Студопедия

Главная страница Случайная страница

КАТЕГОРИИ:

АвтомобилиАстрономияБиологияГеографияДом и садДругие языкиДругоеИнформатикаИсторияКультураЛитератураЛогикаМатематикаМедицинаМеталлургияМеханикаОбразованиеОхрана трудаПедагогикаПолитикаПравоПсихологияРелигияРиторикаСоциологияСпортСтроительствоТехнологияТуризмФизикаФилософияФинансыХимияЧерчениеЭкологияЭкономикаЭлектроника






Вопрос 4. Диагностика банкротства предприятия






С точки зрения менеджмента возможное наступление банкротства является кризисным состоянием предприятия. Это значит, что оно неспособно осуществлять финансовое обеспечение своей производст­венной деятельности. Неплатежеспособности предприятия соответст­вует неудовлетворительная структура его баланса.

Существующая официальная процедура диагностики кризисного состояния предприятия предусматривает определение четырех ко­эффициентов:

• коэффициента текущей ликвидности Ктл;

• коэффициента обеспеченности собственными средствами Косс;

• коэффициента восстановления платежеспособности предпри­ятия Квп;

• коэффициента утраты платежеспособности предприятия Куп.

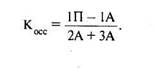
Ктл характеризует общую обеспеченность предприятия оборот­ными и денежными средствами для ведения хозяйственной деятель­ности, своевременности погашения его срочных обязательств

 

где 2А и ЗА — сумма «итого 2 и 3 разделов актива»; 2П — сумма «итого 2 раздела пассива».

Косс характеризует наличие собственных оборотных средств у предприятия, необходимых для его финансовой устойчивости:

 

Структура баланса предприятия неудовлетворительна, а пред­приятие неплатежеспособно, если:

Ктл < 2,

Косс< 0, 1.

Квп определяется как отношение расчетного Ктл к его установ­ленному значению. Расчетный Ктл определяется как сумма факти­ческого значения Ктл на конец отчетного периода и изменения зна­чения этого коэффициента между окончанием и началом отчетного периода в пересчете на период восстановления платежеспособности, установленный равным 6 месяцам.

 

где Ктл — фактическое значение (в конце отчетного периода) коэф­фициента текущей ликвидности;

Ктлн — значение коэффициента текущей ликвидности в начале

отчетного периода;

2 — нормативное значение коэффициента текущей ликвид­ности;

Т — отчетный период (3, 6, 9 или 12 месяцев).

6 — период восстановления платежеспособности (месяцы).

Если Квн > 1, это значит, что у предприятия есть реальная возможность восстановить свою платежеспособность, если Квн < 1, такой возможности нет.

При значении Квп < 1 определяется коэффициент утраты платеже­способности по формуле:

 

где 3 — период утраты платежеспособности предприятием (месяцы).

Если Куп > 1, это свидетельствует о наличии реальной возмож­ности предприятия не утратить платежеспособность. Если Куп < 1, предприятию грозит утрата платежеспособности.

Решение о признании структуры баланса неудовлетворительной по перечисленным основаниям может быть отложено на срок, опре­деляемый федеральным органом по делам о несостоятельности и финансовому оздоровлению, если установлено наличие реальной возможности восстановления платежеспособности предприятия. Преодоление кризисного состояния требует разработки специ­альных методов управления предприятием. Рыночная экономика сформировала систему методов предварительной диагностики и воз­можной защиты предприятия от банкротства. Цель антикризисного управления в этом случае формулируется следующим образом: возобновление платежеспособности и восста­новление достаточного уровня финансовой устойчивости предпри­ятия. Сообразно цели разрабатывается специальная политика анти­кризисного управления предприятия при угрозе банкротства. Она представляет собой часть общей стратегии предприятия и заключа­ется в разработке и использовании системы методов предварительной диагностики грозящего банкротства и механизмов оздоровления предприятия, обеспечивающих защиту от банкротства. Осуществление данной политики предусматривает реализацию следующих ступеней исследования.

1. Периодическое исследование финансового состояния пред­приятия с целью раннего обнаружения признаков его кризисного развития, вызывающих угрозу банкротства.

2. Определение масштабов кризисного состояния предприятия.

3. Изучение основных факторов, обусловивших (и обусловлива­ющих в предстоящем периоде) кризисное развитие предприятия.

4. Формирование целей и выбор основных механизмов антикри­зисного финансового управления предприятием при угрозе бан­кротства.

5. Внедрение внутренних механизмов финансовой стабилизации предприятия.

6. Выбор эффективных форм санации предприятия.

7. Финансовое обеспечение ликвидационных процедур при бан­кротстве предприятия. Эти функции менеджмента возлагаются на. ликвидационную комиссию.

Диагностика банкротства — прежде всего выявление объекта исследования. В первую очередь, это показатели текущего и пер­спективного потоков платежей и показатели формирования чистого денежного потока по производственной, инвестиционной и финан­совой деятельности предприятия. Не всегда отклонение от формально предписанных значений коэффициентов свидетельствует о необхо­димости объявления предприятия банкротом. Нередко ликвидация должника-банкрота невыгодна ни кредиторам, ни государству. С этой целью законом предусмотрена процедура восстановления платежеспособности предприятия.

