1. Метаданные теста. 2
2. Параметры секций. 3
3. Вопросы типа «Выбор». 3
4. Вопросы типа «Упорядочение». 3
5. Вопросы типа «Соответствие». 3
6. Вопросы типа «Поле ввода». 3
1. Метаданные теста
· Автор теста: к.э.н., профессор Авров А.П., ст.преподаватель Мусульманкулова А.А.
· Предназначено для студентов специальности: Экономика, ОиНТ, Менеджмент, ГиМУ, УиА
Параметры секций.
| №
| Текст вопроса/варианты ответа
| Дополнительные параметры
|
|
| Первая стадия статистического исследования:
| Секция:
|
|
| +
| статистическое наблюдение;
| Вес вопроса:
|
|
|
| проверка статистических данных;
| Перемешивать ответы:
| +
|
|
| сводка статистических данных;
|
|
|
|
| группировка статистических данных;
|
|
|
|
| анализ статистических данных.
|
|
|
|
|
|
|
|
|
|
|
|
|
|
| К качественному признаку относится:
| Секция:
|
|
|
| заработная плата работников;
| Вес вопроса:
|
|
|
| возраст работника;
| Перемешивать ответы:
| +
|
| +
| национальность работника
|
|
|
|
| стоимость основного капитала в расчете на одного работника;
|
|
|
|
| численность работников предприятия.
|
|
|
|
|
|
|
|
|
|
|
|
|
|
| К какому виду относится ряд распределения мужчин по брачному состоянию: холост, женат, разведен:
| Секция:
|
|
|
| вариационному;
| Вес вопроса:
|
|
|
| дискретному;
| Перемешивать ответы:
| +
|
|
| интервальному;
|
|
|
| +
| атрибутивному;
|
|
|
|
| атрибутивно-вариационному.
|
|
|
|
|
|
|
|
|
|
|
|
|
|
| К какому виду относится ряд распределения семей по численности детей: один, два, три и т.д. ребенка:
| Секция:
|
|
|
| геометрическому
| Вес вопроса:
|
|
|
| атрибутивному;
| Перемешивать ответы:
| +
|
|
| интервальному вариационному;
|
|
|
|
| атрибутивно-вариационному;
|
|
|
| +
| дискретному вариационному;
|
|
|
|
|
|
|
|
|
|
|
|
|
|
| К какому виду относится распределение банков на выполняющие пруденциальные нормативы и не выполняющие:
| Секция:
|
|
|
| вариационному;
| Вес вопроса:
|
|
| +
| атрибутивному;
| Перемешивать ответы:
| +
|
|
| атрибутивно-вариационному
|
|
|
|
| дискретному;
|
|
|
|
| интервальному.
|
|
|
|
|
|
|
|
|
|
|
|
|
|
| К какому виду будет относится ряд распределения рабочих по зарплате: до 10000, 10000-20000, 20000-30000 в тенге:
| Секция:
|
|
|
| атрибутивному
| Вес вопроса:
|
|
|
| дискретному вариационному;
| Перемешивать ответы:
| +
|
|
| атрибутивно-вариационному;
|
|
|
| +
| интервальному вариационному;
|
|
|
|
| геометрическому.
|
|
|
|
|
|
|
|
|
|
|
|
|
|
| Что будет являться вариантами в ряде распределения банков по размеру активов:
| Секция:
|
|
|
| количество банков в группе;
| Вес вопроса:
|
|
| +
| размер активов;
| Перемешивать ответы:
| +
|
|
| произведения размера активов на количество банков в группе;
|
|
|
|
| доля банков имеющих определенный размер активов в общей численности банков;
|
|
|
|
| соотношение размера активов в группе к количеству банков в группе.
|
|
|
|
|
|
|
|
|
|
|
|
|
|
| Что будет являться частотами в распределении рабочих по возрасту:
| Секция:
|
|
|
| зарплата отдельных рабочих;
| Вес вопроса:
|
|
| +
| число рабочих определенного возраста;
| Перемешивать ответы:
| +
|
|
| соотношение возраста к числу рабочих, имеющих данный возраст;
|
|
|
|
| доля рабочих определенного возраста в общей численности рабочих;
|
|
|
|
| соотношение числа рабочих к возрасту этих рабочих.
