Студопедия

Главная страница Случайная страница

КАТЕГОРИИ:

АвтомобилиАстрономияБиологияГеографияДом и садДругие языкиДругоеИнформатикаИсторияКультураЛитератураЛогикаМатематикаМедицинаМеталлургияМеханикаОбразованиеОхрана трудаПедагогикаПолитикаПравоПсихологияРелигияРиторикаСоциологияСпортСтроительствоТехнологияТуризмФизикаФилософияФинансыХимияЧерчениеЭкологияЭкономикаЭлектроника






Порядок выполнения работы. Моделирование электрических систем с использованием программы ТОК KZ для расчетов тока короткого замыкания

ППвЭЭ

на тему:

" Моделирование электрических систем с использованием программы ТОК KZ для расчетов тока короткого замыкания"

 

Специальность 5В071800 электроэнергетика

 

Выполнил:

студент группы Э-12-13

Наумов Илья

№ зачётной книжки 124067

 

Проверила:

ст.пр. Кноль О.А.

 

 

Алматы 2015

Цель работы: Ознакомление моделированием электрических систем с использованием программы TOK KZ

 

Теоретические сведения

 

Для выполнения расчетов необходимо провести ряд предварительных расчетов: составить схемы замещения, рассчитать ее параметры, определить собственные и взаимные проводимости, а также задающие токи.

 

На основании принципиальной схемы электрической системы составляется схема замещения. В практических расчетах обычно применяют приближенное приведение, сущность которого заключается в следующем.

 

Для каждой ступени трансформации условно принимают, что номинальные напряжения всех элементов одинаковы и равны соответственно 55; 230; 115; 37; 10, 5; 6, 3 кВ.

 

Подготовка и содержание работы

3.3.1 Изучить необходимый теоретический материал и ответить на контрольные вопросы.

 

3.3.2 Составить схему замещения электрической системы (рисунок 3) без учета нагрузки.

 

3.3.3 Расчет параметров элементов схемы замещения с использованием метода приближенного приведения без учета нагрузки.

 

3.3.4 Рассчитать собственные и взаимные проводимости и задающие токи заданной электрической системы.

 

3.3.5 Ознакомиться с работой программы ТОК KZ.

 

3.3.6 Провести расчеты на персональном компьютере (ПК).

 

Порядок выполнения работы

 

3.4.1 Вызвать программу ТОК KZ и ввести необходимые данные в ПК.

 

3.4.2 Рассчитать токи 3х фазного короткого замыкания в токах К1, К2, КЗ в схеме без учета нагрузки.

 

3.4.3 Провести анализ полученных результатов.

Таблица 1 – Исходные данные к выполнению работы

Предпоследняя цифра шифра - 6
Т-1 Т-2
1 - ТДТН- 25000/110 5 - ТД-10000/35/6, 3
Последняя цифра шифра - 7
Л-1 Л-2 Л-3 Л-4 Л-5
АС-120 ПС-35 ПС-25 ПС-50 ПС-35
           

 

Т-1: Sном=25 МВА; Uвн=115 кВ; Ucн=38, 5 кВ; Uнн=6, 6 кВ; Uквс=10, 5%; Ukвн=17%; Ukсн=6, 5%; ∆ Рк=140 кВт.

Т-2: Sном=10 МВА; Uвн=35 кВ; Uнн=6, 3 кВ; Uk=7, 5%; ∆ Рк=65 кВт.

n1=38.5/115; n2=6.6/115; n3=6, 3/38.5

 

Рисунок 1 – Схема замещения понижающей подстанции

 

В точке К-5:

кВ.

Ом.

 

Сопротивление обмоток Т-1:

 

Ом.

Ом.

Xk5=X+Xt=0, 986+6, 225=7, 211 Oм; Rk5=Rt=1, 66

Периодическая слагающая тока:

А.

.

.

 

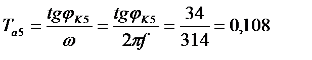
Постоянная времени:

с.

 

Ударный коэффициент:

 

Величина ударного тока определяется по формуле:

А.

 

В точке К-6: (ток больше 200А)

Ом/км; Ом/км.

Ом.

Ом.

 

Периодическая слагающая тока:

А.

.

 

Постоянная времени:

с

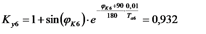
Ударный коэффициент:

Величина ударного тока определяется:

кА

 

В точке К-7:

Ом/км; Ом/км.

Ом.

Ом.

 

Периодическая слагающая тока:

А.

.

 

Постоянная времени:

с

Ударный коэффициент:

Величина ударного тока определяется:

кА

 

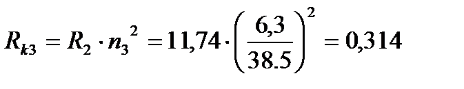
В точке К-3:

кВ

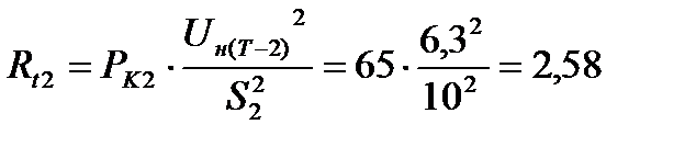
Сопротивление обмоток Т-2:

Ом

Ом

Ом

Ом

Ом

Ом

 

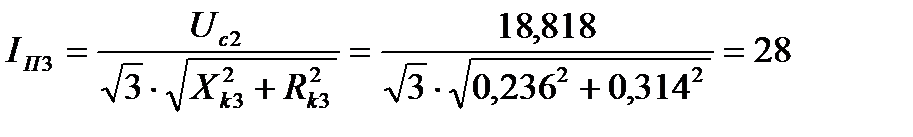
Периодическая слагающая тока:

кА

Постоянная времени:

с

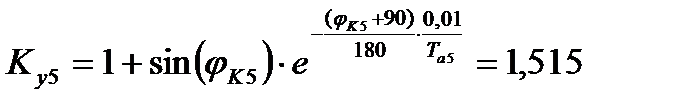
Ударный коэффициент:

Величина ударного тока:

кА

 

В точке К-4:

Ом/км; Ом/км

Ом

Ом

Периодическая слагающая тока:

кА

 

 

Постоянная времени:

с

Ударный коэффициент:

Ударный ток:

кА

 

В точке К-1:

кВ

Ом

 

Сопротивление обмоток Т-1:

Ом

Ом

Периодическая слагающая тока:

кА

Постоянная времени:

с

Ударный коэффициент:

Величина ударного тока определяется по формуле:

кА

 

В точке К-2:

Ом/км; Ом/км; X01=0.432 Ом/км; R01=0.428 Ом/км

Ом

Ом

 

Периодическая слагающая тока:

А

Постоянная времени:

с

Ударный коэффициент:

Величина ударного тока определяется:

А

 

<== предыдущая лекция | следующая лекция ==>
 | 
Поделиться с друзьями:

mylektsii.su - Мои Лекции - 2015-2026 год. (2.893 сек.)Все материалы представленные на сайте исключительно с целью ознакомления читателями и не преследуют коммерческих целей или нарушение авторских прав Пожаловаться на материал