Студопедия

Главная страница Случайная страница

КАТЕГОРИИ:

АвтомобилиАстрономияБиологияГеографияДом и садДругие языкиДругоеИнформатикаИсторияКультураЛитератураЛогикаМатематикаМедицинаМеталлургияМеханикаОбразованиеОхрана трудаПедагогикаПолитикаПравоПсихологияРелигияРиторикаСоциологияСпортСтроительствоТехнологияТуризмФизикаФилософияФинансыХимияЧерчениеЭкологияЭкономикаЭлектроника






Первый Съезд учителей математики Республики Казахстан состоялся11-12 мая 2011 года






Первый съезд учителей математики проводится в рамках стратегических задач, поставленных Президентом страны Н.А.Назарбаевым…. по модернизации образования

Перечислите виды закономерностей: динамическая, общественная, статистическая

Перечислите множества чисел, которые изучаются в школе натуральные, целые, рациональные, иррациональные- действительные числа

Перечислите этапы биористической системы обучения в правильном порядке планирование, диагностический, рецептурный, реализация, оценка

По инициативе этого выдающегося казахстанского ученого в 1991 году был основан, а затем им возглавлялся Институт космических исследований МОН РК У.М.Султангазин

Под математическим естествознанием понимается: Комплекс наук о природе, для которых оказывается возможным приложение математических методов

Под объектами математического исследования понимают Количественные отношения и пространственные формы действительного мира

Под словом «аль-джебр», в переводе с арабского означающее «восстановление», подразумевалось перенос отрицательных членов уравнения из одной его части в другую с изменением знака

Подготовка к следующему уроку состоит разбор очередной проблемы, план урока, цель, и т.д.

Показательной функцией называется функция: которая имеет неизвестную в показателе степени

Полной индукцией называется: заключение, сделанное при истинности всех фактов

Положения, которые отражают протекание объективных законов и закономерностей процесса обучения и определяют его направленность на развитие личности – это … принципы обучения

Понятие и сущность инновационного процесса в образовании – это управляемые процессы создания, восприятия, оценки, освоения и применения педагогических новшеств

Постулат Евклида доказали и отнесли к числу теорем в …. веке IV

Постулат Евклида, связанный с теорией параллельных V

Правильные многогранники - это: гексаэдра, тетраэдр, икосаэдр, додекаэдр, октаэдр

Предметом методики преподавания математики называется педагогическая наука, исследующая закономерности обучения математике в соответствии целям, поставленные обществом

При , тогда разложение многочлена будет:

При индивидуальном обучении должно быть …….учеников 3-8

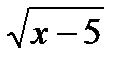
При каком значении переменной, выражение имеет смысл x< -5; x> 5

При расширении области определения уравнений могут появиться..... корни посторонние

При решении задач учитель предъявляет к учащимся следующие требования: усвоить содержание задачи; составить план решения задачи; осуществить план решения задачи; анализ решения; проверка и т.д.

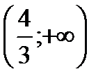
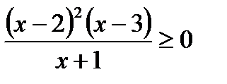
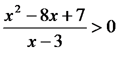
При решении рациональных неравенств; надо найти значение «х», обращающих и числитель, и знаменатель в нуль

При сужении области определения уравнений может быть... потеря корней

Приведенными называются уравнения с наивысшей степенью, первый член которого имеет коэффициент, равный единице

Принцип наглядности - " золотое правило" дидактики, согласно которому в обу­чении необходимо использовать все органы чувств человека

Принцип сознательности и активности требует развития у обучаемых аргументированности и доказательности суждений, выводов, оценок, способов реше­ния, конструктивного поведения

Принципы обучения впервые были сформулированы Я.А. Коменским.

Принципы обучения: наглядности, сознательности и активности, доступности, научности, систематичности и последовательности, прочности, связи теории с практикой

Проблемы, связанные с уроком, его совершенствованием, исследовали известные русские педагоги: Д.Д. Семенов, Н.А. Корф, М.Н.Денко, Н.Ф. Каптерев, К.Д.Ушинский

Продукт общественной материальной и духовной деятельности людей знание

Произведение корней уравнения равно

Произведение корней уравнения равно -16

Произведение корней уравнения равно -28

Произведение корней уравнения 4 равно 14

Простейшими тригонометрическими уравнениями называются уравнения вида: всё перечисленное

Процесс и результат индивидуальной образовательной деятельности, создающий внешние и внутренние образовательные продукты - это: продуктивное образование

Процесс приобретения человеком новых знаний, умений, навыков или изменение старых – это... учебная деятельность

Прямая, имеющая с окружностью только одну общую точку и принадлежащая плоскости окружности, называется: касательной

Прямые, заданные уравнениями ax +2 y = -1 и 10 x - 6 y = b + 2, совпадают, то значение 3 a + b равно: -9

