Студопедия

Главная страница Случайная страница

КАТЕГОРИИ:

АвтомобилиАстрономияБиологияГеографияДом и садДругие языкиДругоеИнформатикаИсторияКультураЛитератураЛогикаМатематикаМедицинаМеталлургияМеханикаОбразованиеОхрана трудаПедагогикаПолитикаПравоПсихологияРелигияРиторикаСоциологияСпортСтроительствоТехнологияТуризмФизикаФилософияФинансыХимияЧерчениеЭкологияЭкономикаЭлектроника






Четырехзондовый метод измерения электропроводности пленок






Наиболее распространенным методом определения удельного сопротивления полупроводников является четырехзондовый метод. Он относится к группе измерений с присоединением к образцу токопроводящих или измерительных контактов. Этот метод позволяет учесть влияния размеров и форм образца на результаты измерений. Методика измерения удельного сопротивления четырехзондовым методом обеспечивает учет и компенсацию дополнительной разности потенциалов, которая возникает при контакте измерительного зонда с полупроводником и может оказать влияние на результаты измерений.

Рассмотрим четырехзондовый метод измерения удельного сопротивления применительно к полубесконечному образцу полупроводника, ограниченного плоской поверхностью. На эту поверхность, перпендикулярно к ней, помещают 4 тонких остро заточенных металлических зонда (рис.1).

Рис. 1. Электрическая схема измерения удельного и поверхностного сопротивления 4-зондовым методом ИН – источник постоянного напряжения U – вольтметр

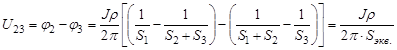
Все четыре зонда расположены на одной прямой. Через внешние зонды 1 и 4 пропускают электрический ток от источника тока ИТ, а между зондами 2 и 3 вольтметром V измеряют разность потенциалов. Зная J14 и U23, нетрудно найти значение удельного сопротивления. Действительно, в предположении полубесконечности образца каждый зонд создает вокруг себя сферическое поле. В любой точке на поверхности полусферы радиуса r плотность тока, напряженность поля и потенциал, поэтому, будут

Разность потенциалов между зондами 2 и 3 должна учитывать влияние поля крайних зондов. Поэтому

Если S1=S2=S3=S, то .

Чувствительность данного метода по напряжению dU/dρ пропорциональна току и обратно пропорциональна Sэкв.. Ток через образец увеличивать нежелательно (из-за термоэлектрических эффектов при нагревании образца U23 может быть искажено), поэтому для увеличения чувствительности можно увеличивать S2, уменьшая S1 и S3.

Обычно при измерениях удельного сопротивления всегда наблюдается некоторый градиент температуры вдоль образца, который вызывает появление термоэдс Δ U на измерительных зондах. Так как величина и направление термоэдс в течение достаточно большого времени остаются постоянными, её влияние можно исключить, измеряя напряжение между зондами 2 и 3 при 2-х различных направлениях тока через образец.

Вопросы для подготовки допуска

1. От чего зависит проводимость полупроводников?

2. Сущность четырёхзондового метода определения проводимости.

3. Порядок и особенности проведения измерений на стенде.

6. Погрешности измерений удельного сопротивления, локальность метода.


Поделиться с друзьями:

mylektsii.su - Мои Лекции - 2015-2026 год. (0.583 сек.)Все материалы представленные на сайте исключительно с целью ознакомления читателями и не преследуют коммерческих целей или нарушение авторских прав Пожаловаться на материал