Студопедия

Главная страница Случайная страница

КАТЕГОРИИ:

АвтомобилиАстрономияБиологияГеографияДом и садДругие языкиДругоеИнформатикаИсторияКультураЛитератураЛогикаМатематикаМедицинаМеталлургияМеханикаОбразованиеОхрана трудаПедагогикаПолитикаПравоПсихологияРелигияРиторикаСоциологияСпортСтроительствоТехнологияТуризмФизикаФилософияФинансыХимияЧерчениеЭкологияЭкономикаЭлектроника






Основы теории работы клапанов






Экспериментальные исследования работы клапанов поршневого насоса показывают, что зависимости скорости поршня V, давления цилиндре р и высоты подъема клапанов h от угла поворота кривошипа φ имеют вид, изображенный на рисунке 6.37

Рисунок 6.37

Из графика видно, что клапаны запаздывают с открытием и закрытием по сравнению со скоростью движения поршня V на угол j0' для всасывающего клапана и на угол j0'' для нагнетательного. Следует также отметить, что, при резком изменении давления в цилиндре от рн рВ и наоборот, клапан испытывает значительные перегрузки, так как в это время поршень уже движется со скоростью V и V", а высота подъема клапана падает до нуля. Это может вызвать посадку клапана на седло с ударом.

Для определения закона изменения высоты подъема клапана, принимается упрощенная схема равновесия клапана в открытом состоянии, (гидравлическими и механическими сопротивлениями пренебрегаем).

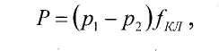
В этом случае на клапан действует сила натяжения пружины R, вес тарелки G и гидростатическая сила давления.

где р1, р2 – давления жидкости;

- площадь тарелки клапана диаметром d (как показано на рисунке 6.38).

Рисунок 6.38

 

Из условия равновесия следует P = R + G или (р1 –p2) fKЛ, = R+G.

Таким образом, через кольцевое щелевое отверстие клапана движение жидкости происходит под напором:

Воспользовавшись формулой истечения жидкости через отверстие при постоянном напоре, определим расход жидкости в щели клапана

где μ - коэффициент расхода клапана, зависящий от его гидравлического сопротивления и от высоты подъема. (Например, для тарельчатого клапана с плоским дном при изменении высоты h = 1 мм до 12 мм коэффициент расхода μ убывает с 0, 87 до 0, 445 [8]); площадь щели клапана, у которого высота подъема h.

 

Теоретическая скорость истечения через клапан.

Из условия неразрывности потока расход через клапан равен мгновенной подаче насоса (расходу через седло клапана )



 


Следовательно, высота подъема клапана равна:

 

 

а скорость подъема клапана соответственно

 

Графическая зависимость высоты подъема и скорости клапан от угла поворота кривошипа показана на рисунке 6.39.


Рисунок 6.39

 

Если скорость клапана в начале хода имеет конечное значение (cos0=1), то для его подъема надо придать значительно теоретически бесконечно большое ускорение, т.е. приложить бесконечно большую силу. Исследование работы клапанов показывает, что давление открытия клапанов имеет конечное значение, немного превышающее давление соответствующего процесса.

Полученный закон движения клапанов не точен, так как работа клапана представлена из условия, что он открыт и находится в равновесии.

В действительности клапан находится в движении, при этом под тарелкой клапана в период подъема будет задерживаться жидкость и через седло будет проходить больше жидкости, т.е qс > μ , а при опускании клапана qс < μ .

Уравнение расхода движущегося клапана записывается с внесением поправки Вестфаля:

VKJl - принята с некоторым допущением по вышеприведенной формуле. Теперь высота подъема клапана равна

Графическое сложение синусоиды 1 и косинусоиды 2 на рисунке 6.40 позволяет определить угол запаздывания клапана φ 0 и высоту запаздывания посадки клапана h0.

Рисунок 6.40

 

Графическая зависимость лучше совпадает с опытными данными исследования работы клапанов.

Такая работа клапана ведет к утечке жидкости и посадке клапана с ударом, так как при угле φ = 180° поршень имеет скорость V = 0, затем при движении поршня в противоположную сторону при открытом клапане резко меняется давление в цилиндре, что и приводит к посадке клапана с ударом.

Надо иметь в виду, что цилиндр насоса имеет два клапана, всасывающий и нагнетательный, следовательно, запаздывание закрытия одного из клапанов вызовет утечки жидкости через другой.

 


Поделиться с друзьями:

mylektsii.su - Мои Лекции - 2015-2026 год. (0.875 сек.)Все материалы представленные на сайте исключительно с целью ознакомления читателями и не преследуют коммерческих целей или нарушение авторских прав Пожаловаться на материал