Прямые, заданные уравнениями 3 x + ay =4 и 6 x +4 y = b, пересекаются при следующих значениях a и b:

Прямые, заданные уравнениями 3 x - ay =2 и 6 x +2 y = b, параллельны при следующих значениях a и b:

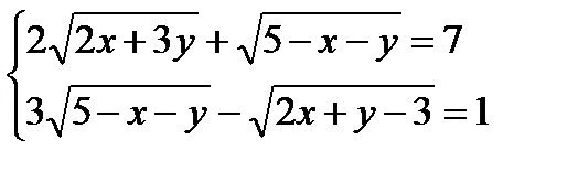
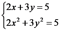
Пусть (x, y) – решение системы Тогда сумма x+ y равнo: -3

Пусть (x, y) – решение системы Тогда сумма 4(x+ y) равнo: 4

Равносильные системы - это такие … системы с одинаковыми решениями

Раздел математики, конкретизирующий знания о фигурах, развитие логического мышления и пространственного представление у учащихся: геометрия

Разделил эмпирические методы исследования на две группы: Е.М. Муравьев

Разложение будет: ?:

Разложите подкоренное выражение на квадрат суммы: :

Разложить на множители, используя теорему Виета:

Разложить многочлен: :

Разложить многочлен: :

Разложить многочлен: :

Разложить многочлен: :

Разложить многочлен: :

Разложить многочлен: :

Разложить многочлен: :

Разложить многочлен: :

Разработал методику коллективных творческих дел А.С.Макаренко

Ранняя форма этой теории была создана И.Ньютоном в «Математических началах натуральной философии» теории пределов

Рациональные неравенства решаются ….. методом интервалов

Решите задачу девятилетнего К.Ф. Гаусса: «Сосчитать сумму всех натуральных чисел от 1 до 40» 820

Решите иррациональное уравнение: ;

Решите иррациональное уравнение: ;

Решите иррациональное уравнение: ;

Решите иррациональное уравнение: ;

Решите иррациональное уравнение: ;

Решите иррациональное уравнение: ;

Решите иррациональное уравнение: = ;

Решите иррациональное уравнение: ;

Решите иррациональное уравнение: ;

Решите иррациональное уравнение: ;

Решите логарифмическое уравнение:

Решите логарифмическое уравнение:

Решите логарифмическое уравнение: lg +lg = lg 30;

Решите логарифмическое уравнение: lg lg 4, 5 – lg x;

Решите логарифмическое уравнение: lg -lg x;

Решите логарифмическое уравнение: log ;

Решите логарифмическое уравнение: log =log ;

Решите логарифмическое уравнение: log5 log5 =3+log58;

Решите логарифмическое уравнение: lg lg = 3lg ;

Решите логарифмическое уравнение: log ;

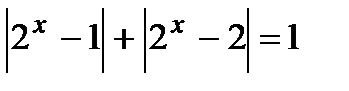
Решите неравенство с модулем: ;

Решите неравенство с модулем: ;

Решите неравенство с модулем: ;

Решите неравенство с модулем: ;

Решите неравенство с модулем: ;

Решите неравенство с модулем: ;

Решите неравенство с модулем: ;

Решите неравенство с модулем: ;

Решите неравенство с модулем: ;

Решите неравенство с модулем: ;

Решите неравенство: ;

Решите неравенство: ;

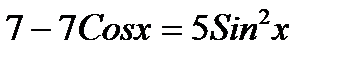
Решите тригонометрическое уравнение ;

Решите тригонометрическое уравнение ;

Решите тригонометрическое уравнение ;

Решите тригонометрическое уравнение ;

Решите тригонометрическое уравнение ;

Решите тригонометрическое уравнение ;

Решите тригонометрическое уравнение ;

Решите тригонометрическое уравнение ;

Решите тригонометрическое уравнение ;

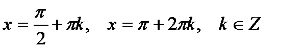
Решите тригонометрическое уравнение ; ;

Решите уравнения: (-1; 3)

Решите уравнения: 5

Решите уравнения: 6

Решите уравнения: 8

Решите уравнения: (0; 16)

Решите уравнения: 8

Решить неравенство - значит найти особые решения

Решить неравенство ; (-2; -1)

Решить неравенство совместно означает… найти объединение решений неравенств

Решить неравенство: .

Решить неравенство: .