Показатели, свидетельствующие о по­тенциальной возможности этого процесса. Уровень текущей угрозы банкротства определяется с помощью двух показателей: коэффици­ента текущей платежеспособности и коэффициента автономии, рас­сматриваемых в динамике. Устойчивая тенденция к снижению этих коэффициентов свидетельствует об «отложенной угрозе банкротства» (чем ниже абсолютные значения этих коэффициентов, тем более вероятна угроза банкротства). Оптимальное значение коэффициента платежеспособности составляет 0, 7, а коэффициента автономии — 0, 5, но в зависимости от специфики и масштабов организаций эти величины колеблются.

Возможность нейтрализовать угрозу банкротства за счет внутрен­него потенциала предприятия диагностируется с помощью двух по­казателей:

• коэффициента оборачиваемости активов

где ЧП — сумма чистой прибыли от реализации продукции;

СК — средняя сумма собственного капитала.

• коэффициента рентабельности капитала

 

где Ор — сумма общего оборота по реализации продукции в рас­сматриваемом периоде;

А — средний остаток активов в рассматриваемом периоде.

Первый коэффициент дает представление о том, в какой мере предприятие способно формировать дополнительные денежные потоки для удовлетворения возрастающих платежных обязательств.

Второй показывает степень скорости формирования этих дополни тельных денежных потоков.

Методы интегральной оценки угрозы банкротства основаны ни комплексном рассмотрении приведенных показателей. Одним из наиболее распространенных методов интегральной оценки является модель Альтмана. Это пятифакторная модель, факторами которой выступают показатели диагностики угрозы банкротства, такие, как:

1) отношение рабочего капитала к сумме всех активов предприятия (он показывает степень ликвидности активов);

2) уровень рентабельности активов или всего используемого капитала, представляющий собой отношение чистой прибыли к средней сумме используемых активов или всего капитала (он показывав! уровень генерирования прибыли);

3) уровень доходности активов (или всего используемого капитала). Этот показатель представляет собой отношение чистого доход;

(валового дохода за вычетом налоговых платежей, входящих в цену продукции) к средней сумме используемых активов или всего капи­тала (он показывает, в какой степени доходы предприятия достаточны для возмещения текущих затрат и формирования прибыли);

4) оборачиваемость активов или капитала, представляющая собой отношение объема продажи продукции к средней стоимости активом или всего используемого капитала;

5) коэффициент отношения суммы собственного капитала к заем­ному.

На основе этого обследования предприятий-банкротов автор модели рассчитал коэффициенты значимости и отдельных факторов в интегральной оценке вероятности банкротства.

Существуют и другие методы интегральной оценки, например расчет коэффициента финансирования трудноликвидных активов. Ни один из этих методов диагностирования нельзя считать совер­шенным, но тем не менее они дают возможность оценить степень вероятности банкротства, которая классифицируется как очень высо­кая, высокая, возможная, очень низкая. С учетом принадлежности результата к одной из этих характеристик переходят ко второму этапу диагностики, а именно, к определению масштабов кризисного состояния организации, при этом используются три его характерис­тики: легкий кризис, тяжелый кризис, катастрофа. В зависимости от масштабов кризисного состояния организации разрабатывается антикризисный механизм.

Заключительный этап диагностики банкротства — этап изучения основных факторов, обусловливающих кризисное развитие органи­зации. В общем виде их делят на внешние и внутренние. Исследу­ются только те факторы, входящие в их состав, которые оказывают негативное воздействие на деятельность организации. Степень этого воздействия может быть определена посредством одно- или много-факторных корреляционных моделей. Завершается этап составлением прогноза наиболее колеблющихся и чувствительных негативных факторов, способных вызвать банкротство организации в перспективе. По итогам факторного анализа разрабатывается антикризисный механизм банкротства.

Задача менеджмента состоит в том, чтобы своевременно распознать и обеспечить принятие таких управленческих решений, которые будут способствовать снижению влияния негативных процессов ia состояние объекта. Пусть не для полного предотвращения кризиса, хотя бы частичной локализации наиболее существенных его про-жлений. Содержание и результаты диагностических исследований позволят сделать вывод, что они являются одним из наиболее универсальных средств получения достоверной информации о состо­янии и отклонениях в развитии исследуемого объекта. Они особенно важны в менеджменте социально-экономических систем, поскольку могут заранее, до момента проявления отрицательных тенденций в каких-либо внутренних или внешних процессах, охватывающих их деятельность, выявить моменты, порождающие подобные тенден­ции, импульсы и принять соответствующие меры по их ликвидации или снижению степени негативных воздействий. Наибольший эф­фект от проведения диагностических исследований достигается в том случае, если они носят комплексный поступательный характер.

Тема 9. Возможность, необходимость и содержание антикризисного


Поделиться с друзьями:

mylektsii.su - Мои Лекции - 2015-2026 год. (0.977 сек.)Все материалы представленные на сайте исключительно с целью ознакомления читателями и не преследуют коммерческих целей или нарушение авторских прав Пожаловаться на материал