Студопедия

Главная страница Случайная страница

КАТЕГОРИИ:

АвтомобилиАстрономияБиологияГеографияДом и садДругие языкиДругоеИнформатикаИсторияКультураЛитератураЛогикаМатематикаМедицинаМеталлургияМеханикаОбразованиеОхрана трудаПедагогикаПолитикаПравоПсихологияРелигияРиторикаСоциологияСпортСтроительствоТехнологияТуризмФизикаФилософияФинансыХимияЧерчениеЭкологияЭкономикаЭлектроника






Пути улучшения технико-экономических показателей систем газоснабжения.






Система газоснабжения должна быть не только надежной и безопасной в эксплуатации, но и экономично спроектированной. До 70— 80 % общей стоимости системы составляет стоимость газопроводов. Технико-экономический расчет газопроводов представляет собой одну из важнейших задач.

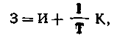
Любой вариант системы газоснабжения оценивают капитальными вложениями К, руб. (стоимость строительства), издержками на эксплуатацию И, руб/год (величина, определяющая себестоимость транспортирования газа) и приведенными затратами 3, руб/год:

где Т — расчетный срок окупаемости (Т=8 лет).

Стоимость газопроводов зависит от стоимости труб и стоимости строительства, которая определяется глубиной укладки труб, характеристикой грунта и дорожного покрытия, способами соединения труб, степенью механизации производства работ и т. д. Перечисленные показатели с известным приближением делят на две группы: зависящие и не зависящие от диаметра труб. Такое деление имеет большое значение для технико-экономических расчетов, так как положение минимума функции стоимости не зависит от постоянных величин. Стоимость труб — основная составляющая общей стоимости смонтированного газопровода — в наибольшей степени зависит от диаметра. Для городских газопроводов толщина стенки трубы всегда бывает больше величины, необходимой по условию прочности, поэтому стоимость городских газопроводов практически не зависит от давления газа. Стоимость земляных работ в меньшей степени зависит от диаметра труб, чем стоимость газопровода, а глубина его укладки практически вообще не зависит от диаметра. Для определения зависимости стоимости газопровода от диаметра труб составляют сметы на строительство газопроводов разных диаметров лри различных условиях прокладки.

Капитальные вложения в газопроводы можно определять по упрощенной зависимости

(10.1)

где Кг — стоимость 1 м газопровода, руб/м; b— коэффициент стоимости, руб/(см-м);

d — диаметр газопровода, см.

Для городских газопроводов и средних условий прокладки значение коэффициента b изменяется в пределах 0, 5—0, 6 руб/(м-см). Стоимость газорегуляторных и газораспределительных станций зависит от типа и пропускной способности станций и определяется по сметам.

Эксплуатационные издержки для городских систем газоснабжения складываются из следующих основных частей: 1) амортизационных отчислений, включая расходы на капитальный ремонт; 2) расходов на текущий ремонт и обслуживание. Для определения себестоимости внутригородского транспортирования газа эксплуатационные издержки делят на годовое потребление газообразного топлива городом Q, м3/год.

Амортизационные отчисления, расходы на текущий ремонт и обслуживание определяют как долю от капиталовложений. В этом случае эксплуатационные издержки рассчитывают, по формуле, аналогичной формуле для вычисления капитальных вложений:

где f’— доля амортизационных отчислений (включая расходы на капитальный ремонт) от капитальных затрат; f" — доля расходов на обслуживание и текущий ремонт от К.

Расходы по текущему ремонту и обслуживанию городских газовых сетей в основном зависят от протяженности газопроводов и в незначительной степени от их диаметра. В технико-экономических расчетах расходы можно принимать пропорциональными длине газопроводов. Таким образом, эксплуатационные издержки на газопроводы определяют по формуле

(10.2)

где — стоимость обслуживания 1 м газопровода, руб/(м-год).

В настоящее время обычно проектируют и строят двухступенчатые системы газоснабжения. Они имеют сети высокого давления (0, 6 МПа), по которым газ транспортируют промышленным потребителям и в сетевые газорегуляторные пункты, а также сети низкого давления, к которым присоединяют жилые и общественные здания, мелких коммунальных потребителей и небольшие отопительные котельные.

Приведенные данные показывают, что капитальные вложения (и соответственно металловложения) в газовые сети можно значительно снизить, если проектировать их на более высокое давление. Как отмечалось выше, основным резервом снижения стоимости городских газовых сетей является перевод наружных СНД на среднее давление. Этот принцип следует положить в основу классификации распределительных сетей жилых микрорайонов. По степени перевода на среднее или высокое давление различают три модификации систем газоснабжения.

Система с газорегуляторными пунктами (ГРП). В ней по сетям среднего (или высокого) давления транспортируют только основные потоки газа, а между бытовыми и мелкими коммунальными потребителями распределяют его по широко развитым СНД

Система с квартальными регуляторными пунктами (КРП). Здесь большую часть наружных СНД переводят на среднее или высокое давление. КРП оборудуют регуляторами малой производительности, соответствующей потребности примерно одного квартала, устанавливают их в шкафах или киосках. Поэтому КРП имеют значительно меньшую стоимость, чем ГРП. Наружные сети представляют собой малоразветвленные, преимущественно тупиковые газопроводы, соединяющие отдельные здания квартала с КРП.

Система с домовыми регуляторными пунктами (ДРП). Наружную распределительную сеть бытовых и коммунальных.потребителей в этой системе полностью проектируют среднего давления. Регуляторы устанавливают отдельно для каждого дома в настенных шкафах.

Оптимальный радиус ГРП. При проектировании многоступенчатых систем газоснабжения возникает вопрос об экономически оптимальном радиусе действия R газорегуляторных пунктов (ГРП). Действительно, с увеличением числа ГРП уменьшается стоимость сети низкого давления, но повышается стоимость самих ГРП, а также сети среднего или высокого давления, которая питает регуляторные пункты. Следовательно, существует оптимальное значение R, при котором общие приведенные годовые затраты на систему будут минимальными.


Поделиться с друзьями:

mylektsii.su - Мои Лекции - 2015-2026 год. (2.064 сек.)Все материалы представленные на сайте исключительно с целью ознакомления читателями и не преследуют коммерческих целей или нарушение авторских прав Пожаловаться на материал