Студопедия

Главная страница Случайная страница

КАТЕГОРИИ:

АвтомобилиАстрономияБиологияГеографияДом и садДругие языкиДругоеИнформатикаИсторияКультураЛитератураЛогикаМатематикаМедицинаМеталлургияМеханикаОбразованиеОхрана трудаПедагогикаПолитикаПравоПсихологияРелигияРиторикаСоциологияСпортСтроительствоТехнологияТуризмФизикаФилософияФинансыХимияЧерчениеЭкологияЭкономикаЭлектроника






Решение. 1. Вычисляем реактивные сопротивления:






1. Вычисляем реактивные сопротивления:

 

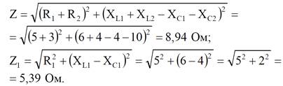
2. Вычисляем полное сопротивление цепи Z и участка цепи Z1 пользуясь формулой:

В нашем случае:

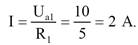
3. Вычисляем ток в цепи:

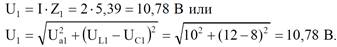
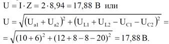
4. Вычисляем напряжение на каждом элементе, подведенное к цепи и на участке АВ:

Напряжение, подведенное к цепи:

Напряжение на участке АВ:

5. Вычисляем угол сдвига фаз цепи между напряжением и током с помощью любого из треугольников: напряжений, сопротивлений или мощностей.


Для нашей цепи вычисляем через tgφ

Знак (-) говорит о том, что электрическая цепь, в целом, носит емкостной характер.

6. Вычисляем мощность каждого элемента:

7. Вычисляем активную, реактивную и полную мощности цепи

8. Вычисляем частоту, при которой в цепи возможен резонанс напряжений:

9. Строим топографическую векторную диаграмму (рис. 19а). Для этого в последовательной цепи задаемся вектором тока без масштаба (так как ток одинаков) и складываем векторы напряжений в определенном масштабе в той последовательности, в которой произведено соединение элементов в цепи. Выбираем масштаб по напряжению МU = 4 В/см. Определяем длину векторов.

При сложении векторов напряжений учитываем, что на активной нагрузке ток и напряжение совпадают по фазе, на индуктивности напряжение опережает ток по фазе на 90°, на емкости - напряжение отстает от тока на 90°. Начало первого вектора и конец последнего вектора дают нам вектор общего напряжения, подведенного к цепи.

Диаграммы сопротивлений и мощностей приведены на рис. 19б и 19в.

Рисунок 19

 


Поделиться с друзьями:

mylektsii.su - Мои Лекции - 2015-2026 год. (1.062 сек.)Все материалы представленные на сайте исключительно с целью ознакомления читателями и не преследуют коммерческих целей или нарушение авторских прав Пожаловаться на материал