Студопедия

Главная страница Случайная страница

КАТЕГОРИИ:

АвтомобилиАстрономияБиологияГеографияДом и садДругие языкиДругоеИнформатикаИсторияКультураЛитератураЛогикаМатематикаМедицинаМеталлургияМеханикаОбразованиеОхрана трудаПедагогикаПолитикаПравоПсихологияРелигияРиторикаСоциологияСпортСтроительствоТехнологияТуризмФизикаФилософияФинансыХимияЧерчениеЭкологияЭкономикаЭлектроника






Общий белок.






В норме составляет 65 -85г/л. Общий белок - это совокупность всех белковых веществ крови. ГИПОПРОТЕИНЕМИЯ. Причины:

1.дефицит аминокислот в организме - нарушение поступления, низко белковое питание, нарушение переваривания и всасывания

2.усиление распада белков - голодание, повышение потребностей в энергии и пластическом материале (беременность, травмы)

3. выведение белков из кровеносного русла - перераспределение (из кровеносного русла белки уходят в ткани - ЭКССУДАЦИЯ, ТРАНССУДАЦИЯ), выделение из организма во внешнюю среду (нарушение фильтрации почек, кровотечение)

4. нарушение белоксинтезирующей функции печени.

Абсолютная ГИПОПРОТЕИНЕМИЯ развивается за счёт ГИПОАЛЬБУМИНЕМИИ. При относительной соотношение между фракциями не меняется.

Абсолютная ГИПЕРПРОТЕИ'НЕМИЯ возникает при остром воспалительном процессе за счёт повышения уровня антител и белковой фазы острого воспаления, появление ПАРАПРОТЕИНОВ. Абсолютная ГИПЕРПРОТЕИНЕМИЯ реализуется за счёт фракции глобулинов. Относительная ГИПЕРПРОТЕИНЕМИЯ не сопровождается изменениями между фракциями.

АЛЬБУМИНЫ в норме составляют 35 - 50г/л. ГИПОАЛЬБУМИНЕМИЯ причины аналогичны гипопротеинемии. При понижении альбуминов ниже 30 г/л возникают отёки. ГИПЕРАЛЬБУМИНЕМИЯ возникают из-за гемаконцентрации, ядрогенная при введении растворов альбуминов в кровь больного. Истинной не встречается.

ГЛОБУЛИНЫ в норме составляют 20 - 30г/л.

Альфа-1 -ГЛОБУЛИНЫ:

Альфа -АНТИТРИПСИН обладает антипротеиназной активностью как к собственным ферментам организма (трипсин, пепсин и т.д.), так и к ферментам микрофлоры. Оказывает противовоспалительное действие. Повышается в острой фазе воспаления, как защитный процесс, поэтому он называется белком острой фазы. Понижается при нарушении белоксинтезирующей функции печени, генетический дефект синтеза.

Альфа -СЕРОМУКОЙДЫ - белки клеточных мембран. Поступают в кровь за счёт обновления или распада клеток. Обнаруживаются в печени в ответ на воспаление, относятся к маркёрам острой фазы воспаления.

Альфа -ФЕТОПРОТЕИН фетальный белок. В норме в большом количестве во внутриутробном плоде. Используется как маркер внутриутробного развития. В организме плода выполняет важные функции: заменяет альбумины, участвует в органогенезе, защищает ткани плода от избытка эстрогена беременной женщины. У взрослых содержится в очень малом количестве - не более 15мг/л. Повышается его содержание при опухолевом росте тканей, развивающихся из зачатка желточного мешка (является маркером рака печени); при беременности используется в акушерстве для оценки состояния ФЕТОПЛАЦЕНТАРНОГО комплекса (перенатальная диагностика).

Альфа-2 -ГЛОБУЛИНЫ:

Альфа -МАКРОГЛОБУЛИНЫ по функции аналогичны антитрипсину. Защищает функциональные белки от протеолитических ферментов. Обладают противомикробной активностью. Повышается содержание в острую фазу воспаления, при потере альбуминов с мочой.

ГАПТОГЛОБИН - связывает и транспортирует свободный гемоглобин в клетки РЭС. Является антиоксидантом, т.к. связывает гемоглобин, который в свободном виде - сильнейший яд, активирующий свободно-радикальные процессы.

