Студопедия

Главная страница Случайная страница

КАТЕГОРИИ:

АвтомобилиАстрономияБиологияГеографияДом и садДругие языкиДругоеИнформатикаИсторияКультураЛитератураЛогикаМатематикаМедицинаМеталлургияМеханикаОбразованиеОхрана трудаПедагогикаПолитикаПравоПсихологияРелигияРиторикаСоциологияСпортСтроительствоТехнологияТуризмФизикаФилософияФинансыХимияЧерчениеЭкологияЭкономикаЭлектроника






Теоретическое введение. Непрерывные случайные величины






Непрерывные случайные величины

Теоретическое введение

Случайная величина Х имеет непрерывное распределение, если она может принимать любые значения из некоторого конечного или бесконечного промежутка. Число возможных значений непрерывной случайной величины бесконечно. Строгое определение непрерывной случайной величины следующее: случайная величина называется непрерывной, если математическое ожидание любой функции g (X) можно записать в виде:

(2.1)

Под “любой” функцией g (х) имеется ввиду такая, для которой интеграл (2.1) существует и сходится абсолютно.
Функция φ (x) называется плотностью распределения вероятностей непрерывной случайной величины Х и обладает следующими свойствами:
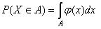
1. Вероятность попадания величины X в произвольный интервал на оси 0 x равна

(2.2)

т.е. интегралу по А от функции плотности.
Таким образом, функция плотности φ (x) полностью характеризует распределение случайной величины Х.
2. В частности, для интервала (x 1, x 2), получаем:

(2.3)

3. Так как вероятность неотрицательна, то из (2.2) следует, что φ (x) ≥ 0 для любого x.
4. Вероятность достоверного события равна 1, поэтому

(2.4)

Последнее равенство называется условием нормировки функции плотности.

График функции плотности распределения φ (x) называется кривой распределения (рис. 1).


Рис. 1. График плотности распределения φ (x) (кривая распределения)


Вероятность попадания случайной величины Х в интервал (x 1, x 2) численно равна площади соответствующей криволинейной трапеции. Из условия нормировки следует, что площадь области, ограниченной сверху кривой распределения, а снизу – осью 0 х, равна 1.
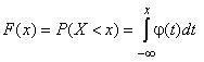
Функцией распределения случайной величины Х является функция F (x), равная вероятности события (Х < x), т.е. вероятности того, что случайная величина Х примет значение, меньшее значения аргумента х.
Для непрерывной случайной величины функция распределения равна

(2.5)

и обладает следующими свойствами:
1. 0 ≤ F (x) ≤ 1 для всех x;
2. F (–∞) = 0, F (+∞) = 1;
3. F (x) – неубывающая функция на всей оси;
4. F (x) – непрерывная функция, в точках непрерывности φ (x) она имеет производную:

F' (x) = φ (x) (2.6)

Вероятность попадания непрерывной случайной величины Х в произвольный интервал (x 1, x 2) можно вычислить с помощью функции распределения следующим образом:

P (X є (x 1, x 2)) = P (X < x 2) – P (X < x 1) = F (x 2) – F (x 1) (2.7)

Поэтому функция распределения F (х) так же, как и функция плотности распределения φ (x), полностью характеризует распределение вероятностей случайной величины Х и даже более удобна для расчетов вероятностей, так как не требует интегрирования.
В задачах статистики часто бывает нужно найти такое значение х по заданной вероятности Ρ, что

Ρ = P (X < x) = F (x) (2.8)

Данное уравнение может иметь, вообще говоря, множество решений. Но для большинства распределений, встречающихся в статистике, функция плотности распределения φ (x) строго положительна для всех Х из некоторого интервала и равна нулю вне этого интервала. Поэтому внутри этого интервала функция F (x) строго монотонно возрастает.
В этих случаях решение уравнения (2.8) существует и единственно для всех Ρ є (0; 1). Оно называется квантилью распределения и обозначается х Ρ (рис. 2).


Рис. 2. График функции распределения, квантиль и медиана случайной величины Х


Некоторые квантили имеют специальное название. Так, медианой непрерывной случайной величины Х называется действительное число mX, удовлетворяющее условию:

P (X < mX) = P (X > mX) = 0, 5, (2.9)

т. е. решение уравнения F (x) = 0, 5.
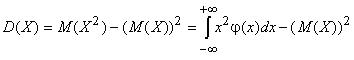
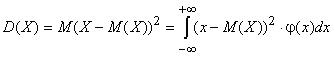
Математическое ожидание и дисперсия непрерывной случайной величины Х находят по формулам, которые следуют из выражения (2.1):

(2.10)


Дисперсию проще рассчитывать по следующей формуле:

(2.11)

Содержание типового расчета

Непрерывная случайная величина Х распределена с постоянной плотностью С в интервале (q 1, q 2), попадает с вероятностью R в интервал (z 1, z 2) и имеет там плотность распределения вида φ (x) = A ·| x – z 3|. Вне указанных интервалов функция плотности равна нулю. Значения некоторых параметров указаны в условии типового расчета.
Требуется:
1. Найти недостающие значения параметров.
2. Найти плотность распределения и функцию распределения случайной величины Х и построить их графики.
3. Вычислить математическое ожидание М (Х), дисперсию D (X) и среднее квадратическое отклонение σ (X) случайной величины Х.
4. Вычислить вероятность события P (| ХМ (Х)| < σ (Х)) двумя способами: с помощью функции плотности распределения и функции распределения.
5. Найти медиану случайной величины Х.


Поделиться с друзьями:

mylektsii.su - Мои Лекции - 2015-2026 год. (1.069 сек.)Все материалы представленные на сайте исключительно с целью ознакомления читателями и не преследуют коммерческих целей или нарушение авторских прав Пожаловаться на материал