Студопедия

Главная страница Случайная страница

КАТЕГОРИИ:

АвтомобилиАстрономияБиологияГеографияДом и садДругие языкиДругоеИнформатикаИсторияКультураЛитератураЛогикаМатематикаМедицинаМеталлургияМеханикаОбразованиеОхрана трудаПедагогикаПолитикаПравоПсихологияРелигияРиторикаСоциологияСпортСтроительствоТехнологияТуризмФизикаФилософияФинансыХимияЧерчениеЭкологияЭкономикаЭлектроника






Отопление






ТЕПЛОВОЕ ПОТРЕБЛЕНИЕ

КЛАССИФИКАЦИЯ ТЕПЛОВЫХ НАГРУЗОК

 

В системах централизованного тепло­снабжения (СЦТ) по тепловым сетям пода­ется теплота различным тепловым потреби­телям. Несмотря на значительное разнооб­разие тепловой нагрузки, ее можно разбить на две группы по характеру протекания во времени: I) сезонная;

2) круглогодичная.

Изменения сезонной нагрузки зависят от климатических усло­вий: температуры наружного воздуха, на­правления и скорости ветра, солнечного из­лучения, влажности воздуха и т.п. Основ­ную роль играет наружная температура. Се­зонная нагрузка имеет сравнительно посто­янный суточный график и переменный го­довой график нагрузки. К сезонной тепло­вой нагрузке относятся отопление, вентиля­ция, кондиционирование воздуха.

К круглогодичной нагрузке относятся технологическая нагрузка и горячее водо­снабжение.

График технологической нагрузки зави­сит от профиля производственных предпри­ятий и режима их работы, а график нагруз­ки горячего водоснабжения — от благоуст­ройства жилых и общественных зданий, со­става населения и распорядка его рабочего дня, а также от режима работы коммуналь­ных предприятий — бань, прачечных. Эти нагрузки имеют переменный суточный гра­фик. Годовые графики технологической на­грузки и нагрузки горячего водоснабжения также в определенной мере зависят от вре­мени года. Как правило, летние нагрузки ниже зимних вследствие более высокой температуры перерабатываемого сырья и водопроводной воды, а также благодаря меньшим теплопотерям теплопроводов и производственных трубопроводов.

Одна из первоочередных задач при про­ектировании и разработке режима эксплуа­тации систем централизованного тепло­снабжения заключается в определении значений и характера тепловых нагрузок.

В том случае, когда при проектировании установок централизованного теплоснаб­жения отсутствуют данные о расчетных расходах теплоты, основанных на проектах теплопотребляющих установок абонентов, расчет тепловой нагрузки проводится на ос­нове укрупненных показателей. В процессе эксплуатации значения расчетных тепло­вых нагрузок корректируют по действительным расходам. С течением времени это дает возможность установить проверенную тепловую характеристику для каждого по­требителя.

СЕЗОННАЯ НАГРУЗКА

 

Отопление

 

Основная задача отопления -это поддержание внутренней температуры помещений на заданном уровне. Для этого необходимо сохранение равновесия между тепловыми потерями здания и теплопритоком. Условие теплового равновесия здания может быть выражено в виде равенства

где Q — суммарные тепловые потери зда­ния; QT — теплопотери теплопередачей че­рез наружные ограждения; Qи — теплопо­тери инфильтрацией из-за поступления в помещение через неплотности наружных ограждений холодного воздуха; Q0 —подвод теплоты в здание через отопи­тельную систему; Qrv — внутренние тепло­выделения.

Тепловые потери здания в основном за­висят от первого слагаемого Qr. Поэтому для удобства расчета можно тепловые поте­ри здания представить так:

где m= Qи/Qт; — коэффициент инфильтра­ции, представляющий собой отношение теплопотерь инфильтрацией к теплопотерям те­плопередачей через наружные ограждения.

Источником внутренних тепловыделе­ний Qтв, в жилых зданиях являются обычно люди, приборы для приготовления пищи (газовые, электрические и другие плиты), осветительные приборы. Эти тепловыделе­ния носят случайный характер и не поддаются никакому регули­рованию во времени.

Для обеспечения в жилых районах нор­мального температурного режима во всех отапливаемых помещениях обычно уста­навливают гидравлический и температур­ный режим тепловой сети по наиболее не­выгодным условиям, т.е. по режиму отопле­ния помещений с нулевыми тепловыделе­ниями (QTB = 0).

Для предупреждения существенного по­вышения внутренней температуры в поме­щениях, в которых внутренние тепловыде­ления значительны, необходимо периоди­чески выключать часть отопительных при­боров или снижать расход теплоносителя; через них.

Качественное решение этой задачи возможно лишь при индивидуальной автома­тизации, т.е. при установке авторегулято­ров непосредственно на нагревательных приборах и вентиляционных калориферах.