ЦЕРУЛЛОПЛАЗМИН (МЕДЬСОДЕРЖАЩЯЯ ОКСИДАЗА) выполняет ряд функций:

1. транспортирует ионы меди, связывает и удерживает их в кровеносном русле

2. обладает ферментативной активностью, катализируя окисление Fe(2+) ® Fe(3+), что

обеспечивает его транспорт трансферрином

3. обладает противовоспалительным действием

4. является антиоксидантом, обезвреживает активные формы кислорода и ПОЛ.

 

Содержание повышается: в острую фазу воспаления, при циррозе печени, заболеваниях печени воспалительного характера, нарушении белоксинтезирующей функции печени. Болезнь ВИЛЬСОНА - КОНОВАЛОВА: церуллоплазмин не удерживается в крови, а выходит в ткани и с мочой, а также откладывается в прозрачных средах глаза. Бета -ГЛОБУЛИНЫ.

ТРАНСФЕРРИН - белок, транспортирующий ионы железа. Максимально транспортирует 2 иона железа. Повышается при дефиците железа в организме. Понижается его содержание при нарушении синтеза в печени, при остром воспалении (негативный маркер острой фазы воспаления). У пациентов с врожденной ГИПО- и АТРАНСФЕРРИНЕМИЕЙ не удается вылечить анемию.

ГЕМОПЕКСИН - аналогичен гаптоглобину, но транспортирует свободный гемоглобин в клетки РЭС. Повышается в острую фазу воспаления. Понижается при гемолизе.

ФИБРИНОГЕН (в норме 2 - 4г/л) - компонент свёртывающей системы крови. При формировании сгустка превращается в фибрин. Фибриноген содержится в плазме крови, а в сыворотке крови его нет. Повышается (ГИПЕРФИБРИНОГЕНЕМИЯ) в острую фазу воспаления с целью отграничения здоровой ткани от патологической, при тромботических заболеваниях (ГИПЕРКОАГУЛЯЦИЯ). Понижается (ГИПОФИБРИНОГЕНЕМИЯ) при нарушении его синтеза в печени, врожденных дефектах образования.

С-реактивный белок назван так по способности реагировать с С-полисахаридом пневмококка и многих других микроорганизмов и аномальных клеток организма. Эта реакция необходима для активации фагоцитоза, следовательно, обладает противовоспалительным действием, способствует фагоцитозу, обеспечивает действие клеток иммунной системы. В норме содержится в количестве 6 мг/л. Повышается при бактериальной инфекции и неинфекционном воспалении. Является маркером острой фазы воспаления. Концентрация его пропорциональна массе микробных тел в организме или количеству антигенов.

Гамма -ГЛОБУЛИНЫ (ИММУНОГЛОБУЛИНЫ и АНТИТЕЛА).

Повышение титра иммуноглобулинов:

IgM - острый инфекционный процесс;

IgG - хронический воспалительный процесс и после острого заболевания;

IgA - секреторный иммуноглобулин поверхности слизистых оболочек;

IgE - антитела аллергии;

IgD. Функция неизвестна.

Повышение (ГИПЕРГАММАГЛОБУЛИНЕМИЯ) при иммуновоспалительном процессе.

Понижение (ГИПОГАММАГЛОБУЛИНЕМИЯ) при подавлении гуморального звена иммунитета

(лучевая болезнь, иммунодефицит, истощение организма). Качественные изменения заключаются в появлении ПАРАПРОТЕИНОВ. Это изменённые антитела, продукты аномального синтеза иммуноглобулинов патологически изменёнными клетками иммунной системы. Могут занимать любое положение на электрофораграмме. При понижении температуры переходит в нерастворимое состояние, обуславливая холодовую аллергию (КРИОПАРАПРОТЕИНЫ). При повышении температуры тела более 37грд. Переходят в гель (ПИРОПАРАПРОТЕИНЫ). Реакция обратима, при восстановлении температуры до нормы этот белок вновь растворяется. Содержание его повышается при опухоли лимфатической ткани. КРИОПАРАПРОТЕИНЫ повышаются с возрастом.

Н ЕБЕЛКОВЫЕ АЗОТСОДЕРЖАЩИЕ ВЕЩЕСТВА.