Решить неравенство: ;

Решить неравенство: ; 4, 1 < x < 4, 1

Решить неравенство ;

Решить однородное уравнение относительно и :

Решить однородное уравнение относительно Sinx и Cosx

Решить однородное уравнение относительно и :

Решить однородное уравнение относительно и :

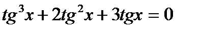
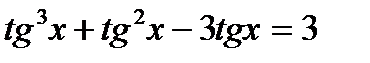
Решить однородное уравнение

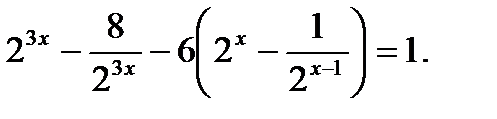
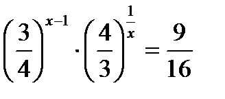
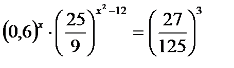
Решить показательное уравнение ;

Решить показательное уравнение ;

Решить показательное уравнение ;

Решить показательное уравнение ;

Решить показательное уравнение ;

Решить показательное уравнение ;

Решить показательное уравнение ;

Решить показательное уравнение ;

Решить показательное уравнение ;

Решить систему уравнений: (3; 2), (2; 3)

Решить систему уравнений : (1; 2); (2; 1)

Решить систему уравнений : 5; 1

Решить систему уравнений : 0; 4; 1

Решить систему уравнений : 16; 11

Решить систему уравнений : 3; 1

Решить систему уравнений : 4;

Решить систему уравнений : 1; 1

Решить уравнение , используя замену или новую переменную:

Решить уравнение вида :

Решить уравнение вида:

Решить уравнение вида: :

Решить уравнение вида: :

Решить уравнение вида: : Решить уравнение вида: :

Решить уравнение вида: : Укажите решение частного уравнения: :

Решить уравнение: 1

Решить уравнение: .

Решить уравнение: . 1/2

Решить уравнение: :

Решить уравнение: :

Решить уравнение: :

Решить уравнение: :

Решить уравнение: :

Решить уравнение: ;

Решить уравнение: ;

Решить уравнение: ; (-1; -3)

Решить уравнение: ; 3

Решить уравнение: ; 4

Решить уравнение: ; 5

Решить уравнение: -2, 9

Решить уравнение: :

Решить уравнение: ;

Решить: . 3/2

Решить: ;

Родоначальник материалистической философии Нового времени: Бэкон

С точки зрения дидактической роли назовите три вида беседы вступительная, представляющая новую информацию, закрепляющая

Симметрические системы решаются берут объединение решений системы

Синусом угла α называется отношение ординаты вектора, образующего с осью OX угол α

Система уравнений не имеет решений при следующих значениях а: a=0, b=6

Система уравнений имеет безконечно много решений, если а равно: -2

Система уравнений - это несколько совместно рассматриваемых уравнений

Система уравнений имеет более одного решений, если а равно: 2

Системы неравенств с одной зависимой переменой решаются методом объединения решений неравенств

Системы однородных уравнений решаются следующим образом: выражают каждое уравнение через одну переменную

Совершенным число называют число, равное сумме всех своих делителей, исключая само число

Современное обозначение для знака квадратного корня ввел Р. Декарт

Современный урок – это форма организации обучения … с группой учащихся одного возраста, занятие по твердому расписанию и с единой для всех программой обучения

Создателем неевклидовой геометрии является Н.И. Лобачевский

Сорбонская декларация о реформировании систем в высшем образовании в Европе была подписана в …. 1998 г

Состав математики, как и всякой науки, следующий: Факты, гипотезы, результаты обобщения, выраженные в математических теориях и законах, методология математики

Сравнить: ;

Сравнить: ;

Сумма внутренних углов выпуклого многоугольника равна: 180º (n – 2)

Сумма корней (или корень, если он один) уравнения

Сумма корней (или корень, если он один) уравнения

Сумма корней (или корень, если он один) уравнения

Сумма корней (или корень, если он один) уравнения принадлежит промежутку (2; 6)

Сумма корней (или корень, если он один) уравнения принадлежит интервалу; корней нет

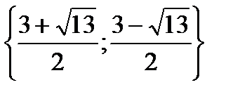
Сумма корней (или корень, если он один) уравнения
равна 2

Сумма корней уравнения равна; -7

Сумма углов при большем основании равны 900. Найти расстояние между серединами оснований, если основания a и b;

Существуют различные методы работы с учебником математики изучение после объяснения учителя основного содержания; составление плана изучения материала и т.д.

