Студопедия

Главная страница Случайная страница

КАТЕГОРИИ:

АвтомобилиАстрономияБиологияГеографияДом и садДругие языкиДругоеИнформатикаИсторияКультураЛитератураЛогикаМатематикаМедицинаМеталлургияМеханикаОбразованиеОхрана трудаПедагогикаПолитикаПравоПсихологияРелигияРиторикаСоциологияСпортСтроительствоТехнологияТуризмФизикаФилософияФинансыХимияЧерчениеЭкологияЭкономикаЭлектроника






Кроєння сіткового полотна






Терміни, визначення операції при кроєнні сіткового полотна

Кроєння - спосіб одержання із сіткового полотна деталей визначеної форми (малюнок 2)



 


Малюнок 2

 

Кроєння по косому - різання сіткового полотна паралельно сторонам вічка, коли у вічку перерізається тільки одна нитка (малюнок 3)



 

 

 

 

Малюнок 3

Кроєння по прямій – різання сіткового полотна, тобто вічок повздовж та поперек провяза(малюнок 4)

 

" Малюнок 4

 

Цикл кроєння - відношення кількості зрізаних вічок по прямій до числа перерізних ниток по косій (малюнок 5)

 

Малюнок 5

 



Позитивний цикл кроєння - цикл кроєння в якому прямі вічка ріжуться по ширині сіткового полотна (по вертикалі) (малюнок 6)

Малюнок 6

. Негативний цикл кроєння - цикл кроєння в якому прямі вічка ріжуться по довжині сіткового полотна (по горизонталі) (малюнок 7)

Малюнок 7

Кроєння сіткового полотна має три основні види:

- по прямій;

- по косій;

- комбінований.

Комбінований крій в залежності від чергування різання вічок по прямій та ниток по косій, ділиться на два підвиди:

-різання вічок по вертикалі в сполученні з різкою ниток по косій -
позитивне кроєння

-різання вічок по горизонталі в сполученні з різкою ниток по косій —
негативне кроєння.

При розрахунку негативного циклу кроєння ставиться знак (-) мінус. Якщо число зрізаних вічок по прямій і ниток по косій в циклі кроєння мають в чисельнику чи в знаменнику число (І)одиницю, цикл називається простим


, а коли цикл крою називається складним і розбивається

на простий:

«

При вирівнянні сіткових пластин, які мають форму трапеції чи паралелограма, за комбінованим циклом - зрізаються клини, висота яких може бути більшою чи меншою.

При різанні клина, висота якого більша основи розрахункового клина називається позитивним циклом крою і розраховується за формулою

(1)

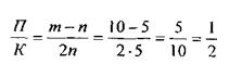
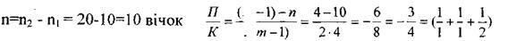
де П - кількість вічок в циклі, зрізаних по прямій; К - кількість ниток в циклі, зрізаних по косій; m - кількість ічок по висоті пластини; п - кількість вічок при основі розрахункового клина. Приклад 1. Необхідно викроїти частину (пластину) трала, яка має форму правильної трапеції. Верхня основа n 1= 20 вічок, нижня - n 2 = 10 вічок, по висоті m =10 вічок. Знайти цикл кроєння

Малюнок 7а

m=10 вічок n 1 = 20 вічок n 2 = 10 вічок

Находимо п - кількість вічок у основи розрахункового клину

Цикл кроєння позитивний т> п

■ є*


Малюнок 7 б

 

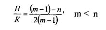
Якщо висота різучого клину менша основи, то цикл називається негативним. Цикл кроєння розраховується за формулою:

(2)

Тобто в цьому циклу кроєння завжди треба відняти одне вічко у меншої сторони.

Приклад 2. Знайти цикл кроєння крила трала, якщо візьмемо m = 5 вічок, верхня кромка n 1= 10 вічок, нижня n2=20 вічок

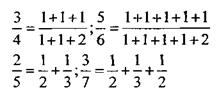
Малюнок 8 У трикутниках формула розрахунку циклу крою виглядає так:

М


В такому клині ми першу вічку по висоті і по ширині рахуємо, як одну, тому у формулі розрахунку циклу кроєння ми завжди віднімаємо одну вічку в меншій стороні.