Остаточный азот - совокупное содержание азота всех небелковых веществ крови. В норме 14 -28ммоль/л. Компоненты остаточного азота:

1. Метаболиты: аминокислоты (25%), креатин (5%), полипептиды и нуклеотиды (3, 5%)

2. Конечные азотистые продукты: мочевина(50%), мочевая кислота (4%), креатинин (2, 5%), индикан и аммиак.

ГИПЕРАЗОТЕМИЯ: 1. Продукционная АЗОТЕМИЯ - активный распад белков. 2.РЕТЕНЦИОННАЯ АЗОТЕМИЯ - задержка азотистых шлаков в организме за счёт нарушения функции почек. Например, повышение мочевины. При интенсивном распаде нуклеиновых кислот, подагре повышается мочевая кислота. При патологии мышц повышается креатин.

 

 

УГЛЕВОДНЫЙ ОБМЕН.

Глюкоза в цельной капиллярной крови натощак - 3, 3 - 5, 5ммоль/л

ГИПЕРГЛИКЕМИЯ: избыток контринсулярных гормонов, дефицит инсулина (ИЗСД), нарушение функции рецепторов (ИНСД), стресс (адреналин повышает уровень глюкозы), употребление избытка углеводов.

ГИПОГЛИКЕМИЯ: передозировка инсулина, недостаток контринсулярных гормонов в организме, голодание.

Кетоновые тела (не более 0, 1 г/л) - ацетон, ацетоуксусная кислота, бета -гидроксимасляная кислота. При дефиците углеводов в клетке жиры не могут полностью окисляться, и избыток ацетил-КоА компенсируется образованием кетоновых тел. Уровень кетоновых тел повышается при сахарном диабете и голодании и. Опасно в отношении КЕТОАЦИДОЗА.

ЛИПИДНЫЙ ОБМЕН.

ХОЛЕСТЕРИН (3 - 5, 2ммоль/л) в плазме находится в составе ЛПНП, ЛПОНП, и ЛПВП. Вероятность развития атеросклероза связана с коэффициентом атерогенности.

К *ЛП=- Хс*ЛПНП + Хс*ЛПОНП

Хс ВП

Идеальное значение К=1, но может быть только у новорождённых. У взрослых К не более 3. ГИПЕРХОЛЕСТЕРИНЕМИЯ: атеросклероз (избыток ЛПНП, ЛПОНП), сахарный диабет (избыток ацетил -КоА), подпечёночная желтуха, гипофункция щитовидной железы. ГИПОХОЛЕСТЕРИНЕМИЯ: голодание, истощающие заболевания, наследственные нарушения синтеза холестерина, нарушение функции печени, гиперфункция щитовидной железы.

БИЛИРУБИН (в норме 8-20ммоль/л). КБ 2-8ммоль/л. Чаще встречается ГИПЕРБИЛИРУБИНЕМИЯ.

Натрий это основной внеклеточный ион. На его уровень в крови влияют МИНЕРАЛОКОРТИКОИДЫ. Повышение его концентрации при сгущении крови, избыток хлорида натрия в пище. Понижается при длительной рвоте, длительном поносе, повышении концентрации воды в крови. Калий - это главный внутриклеточный ион. Повышается при избытке в пище калий содержащих продуктов (бананы), нарушении функции почек Понижается при задержке натрия в организме (при гиперсекреции альдостерона), недостаток калия в продуктах, ГЕМОДЕЛЛЮЦИЯ. Понижение уровня калия ведёт к нарушению сердечного ритма.

Кальций (2, 2 -2, 6ммоль/л). Повышается при массивном распаде костной ткани, ГИПЕРПАРАТИРЕОЗ, ГИПЕРВИТАМИНОЗ D, понижение уровня кальцитонина. Понижается при ГИПОПАРАТИРЕОЗЕ, ГИПОВИТАМИНОЗЕ D, гиперсекреции кальцитонина. Фосфор (1 - 2ммоль/л) входит в состав буферных систем крови, следовательно, его уровень влияет на кислотно-щелочное равновесие. Повышается при ГИПОПАРАТИРЕОЗЕ, ГИПОВИТАМИНОЗЕ D, заболевании костей. Понижается при ГИПЕРПАРАТИРЕОЗЕ, рахите, нарушении всасывания фосфатов в ЖКТ.

