Студопедия

Главная страница Случайная страница

КАТЕГОРИИ:

АвтомобилиАстрономияБиологияГеографияДом и садДругие языкиДругоеИнформатикаИсторияКультураЛитератураЛогикаМатематикаМедицинаМеталлургияМеханикаОбразованиеОхрана трудаПедагогикаПолитикаПравоПсихологияРелигияРиторикаСоциологияСпортСтроительствоТехнологияТуризмФизикаФилософияФинансыХимияЧерчениеЭкологияЭкономикаЭлектроника






Теоретическое введение. Структурное планирование включает в себя несколько этапов:






Структурное планирование включает в себя несколько этапов:

1. разбиение проекта на совокупность отдельных работ, выполнение которых необходимо для реализации проекта;

2. построение сетевого графика, описывающего последовательность выполнения работ;

3. оценка временных характеристик работ и анализ сетевого графика.

Основную роль на этапе структурного планирования играет сетевой график.

Сетевой график – это ориентированный граф, в котором вершинами обозначены работы проекта, а дугами – временные взаимосвязи работ.

Сетевой график должен удовлетворять следующим свойствам.

1. Каждой работе соответствует одна и только одна вершина. Ни одна работа не может быть представлена на сетевом графике дважды. Однако любую работу можно разбить на несколько отдельных работ, каждой из которых будет соответствовать отдельная вершина графика.

2. Ни одна работа не может быть начата до того, как закончатся все непосредственно предшествующие ей работы. То есть если в некоторую вершину входят дуги, то работа может начаться только после окончания всех работ, из которых выходят эти дуги.

3. Ни одна работа, которая непосредственно следует за некоторой работой, не может начаться до момента ее окончания. Другими словами, если из работы выходит несколько дуг, то ни одна из работ, в которые входят эти дуги, не может начаться до окончания этой работы.

4. Начало и конец проекта обозначены работами с нулевой продолжительностью. Такие работы называются вехами и обозначают начало или конец наиболее важных этапов проекта.

Пример. В качестве примера рассмотрим проект «Разработка программного комплекса». Предположим, что проект состоит из работ, характеристики которых приведены в табл.2.1.

Таблица 2.1.
Номер работы Название работы Длительность
  Начало реализации проекта  
  Постановка задачи  
  Разработка интерфейса  
  Разработка модулей обработки данных  
  Разработка структуры базы данных  
  Заполнение базы данных  
  Отладка программного комплекса  
  Тестирование и исправление ошибок  
  Составление программной документации  
  Завершение проекта  

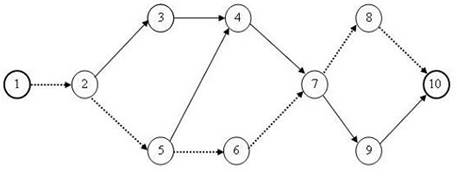
Сетевой график для данного проекта изображен на рис.2.1. На нем вершины, соответствующие обычным работам, обведены тонкой линией, а толстой линией обведены вехи проекта.

Рис. 2.1. Сетевой график проекта

Сетевой график позволяет по заданным значениям длительностей работ найти критические работы проекта и его критический путь.

Критической называется такая работа, для которой задержка ее начала приведет к задержке срока окончания проекта в целом. Такие работы не имеют запаса времени. Некритические работы имеют некоторый запас времени, и в пределах этого запаса их начало может быть задержано.

Критический путь – это путь от начальной к конечной вершине сетевого графика, проходящий только через критические работы. Суммарная длительность работ критического пути определяет минимальное время реализации проекта.

Нахождение критического пути сводится к нахождению критических работ и выполняется в два этапа.

1. Вычисление раннего времени начала каждой работы проекта. Эта величина показывает время, раньше которого работа не может быть начата.

2. Вычисление позднего времени начала каждой работы проекта. Эта величина показывает время, позже которого работа не может быть начата без увеличения продолжительности всего проекта.

Критические работы имеют одинаковое значение раннего и позднего времени начала.

Обозначим – время выполнения работы , – раннее время начала работы , – позднее время начала работы . Тогда

где – множество работ, непосредственно предшествующих работе . Раннее время начальной работы проекта принимается равным нулю.

Поскольку последняя работа проекта – это веха нулевой длительности, раннее время ее начала совпадает с длительностью всего проекта. Обозначим эту величину . Теперь принимается за позднее время начала последней работы, а для остальных работ позднее время начала вычисляется по формуле:

Здесь – множество работ, непосредственно следующих за работой .

Схематично вычисления раннего и позднего времени начала изображены, соответственно, на рис. 2.2 и рис.2.3.

Рис. 2.2. Схема вычисления раннего времени начала работы

 

Рис. 2.3. Схема вычисления позднего времени начала работы

Пример. Найдем критические работы и критический путь для проекта «Разработка программного комплекса», сетевой график которого изображен на рис.2.1, а длительности работ исчисляются днями и заданы в табл.2.1.

Сначала вычисляем раннее время начала каждой работы. Вычисления начинаются от начальной и заканчиваются конечной работой проекта. Процесс и результаты вычислений изображены на рис.2.4.