Малюнок 9

Різання сіткового полотна треба починати з меншої сторони


Малюнок 10

m = 7 вічок п = 10 вічок



 

 

Малюнок 11

 

 

Малюнок 12



 

Посадка сіткового плотна. Посадкою називаєтьс процес закріплення кромки сіткового полотна до каркасу - остропки знаряддя рибальства, який складається із канатів, вірьовок. Посадку сіткового полотна можна проводити машинним (СПМ-17-22) і ручним способом.

Посадка «набігу». Цей вид посадки застосовуюється найбільш широко в промриболовстві. Корінний кінець посадочної нитки закріплюють на підбору вибленочним вузлом. Потім гличку з посадочною ниткою пропускають через декілька вічок посадочної кромки даючи посадочній нитці деяку слаюину і закріплюють її до підбори. Гличку знову продівають через вічко, роблять вузел на підборі і продовжують цю операцію до кінця підбори (мал. 1). Відстань між двома посадочними вузлами на підборі називають довжиною огніва. Якщо огніво набирають (п) вічок з розміром крока вічка (а) і посадочного коефіцієнта (и) то довжина огніва буде дорівнювати 1 = 2а и п. Кількість вічок в огніво приймають таким чином, щоб довжина огніва була рівно 15-20 см.

Різновидністю посадки «на бігу» явяляється посадка на шнур. При такій посадці спочатку через всі вічка посадочної кромки сіткового полотна пропускають посадочну нитку, яку потім з дотриманням потрібного посадочного коефіцієнта закріпляють до підбори окремою ниткою простим бензелем. (мал. ЇВ). При посадці крупноячейних сіткових полотен інколи до підбори під" вязують кожне вічко. Більш удобнішим рахують посадку таких полотен з захватом кожної ячеї в два огніва (малюнок 1Г). Східна знеї посадка дзеркальних вічок (маллюнок ІД). Серкальні вічка повернуті до підбори стороною, а не вершиною.

Посадка шворочним швом. Посадка нагадує з'єднання шворочним швом міткових полотен. Для виконання посадки сіткового полотна вряду місць тимчасово закріплюють то підбори зі слабиною дотриманням потрібного посадочного коефіцієнта. Посадочну кромку закріплюють до підбори вплотну шворочним швом, рівномірно розпріділяють на кожному участку слабину сіткового полотна. У шворочний шов забирають не більше 1—2 кромочних вічок

сіткового полотна. На кожн вічко ставлять 2 шлага і роблять вубленечний вузел незалежно від розміра вічка.

Посадка бензельними вузлами. Цей вид посадки служить для закріфплення до підбори кожного вічка крупноячейного сітковго полотна. Для посадки можна використовувати різні типи бензелів і напівбензелів. Число шлагів бензеля коливається від 5 до 10, а напівбензеля від 4 до 5.

Посадка «вплотну». Посадку застосовують в основному закріплення сіткового полотна до пожили. Посадку починають з закріплення ходового кінця посадочної нитки до пожили вибленочним вузлом зі шлагом. Потім в огніво беруть одну чи декілька вічок і зново закріплюють туго натягнуту посадочну нитку до пожилини. Довжину огніва число вічок в нім приймають в залежності від крока вічки і посадочного коефіцієнта сіткового полотна.

Малюнок 13 Види посадок

а) -на бігу; б) - дрифтерна; в) - на шнур; г) - крупновічкових сіткових полотен; д) -посадка дзеркальних вічок

З'єднання сіткових полотен. З'єднання сіткових полотен здійснюється методом вічкування і шворки вручну, або машинним способом (машина марки СМ - 8 - 20).

Вічкування. Таке з'єднання застосовують коли неповинно бути помітне. Сіткові полотна з'ячеюють за циклом з'ячейки. Цикл з'ячейки визначає скільки вічок приходиться з'єднувати одну частину полотна до кількость вічок яку з'єднується друга частина полотна. Цикл з'ячеювання називать простим якщо це 1/1, складний цикл 1/2 і т.д. При з^ячеюванні сіткових полотен по простому циклу між ними вив'язують один ряд вічок того ж розміру що і вічки з'єднаних сіткових полотен. З'ячеювання по складному циклу виконують так, щоб на кожну вічку пластини приходилось два вічка.