Показатели КЩС (кислотно-щелочного состояния) крови (рН =7, 36 - 7, 44)

рН изменяется только при декомпенсированных изменениях КЩС: ДЕКОМПЕНСИРОВАННЫЙ АЛКАЛОЗ (рН > 7, 44), ДЕКОМПЕНСИРОВАННЫЙ АЦИДОЗ (рН < 7, 36).

ВВ (buffer basis) - совокупное содержание оснований всех буферных систем крови. В норме ВВ = 40 -60ммоль/л. КОМПЕНСИРОВАННЫЙ АЦИДОЗ - ВВ < 40ммоль/л.

КОМПЕНСИРОВАННЫЙ АЛКАЛОЗ - ВВ > 60ммоль/л.

ФЕРМЕНТЫ СЫВОРОТКИ КРОВИ.

ПЛАЗМОСПЕЦИФИЧЕСКИЕ - целенаправленно выделяются в кровь для выполнения определённых функций. Активность в крови больше, чем в тканях. Например, ферменты свёртывания крови, ренин (вырабатывается в почках), холинэстераза (в печени). Повышение или понижение имеет диагностическое значение.

ПЛАЗМОНЕСПЕЦИФИЧЕСКИЕ не требуются для выполнения функций крови. Поступают в плазму из тканей в результате нормальной проницаемости мембран и обновления клеток. Например, АЛАТ, АСАТ, ЛДГ и др. Повышение не менее чем на 70% по сравнению с верхней границей нормы имеет диагностическое значение.

Причины повышения ПЛАЗМОНЕСПЕЦИФИЧЕСКИХ ферментов: повышение проницаемости клеточных мембран, цитолиз, некроз, нарушение выделения ферментов из крови, мифация ферментов из секрета в кровь (нарушение оттока этих секретов), усиление синтеза (при рахите повышается уровень ЩФ -щелочной фосфатазы).

 

АЛАТ- (0, 1 - 0, 8ммоль/л). Наибольшее его количество в печени, меньше - в скелетных мышцах, миокарде и др. Повышение активности наблюдается при заболеваниях печени, мышц, миокарда. Это цитоплазменый фермент цотолиза. Активность его повышается в ранние стадии заболевания. АСАТ (0, 1 - 0, 45ммоль/л). Наибольшее содержание в мышцах, в печени. Повышение уровня активности АСАТ свидетельствует о глубоком поражении печени. Повышение активности АСАТ - при заболеваниях мышц, генетических заболеваниях, травмах, воспалениях, а также при заболеваниях миокарда и печени. При заболеваниях печени повышение АЛАТ равно повышению АСАТ и означает глубокое поражение. ЛДГ (не более 4ммоль/л) является тетрамером: состоит из Н (сердце) и М (мышца) единиц. Представлена пятью изомерами: ЛДГ-1 (миокард), ЛДГ-2 (миокард, эритроциты, почки), ЛДГ-3 (легкие, ПЖЖ), ЛДГ-4 (скелетная ткань), ЛДГ-5 (скелетная мускулатура, печень). КФК (КРЕАТИНФОСФОКИНАЗА) - 0, 16 - 0, 3ммоль/л. Состоит из 2-х единиц: В (мозг), М (мышцы).КФК-1 (ВВ, 0%, ЦНС) повышается при глубоком тяжёлом поражении (опухоль, травма, ушиб мозга). КФК-2 (MB, 3%, миокард) повышается при инфаркте миокарда, травме сердца. КФК-3 (ММ, 97%, мышечная ткань) повышается при поражении миокарда, синдром длительного давления.

ЩФ (ЩЕЛОЧНАЯ ФОСФАТАЗА) - 0, 6 - 1, 3ммоль/л. Источники: костная ткань (образуется остеобластами), билиарная система (эпителий желчных протоков). Повышается при: заболеваниях костной ткани, метастазах опухолей в костную ткань, рахите, остеопорозах, под печеночной желтухе.

Альфа -АМИЛАЗА синтезируется в ПЖЖ и слюнных железах. В крови повышается при панкреатитах, реже при воспалении слюнных желез. Панкреатическая амилаза фильтруется в мочу.

БИОХИМИЯ ПОЧЕК.