|
|
|
|
|
|
|
|
|
|
|
|
|
|
| Что будет частотью в распределении коллективных хозяйств по размеру пашни:
| Секция:
|
|
|
| размер пашни
| Вес вопроса:
|
|
|
| число хозяйств, имещих определенный размер пашни;
| Перемешивать ответы:
| +
|
|
| соотношение размера пашни к численности хозяйств, имеющих данный размер пашни;
|
|
|
|
| соотношение численности хозяйств, имеющих определенный размер пашни к размеру пашни;
|
|
|
| +
| доля хозяйств, имеющих определенный размер пашни к общей численности хозяйств
|
|
|
|
|
|
|
|
|
|
|
|
|
|
| Распределение населения по социальному положению: лица наемного труда, наниматели, лица свободных профессий, самозанятые и т.д. К какому виду группировок относится группировка населения по этому признаку:
| Секция:
|
|
|
| параболической;
| Вес вопроса:
|
|
|
| аналитической;
| Перемешивать ответы:
| +
|
| +
| типологической;
|
|
|
|
| ассиметрической;
|
|
|
|
| синтетической.
|
|
|
|
|
|
|
|
|
|
|
|
|
|
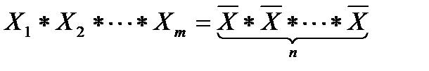
| Как определить величину интервала при преобразовании дискретного ряда распределения в интервальный, если количество предполагаемых групп равно n:
| Секция:
|
|
| +
| ;
| Вес вопроса:
|
|
|
| ;
| Перемешивать ответы:
| +
|
|
| ;
|
|
|
|
| ;
|
|
|
|
| .
|
|
|
|
|
|
|
|
|
|
|
|
|
|
| К дискретному ряду распределения рабочих относится:
| Секция:
|
|
|
| по национальности;
| Вес вопроса:
|
|
| +
| по тарифному разряду; 1, 2, 3 и т.д.;
| Перемешивать ответы:
| +
|
|
| по заработной плате до 10000, 10000-20000, 20000-30000 тг. и т.д.;
|
|
|
|
| по профессиям;
|
|
|
|
| пофамильный список.
|
|
|
|
|
|
|
|
|
|
|
|
|
|
| Доля породного скота в базисном периоде равняется 40%. Общая численность скота в базисном периоде увеличилась 10%, а породного в 1, 21 раза. Определите долю породного скота в отчетном периоде?
| Секция:
|
|
|
| 50, 0
| Вес вопроса:
|
|
| +
| 44, 0
| Перемешивать ответы:
| +
|
|
| 48, 4
|
|
|
|
| 30, 0
|
|
|
|
| 36, 4
|
|
|
|
|
|
|
|
|
|
|
|
|
|
| На плодоконсервном заводе произведено 20 тыс. 500 гр. банок овощных консервов и 30 тыс. 1000-гр. Банок варенья. При условии, что в качестве условной банки берется банка 400 грамм, чему равен будет объем производства на консервном заводе в условно-натуральных единицах измерения (условных банках)?
| Секция:
|
|
|
|
| Вес вопроса:
|
|
|
| 50;
| Перемешивать ответы:
| +
|
| +
|
|
|
|
|
| 125;
|
|
|
|
| 70.
|
|
|
|
|
|
|
|
|
|
|
|
|
|
| В поселке проживало 2 тысячи человек. В течение года родилось 50 детей. Чему будет равен коэффициент рождаемости, в промиллях?
| Секция:
|
|
|
|
| Вес вопроса:
|
|
|
| 0, 25;
| Перемешивать ответы:
| +
|
|
| 40;
|
|
|
| +
|
|
|
|
|
| 0, 40.
|
|
|
|
|
|
|
|
|
|
|
|
|
|
| На фабрике выпускают два сорта мыла. Мыло хозяйственное 40%-ной жирности – 100 т.и мыло хозяйственное 60%-ной жирности – 150 т. Сколько выпущено условного мыла 40%-ной жирности на фабрике?
| Секция:
|
|
|
| 250 т.;
| Вес вопроса:
|
|
| +
| 325 т.;
| Перемешивать ответы:
| +
|
|
| 312, 5 т.;
|
|
|
|
| 300 т.;
|
|
|
|
| 320 т.