Результатом первого этапа помимо раннего времени начала работ является общая длительность проекта .

На следующем этапе вычисляем позднее время начала работ. Вычисления начинаются в последней и заканчиваются в первой работе проекта. Процесс и результаты вычислений изображены на рисунке 2.5.

Рис. 2.4. Вычисление раннего времени начала работ

 

Рис. 2.5. Вычисление позднего времени начала работ

 

Сводные результаты расчетов приведены в табл.2.2. В ней выделены заливкой критические работы. Критический путь получается соединением критических работ на сетевом графике. Он показан пунктирными стрелками на рис.2.6.

Таблица 2.2.
Работа                    
Раннее время начала                    
Позднее время начала                    
Резерв времени                    

Рис. 2.6. Критический путь проекта

 

После вычисления величин и для каждой работы вычисляется резерв времени :

Эта величина показывает, насколько можно задержать начало работы без увеличения длительности всего проекта.

Для критических работ резерв времени равен нулю. Поэтому усилия менеджера проекта должны быть направлены в первую очередь на обеспечение своевременного выполнения этих работ.

Для некритических работ резерв времени больше нуля, что дает менеджеру возможность маневрировать временем их начала и используемыми ими ресурсами. Возможны такие варианты.

1. Задержка начала работы на величину, не превышающую резерв времени, а требуемые для работы ресурсы направляются для выполнения работ критического пути. Это может дать уменьшение длительности критической работы и проекта в целом;

2. Недогрузка некритической работы ресурсами. В результате длительность ее увеличивается в пределах резерва времени, а освободившийся ресурс задействуется для выполнения критической работы, что также приведет к уменьшению длительности ее и всего проекта.

В приведенном в примере проекте работы 3, 4 и 9 имеют резерв времени согласно табл.2.2.

 

Календарное планирование

На этапе календарного планирования разрабатывается календарный график, который называется диаграммой Ганта. Диаграмма Ганта отображает следующие параметры проекта:

1. структуру работ, полученную на основе сетевого графика;

2. состав используемых ресурсов и их распределение между работами;

3. календарные даты, к которым привязываются моменты начала и завершения работ.

Построение календарного графика рассмотрим на примере проекта «Разработка программного комплекса». Прежде всего, нужно определиться с ресурсами, которые будут использоваться этим проектом. Предположим, что в качестве ресурсов выступают только исполнители, и они распределены между работами согласно табл. 2.3.

Таблица 2.3.
№ работы Название работы Исполнитель
  Начало реализации проекта -
  Постановка задачи Постановщик
  Разработка интерфейса Программист1
  Разработка модулей обработки данных Программист1
  Разработка структуры базы данных Программист2
  Заполнение базы данных Программист2
  Отладка программного комплекса Программист1 Программист2
  Тестирование и исправление ошибок Программист1 Программист2 Постановщик
  Составление программной документации Постановщик
  Завершение проекта -

Выберем дату начала проекта – 7 сентября 2009г. (понедельник). При составлении календарного графика учитываются только рабочие дни. Нерабочими считаются все субботы и воскресенья, а также официальные праздничные дни, ближайший из которых – 4 ноября.

Календарный график (диаграмма Ганта) изображен на рис.2.7, где ромбиками обозначены вехи, сплошными линиями – продолжительность работ, сплошными линиями со стрелками – резерв времени работ, пунктирными линиями – связь между окончанием предшествующих и началом последующих работ.

Рис. 2.7.

 

Рис. 2.8.

На основании диаграммы Ганта может быть построен график загруженности ресурсов. Этот график показывает процент загрузки конкретного трудового ресурса в ходе выполнения проекта. По оси абсцисс откладывается временной интервал проекта, а по оси ординат – суммарный процент загруженности исполнителя по всем задачам проекта, которые он выполняет в текущий момент времени.

Обычно исполнитель целиком занят решением некоторой задачи и по ее завершении переходит к следующей. Это соответствует 100% загрузки. Однако, в некоторых случаях он может быть параллельно задействован в 2 или более задачах, выделяя для их решения часть рабочего времени. Например, две задачи по 50% каждая, то есть по половине рабочего дня на задачу. График загруженности ресурса позволяет в этом случае контролировать суммарную занятость исполнителя и выявить возможные периоды перегрузки, когда ему запланировано больше работы, чем он может выполнить в течение рабочего дня. Об этом свидетельствует суммарная загруженность более 100%.

Пример графиков загруженности ресурсов проекта «Разработка программного комплекса» изображен на рис.2.8. Он построен, исходя из предположения, что каждый работник занят на 100% выполнением запланированной ему задачи. Из графиков видно, что Постановщик перегружен в период с 16 по 23 октября, поскольку в этот промежуток ему назначены две параллельные работы. Область его перегруженности выделена на соответствующем графике штриховкой.


Поделиться с друзьями:

mylektsii.su - Мои Лекции - 2015-2026 год. (1.553 сек.)Все материалы представленные на сайте исключительно с целью ознакомления читателями и не преследуют коммерческих целей или нарушение авторских прав Пожаловаться на материал