ФУНКЦИИ ПОЧЕК:

1.Экскреторная функция - это выделение мочевины, мочевой кислоты, креатина, лекарств, токсинов, избытка воды, микроэлементов, электролитов. Состоит из трёх фаз:

A) КЛУБОЧКОВАЯ УЛЬТРАФИЛЬТРАЦИЯ. В клубочках за счёт разницы гидростатического давления образуется первичная моча, состав которой по содержанию низкомолекулярных веществ не отличается от плазмы крови. В малых количествах могут содержаться альбумины.

B) КАНАЛЬЦЕВАЯ РЕАБСОРБЦИЯ. Обратное всасывание воды, ионов натрия, магния, хлора, фосфора, глюкозы, белков. Т.е. те вещества, в которых нуждается организм. В результате моча становится более концентрированной. Способность концентрировать мочу - важный показатель функции почек. Он оценивается по плотности мочи. Практически обратно не всасывается КРЕАТИНИН. В небольшом количестве всасывается мочевина, мочевая кислота, т.е. реабсорбция носит избирательный характер.

C) КАНАЛЬЦЕВАЯ СЕКРЕЦИЯ ионов калия, аммония, водорода. При повышении концентрации веществ секретируется вода. Образуется вторичная моча.

Вещества, находящиеся в моче делятся на:

в норме не фильтруемые грубодисперсные высокомолекулярные вещества, которые не могут преодолеть почечный барьер. Их появление говорит о нарушении фильтрации.В норме фильтруются соединения, они присутствуют в первичной моче, но не все из них присутствуют во вторичной моче. Они делятся:

- пороговые из первичной мочи реабсорбируются (аминокислоты, глюкоза). Во вторичной моче в норме содержатся. Имеют порог реабсорбции - верхний предел концентрации вещества в крови, преодоление которого влечёт не эффективное обратное всасывание. Для глюкозы – 10 ммоль/л. Появление пороговых веществ в крови выше нормы влечёт их появление в моче.

- без пороговые соединения выделяются во вторичную мочу независимо от функции почек (мочевина, креатинин). Они обратно не всасываются.

2.Регуляторная и гомеостатическая.

A) регуляция артериального давления посредством ренина,

B) регуляция объёма внутриклеточной жидкости (альдостерон, АДГ),

C) регуляция осмотического давления (вазопрессин),

D) регуляция КЩС.

 

АЦИДОГЕНЕЗ - активное выведение кислот из организма. Происходит в эпителии почечных канальцев. Он обеспечивает выведение избытка ионов водорода, сбережение ионов натрия и гидрокарбонат анионов, благодаря чему обеспечивается буферная ёмкость крови.

АММОНИОГЕНЕЗ происходит в эпителии почечных канальцев. В итоге выводится аммиак, связываются протоны в моче и понижается её кислотность, выводятся хлориды.

3.Секреторная функция:

A) образование ЭРИТРОПОЭТИНОВ,

B) образование РЕНИНА,

C) образование КАЛЫДИТРИОЛА.

4.Антитоксическая функция:

A) АММОНИОГЕНЕЗ,

B) реакции конъюгации с глюкуроновой, серной и уксусной кислотами,

C) реакции окисления некоторых токсических веществ.

ФИЗИЧЕСКИЕ СВОЙСТВА МОЧИ. Количество мочи - 1, 2 - 1, 5л/сутки.

ПОЛИУРИЯ - повышение количества мочи:

1.усиление фильтрации (под действие адреналина повышается фильтрационное давление в капиллярах почек),

2.понижение реабсорбции воды и натрия (недостаток альдостерона и АДГ - не сахарный диабет),

3.повышение содержания в моче осмотически активных веществ (глюкоза, мочевина, белок)

4.повышение онкотического давления при понижении концентрации белков в плазме

5.понижение активности натрий сберегающий процессов (АЦЙДО и АММОНИОГЕНЕЗ)

6.угнетение систем реабсорбции при повреждении почечных канальцев.

ОЛИГОУРИЯ - понижение количества мочи:

1.снижение фильтрации (понижение АД и давления в почечных капиллярах)

2.повышение обратного всасывания воды и натрия (избыток альдостерона и АДГ)

3.понижение осмотического и онкотического давления крови

4.угнетение всех фаз образования мочи (резкое понижение количества нефронов). АНУРИЯ - полное отсутствие мочи при выраженной почечной недостаточности.

