Студопедия

Главная страница Случайная страница

КАТЕГОРИИ:

АвтомобилиАстрономияБиологияГеографияДом и садДругие языкиДругоеИнформатикаИсторияКультураЛитератураЛогикаМатематикаМедицинаМеталлургияМеханикаОбразованиеОхрана трудаПедагогикаПолитикаПравоПсихологияРелигияРиторикаСоциологияСпортСтроительствоТехнологияТуризмФизикаФилософияФинансыХимияЧерчениеЭкологияЭкономикаЭлектроника






Математика, 11 класс

Задания

*Внимание! Во всех вопросах только один правильный ответ.

 

1. Если , то наименьшее значение выражения y m: val=" bi" /> < /m: rPr> < w: rPr> < w: rFonts w: ascii=" Cambria Math" w: h-ansi=" Cambria Math" /> < wx: font wx: val=" Cambria Math" /> < w: b/> < w: i/> < w: sz w: val=" 28" /> < w: sz-cs w: val=" 28" /> < /w: rPr> < m: t> sinО±sinОІ< /m: t> < /m: r> < /m: oMath> < /m: oMathPara> < /w: p> < w: sectPr wsp: rsidR=" 00000000" > < w: pgSz w: w=" 12240" w: h=" 15840" /> < w: pgMar w: top=" 1440" w: right=" 1440" w: bottom=" 1440" w: left=" 1440" w: header=" 720" w: footer=" 720" w: gutter=" 0" /> < w: cols w: space=" 720" /> < /w: sectPr> < /wx: sect> < /w: body> < /w: wordDocument> "> равно

A)

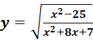
B)

C) – 0, 5

D) –

 

2. Чему равна сумма , если = a

A) 2– a

B) a –2

C) -2a

D) 2 a

 

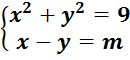
3. При каком значении m система уравнений не имеет решений?

A.

B. m=3

C.

D. m=3, 9

 

4. Сумма некоторого числа, большего 1, и числа, ему обратного, в раза меньше разности их квадратов. Найдите эти числа.

A. 1, 2 и 5/6

B. 9/8 и 8/9

C. 3 и 1/3

D. 5 и 0, 2


 

5. При каком значении a не имеет корней уравнение

A. A< 18

B. a∈ [0; 18)

C. a> 16

D. [18; +∞)

 

6. Найдите площадь фигуры, ограниченной линией |x|+|y|=6

A. 36

B.

C. 40

D. 72

 

7. Сумма двух чисел равна , а разность составляет . Произведение этих чисел равно:

A. 1

B. 4

C.

D. 6

 

8. Уравнение имеет одно решение при:

A. n=-0, 25

B. n∈ (-0, 25; +∞)

C. n=0, 25

D. n∈ [-0, 25; 0]

 

9. Область определения функции составляет множество

A. (-∞; -5] [5; +∞)

B. (-∞; -7) [-5; -1) [5; +∞)

C. (-∞; -7] [-5; -1] [5; +∞)

D. (-7; -1)


 

10. Перед сезоном подготовки к школе оптовая база закупила у изготовителя партию альбомов и поставила ее магазину по оптовой цене, которая на 30 % больше цены изготовителя. Магазин установил розничную цену на 20% выше оптовой. При распродаже в конце сезона магазин снизил розничную цену на альбом на 10 %. На сколько рублей больше заплатил покупатель по сравнению с ценой изготовителя, если приобрел альбом за 70, 2 рубля?

A. на 8, 02 руб.

B. на 10, 6 руб.

C. на 12 руб.

D. на 20, 2 руб.

 

11. Сумма площадей правильного четырехугольника, описанного около окружности, и правильного треугольника, вписанного в эту окружность, равна . Найдите длину окружности.

A. 8, 5π см

B. 8 π см

C. 10 см

D. 10 π см

 

12. Точка M не лежит в плоскости ромба ABCD. На отрезке BM взята точка N так, что MN: NB=1: 3. Точка К – точка пересечения прямой МС с плоскостью AND. Если AD=16, то отрезок NK равен:

A. 2 см

B. 4 см

C. 6 см

D. 8 см

 

13. Наименьшее значение функции равно:

A. -2

B. -0, 5

C. -1, 5

D. 0, 5

 

<== предыдущая лекция | следующая лекция ==>
Внецикловые потери tjоб, связанные с простоями станков | Решение. Решения некоторых задач линейного программирования с помощью MS Excel.
Поделиться с друзьями:

mylektsii.su - Мои Лекции - 2015-2026 год. (3.864 сек.)Все материалы представленные на сайте исключительно с целью ознакомления читателями и не преследуют коммерческих целей или нарушение авторских прав Пожаловаться на материал