Студопедия

Главная страница Случайная страница

КАТЕГОРИИ:

АвтомобилиАстрономияБиологияГеографияДом и садДругие языкиДругоеИнформатикаИсторияКультураЛитератураЛогикаМатематикаМедицинаМеталлургияМеханикаОбразованиеОхрана трудаПедагогикаПолитикаПравоПсихологияРелигияРиторикаСоциологияСпортСтроительствоТехнологияТуризмФизикаФилософияФинансыХимияЧерчениеЭкологияЭкономикаЭлектроника






Оценочная шкала для определения физического износа машин и оборудование






Функциональный износ - потеря стоимости объекта, вызванная или появлением более дешевых машин и оборудование, или производством более экономических и продуктивных аналогов; определяется, как правило, экспертное.

Внешний износ связан с потерей стоимости объекта в результате изменения состояния внешней среды и определяется методом парных продаж как разность в ценах продаж двух объектов, один из которых имеет признака внешнего износа, а другой - нет.

Сравнительный подход предусматривает определение рыночной стоимости на основе информации о сформированных ценах на аналогичные машины и оборудование, соглашения из купли-продажи которых не являются единичными. Данный подход реализуется в таких методах:

· прямого сравнения (рыночных сравнений);

· статистического моделирования цены.

Метод рыночных сравнений есть наиболее универсальным и очевидным во время проведения оценки машин и оборудование в условиях наличия эффективно функционирующего рынка и разнообразной информации о нем.

 

Практическое применение этого метода предусматривает:

1. Анализ рынка машин и оборудование, и сбор ценовой информации. Источниками такой информации могут быть каталоги машин и оборудование, ценовые справочники, газеты, журналы, справочные цены, распространяемые через компьютерные сети, биржевые бюллетени, тендерная документация, периодические выставки и ярмарки производителей машин и оборудование и т.д..

2. Выявление аналогов и определение степени их сходства с объектом оценки. Основными требованиями, которые выдвигаются к аналогу, есть его тождественность объекту оценки за функциональным назначением, полное квалификационное сходство и частичное конструкторское сходство.

3. Внесение поправок к ценам аналогов и получение итоговой рыночной стоимости объекта оценки по формуле:

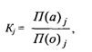
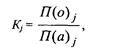
Расчет поправочных коэффициентов (К j) на технические параметры осуществляется по формуле (если j-а характеристика увеличивает величину оценочной стоимости объекта) или по следующей формуле (если j-а характеристика уменьшает величину оценочной стоимости объекта):

Общая поправка на технические параметры рассчитываются по формуле:

Если аналогами выступают несколько объектов, то для каждого из них осуществляются соответствующие расчеты, а полученные результаты усредняются.

Метод статистического моделирования цены предусматривает рассмотрение объекта оценки как представителя определенной совокупности однородных объектов с известными ценами. Для этой совокупности разрабатывается парная (одна факторная) или многофакторная регрессионная модель зависимости цены от одного или нескольких потребительских параметров. Получаемая в результате расчетов среднестатистическая цена корректируется с помощью корректировочных коэффициентов.

 

Министерство образования и науки Украины Одесская государственная академия строительства и архитектуры Кафедра теоретической экономики

 

Лекция № 7

по дисциплине «Потенциал предприятия: формирование и оценка»

на тему: „Оценка нематериальных активов”

План

1. Сущность и классификация нематериальных активов предприятия

2. Особенности оценки стоимости нематериальных активов

3. Оценка рыночной стоимости нематериальных активов

 

 

- 1 -


Поделиться с друзьями:

mylektsii.su - Мои Лекции - 2015-2026 год. (0.823 сек.)Все материалы представленные на сайте исключительно с целью ознакомления читателями и не преследуют коммерческих целей или нарушение авторских прав Пожаловаться на материал