Цвет мочи в норме от светло до темно-жёлтого (соломенно-желтый). Бесцветная моча при ПОЛИУРИИ. Коричневый (зеленовато-бурый) цвет появляется за счёт желчных пигментов при под печеночной и печеночной желтухе, из-за появления КБ. Розовый цвет - ЭРИТРОЦИТУРИЯ при патологии почечного фильтра. Ярко-красный цвет - наличие в моче свежей крови (травмы МВП). ГЕМАТУРИЯ может быть почечной и вне почечной. Моча может быть подкрашена пищевыми веществами или медикаментами, содержащими красители. Запах в норме специфический. Резко аммиачный запах при повышении распада белков в организме. Фруктовый запах (ацетон) говорит о наличии кетоновых тел (сахарный диабет, голодание). Гнилостный запах - процессы распада в мочевом пузыре (гангрена). Каловый запах -наличие ВЕЗИКАЛЬНО-РЕКТАЛЬНЫХ свищей. Реакция среды в норме слабокислая (рН =5, 0 - 7, 0). Повышение рН более 7, 0 говорит об угнетении функции почек (АЛКАЛОЗ). Понижение рН менее 5, 0 - АЦИДОЗ за счёт удаления избытка протонов и за счёт выделения кетоновых тел. При употреблении значительного количества белковой пищи происходит закисление, а растительной - защелачивание мочи. Суточные колебания плотности в норме 1, 005 - 1, 030г/мл. Одинаково монотонная плотность - ИЗОСТЕНУРИЯ. Нарушение концентрационной функции почек: ГИПОСТЕНУРИЯ (понижение плотности) - преобладание процессов фильтрации над ребсорбцией. Возникает при несахарном диабете и заболеваниях почек. ГИПЕРСТЕНУРИЯ (повышение плотности) - при появлении веществ в норме отсутствующих в моче (глюкоза, кровь, белки, слизь). Прозрачность мочи в норме полная. Моча мутная из-за присутствия нерастворимых солей (УРАТОВ, ОКСАЛАТОВ), слизи, гноя, белка.

 

 

ХИМИЧЕСКИЙ СОСТАВ МОЧИ.

Общий азот - это совокупность азота всех азотсодержащих веществ в моче. В норме 10 - 18г. ГИПЕРАЗОТУРИЯ - распад белков в организме, употребление большого количества мясной пищи. ГИПОАЗОТУРИЯ - нарушение функции почек. Компоненты общего азота:

1.Мочевина (20 - 35г/сутки). Повышается при повышенном распаде белков при нормальной функции печени, высокобелковое питание. Понижается при нарушении синтеза в печени, нарушении функции почек.

2.Мочевая кислота (0, 3 - 1, 2г/сутки) является продуктом катаболизма пуринов. ГИПЕРУРИКУРИЯ наблюдается при распаде нуклеопротеинов, при употреблении большого количества белков пищи, при некоторых видах подагры. ГИПОУРИКУРИЯ: определённые формы подагры с нарушением выделения мочевой кислоты, нарушение фильтрации мочевой кислоты почками.

3. Креатинин (0, 8 - 2, 3г/сутки). Повышается при усиленном распаде компонентов мышечной ткани (травмы мышц), увеличение употребления мясной пищи. Понижается при угнетении фильтрации почками.

4. Белок (не более ЗОмг/л). Качественными реакциями не обнаруживается. ПРОТЕИНУРИЯ наблюдается при гематурии, нарушении функции почек.

ПАТОЛОГИЧЕСКИЕ КОМПОНЕНТЫ. В норме в моче отсутствуют.

Желчные пигменты, билирубин - печёночная и под печеночная желтухи. Кетоновые тела - сахарный диабет, голодание. Глюкоза (ГЛЮКОЗУРИЯ) - сахарный диабет, почечная недостаточность. Кровь (ГЕМАТУРИЯ) - повреждение МВП, почечная недостаточность. Индол в отсутствии индикана - угнетение детоксикационной функции печени. Индикан в отсутствии индола - повышение процессов гниения белков в кишечнике при нормальной функции печени.

Лекция №31. Биохимия нервной ткани.

1. ХИМИЧЕСКИЙ СОСТАВ НЕРВНОЙ ТКАНИ.

2. ОСОБЕННОСТИ ОБМЕНА ВЕЩЕСТВ В НЕРВНОЙ ТКАНИ.

