Студопедия

Главная страница Случайная страница

КАТЕГОРИИ:

АвтомобилиАстрономияБиологияГеографияДом и садДругие языкиДругоеИнформатикаИсторияКультураЛитератураЛогикаМатематикаМедицинаМеталлургияМеханикаОбразованиеОхрана трудаПедагогикаПолитикаПравоПсихологияРелигияРиторикаСоциологияСпортСтроительствоТехнологияТуризмФизикаФилософияФинансыХимияЧерчениеЭкологияЭкономикаЭлектроника






Снятие вольт-амперных характеристик фотоэлемента и определение его интегральной чувствительности.






Сурьмяно-цезиевый фотоэлемент (СЦВ-4) выполнен в виде стеклянного баллона, внутри которого давление - мм. рт. ст. На одну половину внутренней поверхности баллона на подкладочный слой серебра нанесен сурьмяно-цезиевый Cs3Sb слой, служащий катодом. В центральной части баллона расположен анод А, имеющий форму сферы (рис.1).

 

 

 


Рис.1.

 

При постоянном световом потоке фототок зависит от направления, подаваемого между анодом и катодом.

Последовательность выполнения работы:

1. Подготовить таблицу экспериментальных данных:

Таблица1.

l, см U, В                        
  i, (мкА)                        
  i, (мкА)                        
  i, (мкА)                        

2. Собрать электрическую цепь по рис.1.

3. Лампу L поставить на расстоянии 20см от фотоэлемента.

4. Увеличивая напряжение последовательно на 10В, измерить фототок. При этом напряжение нужно увеличивать до тех пор, пока не наступит ток насыщения.

5. Результаты записать в таблицу 1.

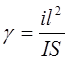
Известно, что величина фототока насыщения пропорциональна потоку световой энергии Ф, падающей на катод:

(2)

где γ – интегральная чувствительность фотоэлемента (мкА/лм).

Поток световой энергии выражается в системе СИ в люменах (лм):

(3)

где S – площадь фотокатода, равная 11 + 0, 2 см², I – сила источника света (для данного осветителя = 54 + 3 кд), l – расстояние от источника света до фотокатода. Из формул (2 и 3) получим:

(4)

6. По полученным данным построить график вольт-амперной характеристики фотоэлемента и вычислить интегральную чувствительность фотоэлемента по формуле (4).

7. Относительную погрешность экспериментального метода оценивают по формуле:

(5),

где для погрешности фототока Δ i берем половину цены шкалы микроамперметра.

8. Абсолютную погрешность вычисляют как произведение уже найденного значения относительной погрешности на среднее значение показателя по формуле: (6)

9. Результат записывается в виде (7)

Контрольные вопросы

 

1. Что такое фотон?

2. Что называют фотоэлектрическим эффектом?

3. Внутренний фотоэффект.

4. Внешний фотоэффект.

5. Сформулируйте законы внешнего фотоэффекта.

6. Уравнение Эйнштейна.

7. Работа выхода и связь ее со структурой и составом вещества

8. Красная граница фотоэффекта

9. Единицы измерения в фотометрии

10. Где применяется фотоэффект?

 

Литература

 

1. Курс физики // под ред. В.Н. Лозовского. – С-Пб., изд. Лань, 2001

2. Ландсберг Г.С. Оптика. – М., Гостехиздат, 1979

3. Иверонова В.И. Физический практикум. Электричество и оптика // под ред. В.И. Ивероновой – М., Наука, 1963

4. Кортнев А.В. и др. Практикум по физике, М., Высшая школа, 1961

5. Трофимова Т.И. Курс физики. – М.: Высшая школа, 2000

 


Поделиться с друзьями:

mylektsii.su - Мои Лекции - 2015-2026 год. (1.119 сек.)Все материалы представленные на сайте исключительно с целью ознакомления читателями и не преследуют коммерческих целей или нарушение авторских прав Пожаловаться на материал