|
|
|
|
|
|
|
|
|
|
|
|
|
|
| Коэффициент роста выпуска продукции во втором квартале по сравнению с первым составил 1, 196, по плану предполагается увеличение в 1, 150 раз. Определите коэффициент выполнения планового задания?
| Секция:
|
|
|
| 0, 730;
| Вес вопроса:
|
|
|
| 1, 375;
| Перемешивать ответы:
| +
|
|
| 0, 962;
|
|
|
| +
| 1, 040;
|
|
|
|
| 1, 320.
|
|
|
|
|
|
|
|
|
|
|
|
|
|
| Определите относительную величину динамики по следующим данным:
| Секция:
|
|
|
| 133, 3 %;
| Вес вопроса:
|
|
| +
| 116, 7 %;
| Перемешивать ответы:
| +
|
|
| 87, 5 %;
|
|
|
|
| 114, 3 %;
|
|
|
|
| 75 %.
|
|
|
|
|
|
|
|
|
|
|
|
|
|
| За истекший год получены следующие данные о численности детей, родившихся в области (чел.): мальчики – 40 357; девочки – 38 019. Определите, сколько рождалось мальчиков на каждые 100 девочек?
| Секция:
|
|
|
| на 100 девочек 1, 0615 мальчиков
| Вес вопроса:
|
|
|
| 100 девочек: 150мальчиков
| Перемешивать ответы:
| +
|
|
| 0, 94 мальчиков: 10 девочек
|
|
|
|
| 100 мальчиков: 94 девочек
|
|
|
| +
| на 100 девочек 106 мальчиков
|
|
|
|
|
|
|
|
|
|
|
|
|
|
| Численность населения Казахстана на 01.01.2014 составляла 17244, 4 тыс. чел. Территория Республики Казахстан – 2724, 9 тыс. кв.км. Определите сколько человек приходится на 1 кв.км.
| Секция:
|
|
|
| 428 чел.;
| Вес вопроса:
|
|
|
| 29 чел.;
| Перемешивать ответы:
| +
|
|
| 3, 9 чел.;
|
|
|
|
| 0, 182 чел.;
|
|
|
| +
| 6, 3 чел.
|
|
|
|
|
|
|
|
|
|
|
|
|
|
| По плану выпуск продукции на фирме в 2014 г. по сравнению с 2013 годом должен быть увеличен в 1, 10 раза, план по выпуску продукции перевыполнен в 1, 03 раза. Определите коэффициент роста выпуска продукции в 2014 году по сравнению с 2013 годом?
| Секция:
|
|
|
| 2, 13;
| Вес вопроса:
|
|
|
| 1, 068;
| Перемешивать ответы:
| +
|
| +
| 1, 133;
|
|
|
|
| 0, 936;
|
|
|
|
| 0, 07.
|
|
|
|
|
|
|
|
|
|
|
|
|
|
| Доля городского населения в общей численности в базисном периоде равнялась 40%, сельского 60%. В отчетном периоде численность горожан увеличилась 1, 5 раза, сельчан в 1, 2 раза. Сколько жителей села приходится на сто жителей города в отчетном периоде?
| Секция:
|
|
|
| 56;
| Вес вопроса:
|
|
|
| 150;
| Перемешивать ответы:
| +
|
|
| 67;
|
|
|
| +
| 120;
|
|
|
|
| 125.
|
|
|
|
|
|
|
|
|
|
|
|
|
|
| Чему равно следующее выражение (
| Секция:
|
|
|
| положительному
| Вес вопроса:
|
|
| +
| 0;
| Перемешивать ответы:
| +
|
|
| любому значению;
|
|
|
|
| 1;
|
|
|
|
| отрицательному;
|
|
|
|
|
|
|
|
|
|
|
|
|
|
| Если отдельные значения признака в первом ряду распределения встречается одинаковое число раз, а во втором чем больше значение признака тем больше и частота. Значение признака и в том и другом случае одинаковы. Какое соотношение будет между этими средними?
| Секция:
|
|
| +
| вторая средняя будет больше чем первая;
| Вес вопроса:
|
|
|
| они будут равны;
| Перемешивать ответы:
| +
|
|
| вторая средняя будет меньше чем первая;
|
|
|
|
| возможно любое соотношение, больше или меньше;
|
|
|
|
| первая средняя будет меньше 1, 2.