З'єднування сіткових пластин швор очним швом. Розрізняють з'єднання в рубець, в нахлестку, розпусним швом. Шворочний шов в рубець одержують в результаті захвату крайніх вічок з'єднувальних кромок з періодичним зав'язуванням вибленочного вузла по довжині шва. В залежності від розміру вічка полотна і необхідній міцності шва чило вічок забирають в шов з кожної кромки від 1 до 10. Кількість шлагів шворочної нитки в кожному вічку від 1 до 8, число вічкок між вибленочними вузлами від 1 до 4. шворочна нитка повинна бути в декілька(два) раз товстішою ніж сіткове полотно. Шворочний шов в нахлестку застосовують для з'єднання кромки однієї пластини з некромочними вічками другої. Як і шов в рубець її виконують шляхом продівання глички з ниткою один чи декілька раз через вічка сіткових полотен з зав'язуванням вибленочного вузла в кожнім вічку або через декілька. Для швидкого роз'єднування сіткових полотен застосовують розпускний шов. Такий шов виконують шляхом поочередного продівання зашморга із швор очної нитки через кожне вічко крайніх рядів з'єднаної кромки. Потягнувши за ходовий кінець нитки, можно розпустити весь шов.

Малюнок 14 Вічкування

а) по простому циклу б) по складному циклу

Малюнок 15 Шворочні шви в рубець

а) - половина вічка б) -одного вічка в) -півтора вічка г) - вид готового шворочного шва

 

Малюнок 16 Шворочний шов внахлестку (а), розпусний

Такелажні роботи. Такелажні роботи при виготовленні знарядь рибальства складаються із розмолажевання канатів, різання та обробки канаів, з'єднання канатів між собою. Рослинні і синтитичні канати розмоложують, якщо вони отримали при виготовленні підвищену крутку. Для зменшення крутки канат протягують по землі чи настилу або за судном. При цьому канат розкручується і зайві крутки спускають через свобідний кінець. Різання канатів виконується вручну, або за допомогою дискової пили або зубила. Обробку канатів зводиться до оплітки і обробки їх кінців, виготовлення огонів, сплесінь, накладанню марок, тренцеванню, клетневанню. Кінці відрізаних канатів закріплюють шляхом наложення на них марок. Інколи кінці тонких вірьовок і канатів обпалюють чи переплітають пряді на кінцях канатів, які називаються кнопами. Прості огони одержують шляхом переплітання ходового кінця каната з корінним на відстані, яку забезпечує необхідну величини огона. Виготовлення простих огонів, особливо стальних та комбінованих канатів трудоємка робота тому широке розповсюдження одержали крипіжні огони. При вигтовлення таких огонів кінеціь канату загинають, а потім ходовий і корінний кінці каната захвачують колодками чи скобами, які звінчуються між собою. Інколи на ходові і корінні кінці канату застосовуєть алюмініві втулки.

Для того, щоб відмітити потрібні точки на канаті, наприклад виділити на них одинакові довжини, на канат накладають марки в виді 10-12 шлагів нитки, кінці яких заправляють під шлаг.

Оплеточні роботи (транцьовання і клетневання) призначено для запобігання поверхності канатів від пошкоджень, особливо в місцях кріплення до них деталей і трущих місцях. При транцеванні на туго на натянуті канати впадини між прядями заповнюють по спіралі вірьовкою чи шнуром. Поверхність каната після транцевання стає гладкою, що збільшую його довговічність. При клетневанні канат щільно обмотують плівкою із парусини або сентитичної. Поверх них накладають шлаги із нитки або вірьовки.

Значне місце при виготовленні знарядь промислового рибальства мають з" єднання вірьовочно-канатних елементів. Відрізняють з єднання кінців канатів до середини канатів і з'єднання середин канатів.

В знаряддях рибальства в кінці канатів найбільш часто зєднають за допомогою прямих, шкотових, брам шкотових і рифових вузлів, зрощуванням (малюнок 6, а), за допомогою металевих скоб - чекелів (малюнок 6, б). Кінці канатів закріплюють до середини канатів звичайними вибленочними чи стопорними вузлами (малюнок 6, в). Середини канатів в основному з'єднають за допомогою бензелів (малюнок 6, г).

Малюнок 17 Види з'єднання вірьовочно-канатних елементів

а) - сплеснем; б) - скобою (чекелем); в) - вибленочним вузлом; г) -бензелем

 

 


Поделиться с друзьями:

mylektsii.su - Мои Лекции - 2015-2026 год. (0.797 сек.)Все материалы представленные на сайте исключительно с целью ознакомления читателями и не преследуют коммерческих целей или нарушение авторских прав Пожаловаться на материал