Студопедия

Главная страница Случайная страница

КАТЕГОРИИ:

АвтомобилиАстрономияБиологияГеографияДом и садДругие языкиДругоеИнформатикаИсторияКультураЛитератураЛогикаМатематикаМедицинаМеталлургияМеханикаОбразованиеОхрана трудаПедагогикаПолитикаПравоПсихологияРелигияРиторикаСоциологияСпортСтроительствоТехнологияТуризмФизикаФилософияФинансыХимияЧерчениеЭкологияЭкономикаЭлектроника






Внутренняя контактная разность потенциалов. Термоэлектродвижущая сила






Рассмотрим контакт двух металлов 1 и 2 с различной концентрацией свободных электронов: n 1 > n 2 (рис. 15.3, а) После создания контакта начнется диффузия электронов из одного металла в другой. Так как концентрации электронов различны, то диффундирующие потоки из разных металлов будут неодинаковыми. Это приведет к заряжению металлов противоположными зарядами и возникновению между ними внутренней контактной разности потенциалов Ui. При этом первый металл имеет больший потенциал относительно второго (рис 15.3, а). Изменение энергии Еэ свободных электронов в приконтактной области при установившемся значении контактной разности потенциалов (рис 15.3, б) соответствует динамическому равновесию.

При динамическом равновесии потоки электронов в одном и другом направлениях одинаковы. Так как концентрация свободных электронов в металлах очень большая, то переход электронов из одного металла в другой практически не изменит их концентраций, которые и в условиях динамического равновесия останутся прежними (n 1 и n 2).

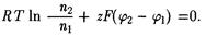
Внутренняя контактная разность потенциалов может быть найдена исходя из общего условия равновесия - равенства электрохимических потенциалов соприка­сающихся металлов (см § 12.6).

или

Так как z =-1, то

(15.16)

Итак, внутренняя контактная разность потенциалов зависит как от различий концентраций свободных электронов в металлах, так и от температуры контакта.

Рассмотрим замкнутую цепь, состоящую из двух металлов 1 и 2 (рис. 15.4), концентрации свободных электронов в которых равны n 1 и n 2.. Контакты А и В металлов поддерживаются при температурах ТА и ТВ соответственно. Для определенности предположим n 1 > n 2и ТА > ТВ. Запишем выражение (15.16) для обоих контактов:

(15.17)

(15.18)

Так как контакты металлов имеют разные температуры, то UiA ¹ UiB.

Вследствие этого в цепи, состоящей из разных металлов, возникает термоэлектродвижущая сила, e т. Это явление, справедливое и для полупроводников, называют термоэлектричеством. Так как э.д.с. равна сумме скачков потенциала цепи, обусловленных сторонними силами, то

(15.19)

Обозначив ., получим

•e т = b (ТА - ТВ) (15.20)

Устройство, показанное на рис. 15, 4, называют термоэлементом или термопарой.

Из (15.20) видно, что b соответствует термо-э.д.с., возникающей в цепи при разности температур контактов, равной 1 К, и является характеристикой термопары.

Приведем значение b при температурах в окрестности 100° С для некоторых пар металлов (табл. 20).

Таблица 20

  b, мкВ/К   b, мкВ/К
Zn - Ag 0, 5 Mg - Ag 3, 5
W - Ag 2, 5 Mo - Ag 6, 3
Pb - Ag 3, 0 Fe - Pt 18, 1

Значительная термо-э.д.с. достигается не только выбором подходящей пары металлов или полупроводников или увеличением D Т, но и последовательным соединением нескольких термопар в термобатарею (термостолбик). На рис. 15.5 показана термобатарея из четырех термопар (нечетные контакты 1, 3, 5, 7 имеют одну температуру, четные 2, 4, 6, 8 - другую).

Термоэлектричество находит три основных применения:

1) для создания генераторов тока с прямым преобразованием молекулярно-тепловой энергии в электрическую. Современные полупроводниковые термогенераторы имеют к.п.д. порядка 10%;

2) для определения температур. Зная зависимость e т = f (D Т), по измерениям e т можно найти D Т, а следовательно, и Т. Удобство этого метода заключается в дистанционности и возможности измерения температуры небольших объектов, поскольку сам контакт металлов или полупроводников может быть сделан достаточно малым. В медицине, в частности, это используется для нахождения температуры отдельных органов и их частей;

3) для измерения мощности инфракрасного, видимого и ультрафиолетового излучений
(см., например, устройство актинометра в § 27.4).

Возникновение термоэлектродвижущей силы в рассмотренном примере относится к группе термоэлектрических явлений. Так называют явления, в которых отражается специфическая связь между электрической и молекулярно-тепловой формами движения материи в металлах и полупроводниках.

Устройства отображения и регистрации

медицинской информации.

Устройства отображения осуществляют временное представление информации, уничтожаемой при появлении новой. Устройства регистрации в отличие от них проводят запись информации на каком-либо стандартном носителе и позволяют длительное время хранить информацию и многократно обращаться к ней для последующей обработки и более глубокого анализа. Выходная информация может быть представлена в аналоговой (непрерывной) или дискретной форме. В соответствии с этим отображения и регистрация медицинской информации можно разделить на три большие группы: аналоговые, дискретные и комбинированные. Последние позволяют представлять информацию как в дискретном, так и в аналоговом виде.

 

 



Поделиться с друзьями:

mylektsii.su - Мои Лекции - 2015-2026 год. (1.338 сек.)Все материалы представленные на сайте исключительно с целью ознакомления читателями и не преследуют коммерческих целей или нарушение авторских прав Пожаловаться на материал