|
|
|
|
|
|
|
|
|
|
|
|
|
|
| Необходимо построить ряд распределения туристических туров по стоимости. Наибольшая стоимость тура 1300 ден.ед., наименьшая 300 ден.ед. Определите интервал и границы интервала первой группы туров по стоимости (по упрощённой форме записи), если число групп равно 5?
| Секция:
|
|
|
| 150, 280-350;
| Вес вопроса:
|
|
|
| 200, 500-700;
| Перемешивать ответы:
| +
|
| +
| 200, 300-500;
|
|
|
|
| 280, 300-580;
|
|
|
|
| 250, 250-500.
|
|
|
|
|
|
|
|
|
|
|
|
|
|
| Свойство какой средней отражает определяющая функция
| Секция:
|
|
| +
| геометрической;
| Вес вопроса:
|
|
|
| гармонической;
| Перемешивать ответы:
| +
|
|
| квадратической;
|
|
|
|
| кубической;
|
|
|
|
| арифметической.
|
|
|
|
|
|
|
|
|
|
|
|
|
|
| Свойство какой средней отражает определяющая функция: + +...+ =
| Секция:
|
|
| +
| гармонической;
| Вес вопроса:
|
|
|
| геометрической;
| Перемешивать ответы:
| +
|
|
| квадратической;
|
|
|
|
| кубической;
|
|
|
|
| арифметической.
|
|
|
|
|
|
|
|
|
|
|
|
|
|
| Свойство какой средней отражает определяющая функция:
| Секция:
|
|
| +
| арифметической;
| Вес вопроса:
|
|
|
| геометрической;
| Перемешивать ответы:
| +
|
|
| квадратической;
|
|
|
|
| кубической;
|
|
|
|
| гармонической.
|
|
|
|
|
|
|
|
|
|
|
|
|
|
| Рассчитать значение моды (Мо) и медианы (Ме) по данным:
| Секция:
|
|
|
| Мо=2, Ме=6.
| Вес вопроса:
|
|
|
| Мо=4, Ме=6;
| Перемешивать ответы:
| +
|
|
| Мо=2, Ме=4;
|
|
|
|
| Мо=4, Ме=2;
|
|
|
| +
| Мо=4, Ме=4;
|
|
|
|
|
|
|
|
|
|
|
|
|
|
| Дано распределение взрослого женского населения по размеру обуви в одном из населенных пунктов:
Медиана в этом ряду распределения равна?
| Секция:
|
|
|
| Ме=23;
| Вес вопроса:
|
|
|
| Ме=39;
| Перемешивать ответы:
| +
|
|
| Ме=28;
|
|
|
| +
| Ме=38;
|
|
|
|
| Ме=21.
|
|
|
|
|
|
|
|
|
|
|
|
|
|
| Можно ли рассчитать моду и медиану в атрибутивном ряду равспределения?
| Секция:
|
|
| +
| Мо можно, Ме нельзя;
| Вес вопроса:
|
|
|
| Мо нельзя, Ме можно;
| Перемешивать ответы:
| +
|
|
| Мо можно, Ме можно;
|
|
|
|
| Если Мо нельзя, Ме можно;
|
|
|
|
| Если Мо можно, Ме можно.
|
|
|
|
|
|
|
|
|
|
|
|
|
|
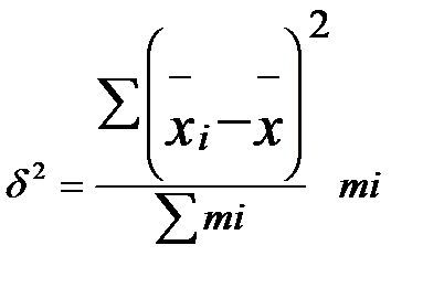
| Величина = 20, =16, i=2, . Чему равна дисперсия ( 2)?
| Секция:
|
|
| +
| 7, 36;
| Вес вопроса:
|
|
|
| 3, 68;
| Перемешивать ответы:
| +
|
|
| 4;
|
|
|
|
| 2;
|
|
|
|
| 0, 4.
|
|
|
|
|
|
|
|
|
|
|
|
|
|
| Чему будет равно среднее значение признака ( ), если коэффициент вариации равен 10%, среднее квадратическое отклонение ( ) 2?
