции применяют при преобладании электроприемников I и II категорий и в энергоемких цехах. Число и мощность трансформаторов цеховых подстанций являются взаимосвязанными величинами, поскольку при заданной расчетной нагрузке цеха число трансформаторов будет меняться в зависимости от принятой единичной мощности КТП. При выборе цеховых трансформаторов обычно приходится сравнивать трансформаторы КТП единичной мощностью 630, 1000, 1600, 2500 кВА. Увеличение единичной мощности снижает общее количество устанавливаемых трансформаторов, но увеличивает протяженность сетей, а также затраты на коммутационную аппаратуру и др., связанные с ростом токов КЗ. Практика проектирования и эксплуатации отдает предпочтение трансформаторам 1000 кВА (и в меньшей степени 630 кВА), считая эту мощность оптимальной. Комплектные ТП 6 — 10 кВ общего назначения для внутренней установки выпускаются одно- и двухтрансформаторными с трансформаторами ТМФ, ТМЗ, ТСЗ, НТЗ. Шкала трансформаторов стандартная: 250, 400, 630, 1000, 1600, 2500 кВА. Все КТП выпускают с вторичным напряжением 0, 4 кВ, модифицированные 2КТПМ-1000-6 и 2КТПМ-2500-10 выпускаются на 0, 69 кВ. Шкафы низкого напряжения КТП комплектуют шкафами типа КРН, КН, ШНВ, ШНЛ, ШНС, ШН и др. Подстанции с трансформаторами 630 и 1000 кВА комплектуют шкафами типа КН, КРН, ШРН с универсальными втычными (выкатными) автоматическими выключателями с моторным приводом или без него со следующими схемами заполнения: шкафы ввода — с выводами шин вверх на магистраль и двумя отходящими линиями; шкафы ввода и секционный — с двумя выключателями на отходящих линиях; шкаф отходящих линий — с тремя выключателями. Подстанции с трансформаторами 1600 и 2500 кВА комплектуют выключателями на вводе, которые отключают соответствующие номинальные токи и токи КЗ. На отходящих линиях могут устанавливаться выключатели, как и на подстанциях с трансформаторами 1000 кВА.


Поделиться с друзьями:

mylektsii.su - Мои Лекции - 2015-2026 год. (1.261 сек.)Все материалы представленные на сайте исключительно с целью ознакомления читателями и не преследуют коммерческих целей или нарушение авторских прав Пожаловаться на материал