Студопедия

Главная страница Случайная страница

КАТЕГОРИИ:

АвтомобилиАстрономияБиологияГеографияДом и садДругие языкиДругоеИнформатикаИсторияКультураЛитератураЛогикаМатематикаМедицинаМеталлургияМеханикаОбразованиеОхрана трудаПедагогикаПолитикаПравоПсихологияРелигияРиторикаСоциологияСпортСтроительствоТехнологияТуризмФизикаФилософияФинансыХимияЧерчениеЭкологияЭкономикаЭлектроника






Определяем режим течения в трубах по значению числа Re

Reв = Wв d внв

d вн внутренний диаметр труб, м;

ν в кинематический коэффициент вязкости нагреваемой среды, м2

ν вв/ ρ в

μ в динамический коэффициент вязкости нагреваемой среды /7/, Па∙ с.

Reв < 2300 - ламинарный режим

здесь:

· - теплопроводность воды /7/, Вт/(м∙ К);

· индекс «f» - означает, что физиче­ские свойства определяются по средней температуре жидкости tf = 0, 5 (tв.вых + t в.вх );

· индексы «w» и «г» означают, что физиче­ские свойства жидкости выбираются, соответственно, при температуре стенки tw и температуре граничного слоя tГ = 0, 5 (tf + tw),

· температуру стенки определяем как среднюю между температурами нагреваемой и греющей среды: tw = 0, 5 (tf + tнас).

Reв > 10000 - турбулентный режим

ε l =1 при l/d > 50.

α вн = /dвн.∙

3.4. Расчёт коэффициента теплоотдачи снаружи трубки при конденсации пара

Пар полностью конденсируется в аппарате (сквозной проток пара отсутствует), поэтому для расчёта используем формулы для неподвижного пара при конденсации на вертикальной поверхности.

Во-первых необходимо определить режим течения плёнки конденсата по значению числа Re

Re = Dп / (П∙ μ пл)

индекс «пл» - означает, что физиче­ские свойства определяются по средней плёнки конденсата [ t пл =0.5(tw + tнас)].

Re = Dп / (П μ пл); при Re < 400 - ламинарный режим

где П- суммарный периметр труб

П = π dнар nтр.

Для ламинарного режима течения плёнки конденсата применяем уравнение Нуссельта:

h = высота трубного пучка, м;

Δ t = tнас- tw.

В уравнении Нуссельта коэффициент С=0, 943

Для Re > 10 рекомендуется коэффициент увеличить до С = 1, 13 для учёта волнового движения плёнки.

 

 

Для турбулентного режима течения плёнки конденсата (Re > 400):

Здесь:

Если число Re несущественно больше 400 допустимо вести расчёт по формулам для ламинарного режима. Анализ экспериментальных данных показывает, что при Re < 1000 погрешность не будет превышать 20%. Результат расчёта в приближении ламинарного режима будет консервативный, что приемлемо для эскизного проекта. На дальнейших этапах проектирования расчёт нужно повторить итеративно до получения необходимой точности.

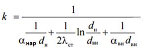
3.5. Расчёт термического сопротивления теплообменника и поверхности теплообмена

Δ tб = tнас - t в.вх

Δ tм = tнас - t в. вых.

здесь: λ ст – теплопроводность стенки (см. приложение)

<== предыдущая лекция | следующая лекция ==>
 | Предыстория ОС
Поделиться с друзьями:

mylektsii.su - Мои Лекции - 2015-2026 год. (2.097 сек.)Все материалы представленные на сайте исключительно с целью ознакомления читателями и не преследуют коммерческих целей или нарушение авторских прав Пожаловаться на материал