| Секция:
|
|
|
| 0, 2;
| Вес вопроса:
|
|
|
| 10;
| Перемешивать ответы:
| +
|
| +
| 20;
|
|
|
|
| 200;
|
|
|
|
| 2.
|
|
|
|
|
|
|
|
|
|
|
|
|
|
| Чему будет равно среднее квадратическое отклонение, если коэффициент вариации будет равен 20%, а среднее значение = 40?
| Секция:
|
|
|
| 20;
| Вес вопроса:
|
|
| +
| 8;
| Перемешивать ответы:
| +
|
|
| 8;
|
|
|
|
| 0, 5;
|
|
|
|
| 50.
|
|
|
|
|
|
|
|
|
|
|
|
|
|
| Совокупность подразделяется на две равные по численности группы. Средняя из ввнутригрупповых дисперсии равна 2, средняя значение признака в первой группе равно 5, во второй 3, чему будет равна общая дисперсия?
| Секция:
|
|
| +
| 3;
| Вес вопроса:
|
|
|
| 4;
| Перемешивать ответы:
| +
|
|
| 5;
|
|
|
|
| 7;
|
|
|
|
| 8.
|
|
|
|
|
|
|
|
|
|
|
|
|
|
| Чему будет равен месячный фонд рабочего времени в человеко-днях (ч-дн,), если у каждого из 100 рабочих продолжительность рабочего дня составляет 8 часов, а продолжительность рабочего месяца 22 дня?
| Секция:
|
|
|
| 17600 чел час.
| Вес вопроса:
|
|
| +
| 2200 чел дн.
| Перемешивать ответы:
| +
|
|
| 22 чел дн.
|
|
|
|
| 176 чел дн.
|
|
|
|
| 17, 6 чел дн.
|
|
|
|
|
|
|
|
|
|
|
|
|
|
| Межгрупповая дисперсия равна 5 общая дисперсия 8. Чему равна средняя изнутри групповых дисперсии?
| Секция:
|
|
|
| не возможно определить;
| Вес вопроса:
|
|
|
| 13;
| Перемешивать ответы:
| +
|
|
| 16;
|
|
|
| +
| 3;
|
|
|
|
| 0, 625.
|
|
|
|
|
|
|
|
|
|
|
|
|
|
| Как измениться среднее квадратическое отклонение значение признака от средней величины , если значение признака увеличиться d раз.
| Секция:
|
|
| +
| увеличится d раз.
| Вес вопроса:
|
|
|
| не измениться;
| Перемешивать ответы:
| +
|
|
| увеличится d2 раз;
|
|
|
|
| уменьшится d раз.
|
|
|
|
| увеличиться в раз.
|
|
|
|
|
|
|
|
|
|
|
|
|
|
| Что характеризует показатель ?
| Секция:
|
|
| +
| различия между групповыми средними;
| Вес вопроса:
|
|
|
| различия значения признака внутри групп;
| Перемешивать ответы:
| +
|
|
| общая различие значении признака совокупности;
|
|
|
|
| средне линейное абсолютная отклонения;
|
|
|
|
| размах вариации
|
|
|
|
|
|
|
|
|
|
|
|
|
|
| Что характеризует показатель = ?
| Секция:
|
|
| +
| различие значение признака внутри групп;
| Вес вопроса:
|
|
|
| различия между группами
| Перемешивать ответы:
| +
|
|
| общие различие значений признака совокупности
|
|
|
|
| среднее из среднелинейных абсолютных отклонений в отдельных группах
|
|
|
|
| среднее из размахов в отдельных группах.
|
|
|
|
|
|
|
|
|
|
|
|
|
|
| Общая дисперсия значений признака ( ) равна -9, средняя изнутри групповых дисперсии равна -3. Чему равна между групповая дисперсия?
| Секция:
|
|
|
| 0, 33;
| Вес вопроса:
|
|
|
| 3;
| Перемешивать ответы:
| +
|
| +
| 6;
|
|
|
|
| -6;
|
|
|
|
| 12.
|
|
|
|
|
|
|
|
|
|
|
|
|
|
| Предпритие планировало увеличить объем продукции по сравнению с прошлым периодом на 25%, фактический объем продукции по сравнению с прошлым периодом снизился на 15%. Определите относительную величину выполнения плана?