Сущность целостно-ориентационной деятельности школьников состоит: в целенаправленном осмыслении и оценки социальных значений окружающей действительности и формировании личностных качеств

Сфера – это..…, находящихся на данной положительным расстоянии от данной точки: множество точек пространства

Сформулируйте теорему Виета: сумма корней приведенного квадратного уравнения равна второму коэффициенту, взятому с обратным знаком, а произведение его корней равно свободному члену

Тангенсом угла α называется отношение синуса угла α к его косинусу

Теоремой называется Математическое предложение, требующее доказательства

Теоретической базой различных операций, средством обобщения, основным инструментом алгоритмической деятельности является алгебра

Технология организации коллективной творческой деятельности - коллективная творческая деятельность развивает сотрудни­чество между детьми и воспитателями

то отношение x0 /y0 равно:

Тождество понимаем как равенство, справедливое при всех значениях переменной

Точка пересечения прямых 3x-4y=3 и 3x-2ay=5 имеет полохительную ординату, если параметр а удовлетворяет условию: a< 2

Требования, предъявляемые учителем к знаниям, умениям и навыкам учащихся при решении задач Усвоить содержание задачи; составить план решения задачи; осуществить план решения задачи; анализ решения; проверка и т.д.

Укажите истиное высказывание существуют натуральные числа, меньшие 5

Укажите решение частного уравнения: :

Укажите решение частного уравнения: :

Упростить выражение: :

Упростить выражение: :

Упростить выражение: : 0

Упростить выражение: : 0

Упростить выражение: 24

Упростить выражение: 4-2sinα

Упростить: ;

Уравнение ax + b=2x не имеет решений при следующих значениях а и b.

Уравнение имеет ровно один корень, если ;

Уравнение - это два выражения, связанные между собой знаком равенства

Уравнение вида называется: Однородным уравнением

Уравнения называются равносильными, если это … уравнения с одинаковыми решениями

Уравнения называются рациональными, если эти уравнение в виде дроби, числитель и знаменатель которого содержит переменную

Уравнения со знаком «модуль» решаются возводят обе части в квадрат или учитывают знаки промежутков

Уровень и вид профессионально-педагогической подготовленности, характеризующие возможности специалиста в решение определенного класса задач - это: педагогическая квалификация

Урок – это … форма организации обучения с группой учащихся одного возраста по твердому расписанию и с единой для всех программой обучения

Урок– парадокс: урок креативного типа

Учебная проблема – это … творческая задача, которую уже решена учеными, но является новой для учащихся

Учебно-воспитательный процесс в целом, основанный на применении тех или иных форм обучения – это … методы обучения

Учебно-вспомогательные пособия: учебники, дидактические материалы, справочники

Фигурами вращения являются: цилиндр, конус, шар, сфера, усеченный конус

Форма занятия, когда педагог последовательно и системно, монологически излагает учебный материал – это … лекция

Форма занятия, обеспечивающее создание учащимися личных образовательных продуктов в ходе коллективно-групповой коммуникации – это… урок - семинар

Форма организации обучения группы учащихся одного возраста с единой для всех программой обучения: урок

Формы внеклассной работы по математике должны быть … математические вечера, викторины, соревнования, олимпиады, математические экскурсии, математическая печать и т.д.

Формы передачи знаний подрастающему поколению, выделенные Н.Ф.Каптеревым… догматическая, аналитическая и генетическая

Функция является Нечётной, не нечётной

х0 – его корень из интервала (0; 5), то значение равно 16

Целым называется уравнение составленное из целых выражений

Целыми (если существуют) корнями многочлена с целыми коофициентами являются делители: свободного члена

Цель, которую надлежит достигнуть ученику в определенных условиях учебного процесса: учебная задача

Четной тригонометрической функции является: косинус

Число... делится без остатка на любое число, отличное от нуля: 0

Число делится на... если разность между суммой цифр на чётных местах и нечётных местах, делится на... на 11

Числовой последовательностью называется группа чисел, соответствующих своему номеру

Члены этой последовательности называются числами Фибоначчи, крупного итальянского математика, автора «Книги об абаке»: 1, 1, 2, 3, 5, 8, 13, 21, 34, 55, 89, …

Чтобы сложить числа с разными знаками, надо от модуля большего числа вычесть модуль меньшего числа, и поставить знак большего числа

Школьное математическое образование состоит из следующих компонентов: арифметика, алгебра, геометрия, элементы математического анализа, элементы комбинаторики, статистики и теории вероятностей

Этапы решения задач на построение: анализ, построение, доказательство, исследование

Этому ученому принадлежат слова: «Дайте мне точку опоры, и я поверну Землю»? Архимеду

Этому ученому принадлежит открытие ранней формы математического анализа – теории флюксий И. Ньютону

Этот ученый открыл закон о выталкивающей силе и с радостью выкрикнул: «Эврика!» («Нашел!») Архимед

Я.А. Коменский называл этот принцип «золотым правилом» дидактики: принцип наглядности


Поделиться с друзьями:

mylektsii.su - Мои Лекции - 2015-2026 год. (0.968 сек.)Все материалы представленные на сайте исключительно с целью ознакомления читателями и не преследуют коммерческих целей или нарушение авторских прав Пожаловаться на материал