3. ХИМИЧЕСКАЯ ПЕРЕДАЧА НЕРВНОГО ВОЗБУЖДЕНИЯ.

ХИМИЧЕСКИЙ СОСТАВ НЕРВНОЙ ТКАНИ. Функции нервной системы:

1. координация и регуляция обмена веществ,

2. обеспечение связи организма с внешней средой.

Химический состав нервной ткани сложен и неоднороден, как в целом и сама нервная ткань. Отличия в химическом составе носят в основном количественный характер. В сером веществе 77 -81% воды, в белом-70%. Содержание белков в нервной ткани меньше, чем в некоторых других тканях (печень, мышцы). Их больше в сером веществе и меньше в периферических нервах. В нервной ткани содержится больше сложных белков: ЛИПОПРОТЕИНЫ (миелиновые оболочки), ФОСФОПРОТЕИНЫ, НУКЛЕОПРОТЕИНЫ (ДНП, РНП), ГЛИКОПРОТЕИНЫ (нейрокератин), En.

Наибольший интерес представляют нейроспецифические белки:

1. белок S-100 (растворим в 100% растворе (NH4)2SO4). Он повышается в ткани мозга в эксперименте при обучении и эмоциональном воздействии. Считают, что этот белок отвечает за формирование зависимостей (алкогольной, наркотической). ПРОПРОТЕИН - антитело к белку S-100, понижает его содержание в ткани мозга.

2. Белок 14-3-2 играет важную роль в формировании памяти.

3. НЕЙРОПЕПТИДЫ - играют роль нейромедиаторов и гормонов. Пептиды памяти, боли, сна. Не белковые азотистые соединения те же самые, что и в других тканях, но отличаются по

количественному составу. В нервной ткани много свободных аминокислот, г.о. дикарбоновых (ГЛУ, ГЛН, ACП, АСН), ГАМК, ароматические аминокислоты, ЦАМФ и ЦГМФ. Углеводов незначительное количество:

 

1. резервные углеводы - гликоген (0, 1 %)

2. глюкоза (1 -4мкмоль/л)

3. гексозофосфаты

4. триозофосфаты

5. ПВК

6. молочная кислота.

ЛИПИДОВ в сером веществе 25%, в белом веществе 50%.

1. ФОСФОЛИПИДЫ (до 50%) - ПЛАЗМОГЕН АЦЕТАЛЬФОСФАТИДЫ.

2. ГЛИКОЛИПИДЫ - ЦЕРЕБРОЗИДЫ, ГАНГЛИОЗИДЫ.

3. ВЖК - в основном непредельные, содержащие по 4 - 5 двойных связей.

4. Холестерин (25%) в свободном виде. Мозг даже называют депо холестерина.

5. Нейтральные жиры - в незначительном количестве в головном, но в большом количестве в периферических нервах.

Минеральные вещества представлены катионами калия, натрия, кальция, магния, железа, меди, цинка, в качестве анионов выступают анионы белков и фосфаты.

ОСОБЕННОСТИ ОБМЕНА ВЕЩЕСТВ В НЕРВНОЙ ТКАНИ. Особенности энергетического обмена.

1. В ткани головного мозга очень высока интенсивность дыхания. Мозг потребляет кислород больше, чем постоянно функционирующий миокард, на 20% больше покоящиеся мышцы. 20 - 25% всего кислорода приходится на долю головного мозга, у детей грудного возраста -50%. За 10 секунд мозг поглощает весь кислород, находящийся в ткани. Из этого следует особая важность адекватного кровоснабжения нервной ткани. Прекращение кровоснабжения ГМ 6 -8 секунд приводит к потере сознания.

2. Основным субстратом окисления является глюкоза. ДЫХ. КОЭФ.=V(СО2)/V(О2)=1, 0

Мозг это единственный орган, использующий в качестве источника энергии исключительно глюкозу.

3. До 70% АТФ используется для поддержания ионных градиентов (удаление натрия из клетки).

ОСОБЕННОСТИ УГЛЕВОДНОГО ОБМЕНА.