| Секция:
|
|
|
| 94, 4%;
| Вес вопроса:
|
|
|
| 108, 15%;
| Перемешивать ответы:
| +
|
|
| 103, 3%;
|
|
|
| +
| 68%;
|
|
|
|
| 101, 9%.
|
|
|
|
|
|
|
|
|
|
|
|
|
|
| К зарплате каждого работника добавили 5 тыс.тг. Как измениться дисперсия, характеризующая различия зарплате у рабочих?
| Секция:
|
|
| +
| не измениться;
| Вес вопроса:
|
|
|
| увеличиться на 5 тыс.
| Перемешивать ответы:
| +
|
|
| уменьшиться на 5 тыс.
|
|
|
|
| как измениться предугадать невозможно;
|
|
|
|
| увеличиться на разницу 5 тыс.- средняя зарплата
|
|
|
|
|
|
|
|
|
|
|
|
|
|
| При прочих равных условиях бесповторная выборка обеспечит
| Секция:
|
|
| +
| более точные данные, меньшую величину ошибки;
| Вес вопроса:
|
|
|
| менее точные данные, большую величину ошибки;
| Перемешивать ответы:
| +
|
|
| более точные при численности n больше 100;
|
|
|
|
| одинаковую величину ошибки;
|
|
|
|
| менее точные при n больше 100.
|
|
|
|
|
|
|
|
|
|
|
|
|
|
| Генеральная совокупность перед началом отбора единиц выборки не подразделяется ни на какие группы, отбор единиц выборку производится по таблице случайных чисел или по жребию. К какому виду будет относится это выборка?
| Секция:
|
|
|
| механической
| Вес вопроса:
|
|
|
| районированной, типической
| Перемешивать ответы:
| +
|
|
| серийной, гнездовой
|
|
|
| +
| собственно – случайной
|
|
|
|
| комбинированной
|
|
|
|
|
|
|
|
|
|
|
|
|
|
| Проводиться выборочное обследование успеваемости студентов. В случайном порядке отбираются отдельные учеьные группы, в пределах которых обследуются все студенты. Какому виду выборки будет относиться это обследование?
| Секция:
|
|
|
| механической
| Вес вопроса:
|
|
|
| комбинированной
| Перемешивать ответы:
| +
|
| +
| гнездовой
|
|
|
|
| собственно-случайной
|
|
|
|
| районированной
|
|
|
|
|
|
|
|
|
|
|
|
|
|
| Предприятие планировало увеличить выпукс товарной продукции на 3, 8%, фактически она составила 98% к предыдущему году. Определите относительную величину выполнения плана?
| Секция:
|
|
| +
| 94, 4%;
| Вес вопроса:
|
|
|
| 108, 15%;
| Перемешивать ответы:
| +
|
|
| 103, 3%;
|
|
|
|
| 68%;
|
|
|
|
| 101, 9%.
|
|
|
|
|
|
|
|
|
|
|
|
|
|
| Проводятся обследования успеваемости студентов. Отбор студентов производится в случайном порядке в разрезе отдельных специальностей, при одинаковой доле отбора. К какому виду будет относится данное выборочное обследование?
| Секция:
|
|
| +
| районированной, типической;
| Вес вопроса:
|
|
|
| собственно-случайной;
| Перемешивать ответы:
| +
|
|
| комбинировании;
|
|
|
|
| механической;
|
|
|
|
| гнездовой или серийной.
|
|
|
|
|
|
|
|
|
|
|
|
|
|
| Доля единиц, имеющих определенное значение признака в выборочной совокупности равна 0, 1. Численность выборки 225. Чему равна средняя ошибка выборочной доли, при условии, что отбор единиц в выборку повторный?
| Секция:
|
|
|
| 0, 07.
| Вес вопроса:
|
|
|
| 0, 01;
| Перемешивать ответы:
| +
|
|
| 0, 04;
|
|
|
|
| 0, 03;
|
|
|
| +
| 0, 02;
|
|
|
|
|
|
|
|
|
|
|
|
|
|
| Проводится выборочное обследование зарплаты работников. Предварительно составляется список работников, ранжированный по уровню зарплаты, а затем согласно доли отбора отбирается соответствующее количество работников. К какому виду относится данное выборочное обследование?
| Секция:
|
|
|
| собственно случайной;
| Вес вопроса:
|
|
| +
| механической;
| Перемешивать ответы:
| +
|
|
| комбинированной;
|
|
|
|
| типической, районированной;
|
|
|
|
| гнездовой или серийной.
|
|
|
|
|
|
|
|
|
|
|
|
|
|
| Сколько нужно отобрать единиц совокупности, если вероятность Р=0, 954 (t=2), дисперсия ( ) равна 360, предельная ошибка ( х) была равна 4, отбор повторный:
| Секция:
|
|
|
| 45;
| Вес вопроса:
|
|
| +
| 90;
| Перемешивать ответы:
| +
|
|
| 360;
|
|
|
|
| 180;
|
|
|
|
| 270.
|
|
|
|
|
|
|
|
|
|
|
|
|
|
| Что означает предельная ошибка выборочной средней?
| Секция:
|
|
| +
| максимально возможное отклонение выборочной средней от генеральной средней, которое может иметь место с определенной вероятностью;
| Вес вопроса:
|
|
|
| ошибки, допущенные при регистрации отдельных выборочных данных;
| Перемешивать ответы:
| +
|
|
| ошибка, возникающая вследствие нарушения случайности при отборе отдельных единиц совокупности в выборку;
|
|
|
|
| из вышеприведенного нет определений предельной ошибки;
|
|
|
|
| среднее отклонение возможных значений выборочной средней от генеральной средней.
|
|
|
|
|
|
|
|
|
|
|
|
|
|
| Что представляет собой ошибка репрезентативности (выборки)?
| Секция:
|
|
|
| ошибка регистрации;
| Вес вопроса:
|
|
|
| ошибки связанные с неточностью учета отдельных данных, допущенных в силу невнимательности, описок, недостатка опыта;
| Перемешивать ответы:
| +
|
|
| ошибки, связанные с неточностью учета отдельных данных, когда имеет место сознательное искажение отдельных данных;
|
|
|
| +
| разница между значениями показателя, полученная на основе выборочных данных и на основе данных всей совокупности;
|
|
|
|
| преднамеренная ошибка.
|
|
|
|
|
|
|
|
|
|
|
|
|
|
| Как влияет на величину средней ошибки выборочной средней увеличение различий в значениях признака ( ) и как увеличение численности выборки?
| Секция:
|
|
| +
| увеличивает, уменьшает;
| Вес вопроса:
|
|
|
| увеличивает, увеличивает;
| Перемешивать ответы:
| +
|
|
| уменьшает, уменьшает;
|
|
|
|
| не влияет, уменьшает;
|
|
|
|
| не влияет, не влияет.
|
|
|
|
|
|
|
|
|
|
|
|
|
|
| Сколько нужно обследовать вкладчиков, чтобы при вероятности Р=0, 954 (t=2) предельная ошибка при определении доли вкладчиков размер вклада у которых превышает 200 тыс.тенге не превышала 0, 02. Прошлый опыт показал, что доля таких вкладчиков не превышала 20 процентов. Отбор повторный?
| Секция:
|
|
|
| 400.
| Вес вопроса:
|
|
|
| 800;
| Перемешивать ответы:
| +
|
|
| 2000;
|
|
|
|
| 1000;
|
|
|
| +
| 1600;
|
|
|
|
|
|
|
|
|
|
|
|
|
|
| Проводится выборочное обследование успеваемости студентов. В случайном порядке отбираются отдельные учебные группы, а в отобранных группах обследуются все студенты. В каком случае выборка даст более точные данные? Если:
| Секция:
|
|
| +
| группы будут как можно более разнородные по уровню успеваемости;
| Вес вопроса:
|
|
|
| если группы будут как можно более однородные по уровню успеваемости;
| Перемешивать ответы:
| +
|
|
| если показатели успеваемости по группам будут сильно различаться;
|
|
|
|
| если средний балл успеваемости будет низкий.
|
|
|
|
| если средний балл успеваемости будет высоким
|
|
|
|
|
|
|
|
|
|
|
|
|
|
| Формула какого показателя приводится :
| Секция:
|
|
| +
| эмпирического корреляционного отношения;
| Вес вопроса:
|
|
|
| индекса корреляции;
| Перемешивать ответы:
| +
|
|
| коэффициента корреляции;
|
|
|
|
| коэффициента регрессии;
|