Исходный субстрат окисления - глюкоза. 85% окисляется аэробно. Функция головного мозга зависит от концентрации глюкозы в крови. ГИПОГЛИКЕМИЯ ведёт к судорогам, смерти. 0, 1% гликогена обновляется в ткани мозга за 4 часа. Распад идет двумя путями: ФОСФОРОЛИТИЧЕСКИМ и ГИДРОЛИТИЧЕСКИМ.

При нарушении обмена углеводов нарушается функция головного мозга. Эффект снотворных веществ связан с торможением окисления углеводов. Недостаток витамина BI ведёт к нарушению углеводного обмена и полиневритам.

ОСОБЕННОСТИ ОБМЕНА БЕЛКОВ И АМИНОКИСЛОТ.

При возбуждении нервной ткани нарушается распад белков и аминокислот и повышается содержание аммиака в клетках. Во время торможения и сна количество аммиака снижается. Аммиак токсичен для ткани головного мозга и обезвреживается ГЛУ с образованием амидов (ГЛН)

ГПН проникает через мембраны и выходит из клетки.

РОЛЬ ГЛУТАМИНОВОЙ КИСЛОТЫ В ОБМЕНЕ ВЕЩЕСТВ.

1. ГЛУ связывает аммиак

2. ТРАНСАМИНИРОВАНИЕ, следовательно, образование заменимых аминокислот

3. ДЕКАРБОКСИЛИРОВАНИЕ

4 ОКИСЛИТЕЛЬНОЕ ДЕЗАМИНИРОВАНИЕ

 

5. Является нейромедиатором возбуждающего действия

6. Стабилизирует содержание калия в клетке.

До 10% глюкозы превращается в нервной ткани в ГЛУ. ГЛУ применяется в качестве лечебного средства при ЧМТ.

ОСОБЕННОСТИ ЛИПИДНОГО ОБМЕНА.

Нейтральные жиры не используются как энергетический материал в нервной ткани. ФОСФО и ГЛИКОЛИПИДЫ играют в основном структурную роль, как компоненты мембран.

ХИМИЧЕСКАЯ ПЕРЕДАЧА НЕРВНОГО ВОЗБУЖДЕНИЯ. Химическими передатчиками являются нейромедиаторы:

1. АЦЕТИЛХОЛИН

2. БИОГЕННЫЕ АМИНЫ

3. АМИНОКИСЛОТЫ (ГЛУ, ГЛИ)

4. НЕЙРОПЕПТИДЫ.

В передаче нервного возбуждения участвуют:

1. Натриевый насос (АТФ -аза)

2. Натриевые каналы

3. Калиевые каналы.

Этапы передачи нервного возбуждения.

1. Нервный импульс

2. Освобождение медиатора

3. Диффузия медиатора через синаптическую щель

4. Присоединение медиатора к рецептору

5. Изменение конфигурации рецептора

6. Открытие калий -натриевых каналов

7. Инактивация медиатора

8. Удаление натрия из клетки с помощью АТФ-азы.

В покое натрий удаляется из клетки, и мембрана становится проницаемой для калия. Калий выходит из клетки и внутри клетки наблюдается положительный потенциал - ПП (70мВ) При возбуждении натрий -калиевые каналы открываются, натрий заходит в клетку, калий выходит из клетки. Но т.к. концентрация натрия снаружи больше, его в клетку заходит больше. Это приводит к понижению отрицательного заряда внутри клетки и мембрана деполяризуется. Это и есть начало передачи импульса по мембране. ОБРАЗОВАНИЕ НЕЙРОМЕДИАТОРОВ. В ХОЛИНЕРГИЧЕСКИХ синапсах основной медиатор - АЦЕТИЛХОЛИН. Образуется из холина.

Ацетилхолин разрушается с помощью ХОЛИНЭСТЕРАЗЫ.

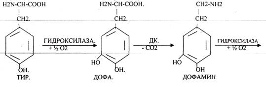
В АДРЕНЕРГИЧЕСКИХ синапсах медиаторы образуются из ТИР.

 

В СЕРОТОНИНЕРГИЧЕСКИХ синапсах медиатор образуется изТРИ.

Они разрушаются МОНОАМИООКСИДАЗОЙ (МАО).


Поделиться с друзьями:

mylektsii.su - Мои Лекции - 2015-2026 год. (1.134 сек.)Все материалы представленные на сайте исключительно с целью ознакомления читателями и не преследуют коммерческих целей или нарушение авторских прав Пожаловаться на материал