Источник внутренних тепловыделений в промышленных зданиях - тепловые и си­ловые установки и механизмы (печи, сушила, двигатели и др.) различного рода. Внут­ренние тепловыделения промышленных предприятий довольно устойчивы и нередко представляют существенную долю расчетной отопительной нагрузки, поэтому они должны учитываться при разработке режима теплоснабжения промышленных, районов.

Теплопотери теплопередачей через наружные ограждения, Дж/с или ккал/ч, мо­гут быть определены расчетным путем по формуле

где F — площадь поверхности отделы; k – коэффициент теплопередачи наружных ограждений; Dt – разность температур воздуха с внутренней и наружной сторон ограждающих конструкций.

Теплопотери теплопередачей можно определить по формуле Ермолаева:

 

 

где kс, kок, kпл, kпт – коэффициенты теплопередачи стен, окон, пола нижнего этажа, потолка верхнего этажа; j - коэффициент остекления, т.е. отношение площади окон к площади вертикальных ограждений; y1 и y2 – поправочные коэффициенты на расчетный перепад температур для верхнего и нижнего горизонтальных ограждений; tв – усредненная температура внутреннего воздуха отапливаемых помещений; tн – температура наружного воздуха.

Теплогютери путем теплопередачи че­рез наружные ограждения здания

a полные теплопотери с учетом инфильт­рации

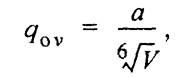
где qov – удельные теплопотери здания.

Для жилых и общественных зданий при правильной эксплуатации максимальный коэффициент инфильтрации в большинстве случаев составляет 3 - 6 %, что лежит в пределах погрешности расчета теплопотерь. Поэтому для упрощения инфильтра­цию не вводят в расчет, т.е. принимают m= 0. Для учета инфильтрации значение удельных теплопотерь принимают с не­большим запасом.

Теплопотери инфильтрацией промыш­ленных зданий нередко достигают 25 — 30 % теплопотерь через наружные ограждения, и их необходимо учитывать при расчете.

Расчетный расход теплоты на отопление необходимо определять для расчетной наружной температу­ры для проектирования систем отопления tно, равной средней тем­пературе наиболее холодных пятидневок, взятых из восьми наиболее холодных зим за 50-летний период.

Температура внутренней поверхности наружных стен непосредственно влияет на интенсивность теплоотдачи излучением от поверхности человеческого тела при нахо­ждении человека в жилых и общественных зданиях; максимальная разность между температурой воздуха в помещениях и тем­пературой внутренней поверхности наруж­ных стен должна быть не выше 6 °С.

Удельные теплопотери жилых и обще­ственных зданий с наружным объемом V > 3000 м, сооруженных по новым проек­там после 1985 г., атакже более утепленных зданий, сооруженных ранее, в районах с расчетной наружной температурой для отопления tно = - 30 °С могут быть ориентировочно вычислены как

где a= 1, 85 Дж/(м2'5 • с • К) = 1, 72 ккал/(м2, 5 • ч • °С).

При определении тепловой нагрузки вновь застраиваемых районов и отсутствии данных о типе и размерах намечаемых к со­оружению общественных зданий можно ориентировочно принять расчетный расход теплоты на отопление общественных зда­ний равным 25 % расчетного расхода тепло­ты на отопление жилых зданий района.

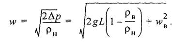
Инфильтрация наружного воздуха в по­мещениях происходит под действием пере­пада (разности) давлений наружного и внут­реннего воздуха. Этот перепад давлений представляет собой сумму двух слагаемых:

где г и D рв — гравитационный и ветро­вой перепады давлений, Па,

Здесь L — свободная высота здания (для жилых и общественных зданий — высота этажа), м; g — ускорение свободного падения; wb -— скорость вет­ра, м/с; rн, rв — плотности наружного и внутреннего воздуха, кг/м.

Скорость прохождения инфильтруемого воздуха через живое сечение неплотностей в наружных ограждениях зданий, м/с,

Теплопотери с инфильтрацией

где F – площадь суммарного сечения неплотностей в наружных ограждениях; св – объемная теплоемкость воздуха.

Коэффициент инфильтрации

где b = cBF/qovV — постоянная инфильтра­ции, с/м.

Значение постоянной инфильтрации, должно определяться опытным путем. При отсутствии опытных данных можно для ори­ентировочных расчетов принимать следую­щие значения, м/с:

Для отдельно стоящих промыш­ленных зданий с большими све­товыми проемами........................ (35—40)10-3

Для жилых и общественных зда­ний с двойным остеклением при сплошной застройке кварталов.…… (8—10)10-3

Расчетными теплопотерями называются теплопотери при расчетной наружной тем­пературе tно. Рас­четные теплопотери здания с учетом ин­фильтрации:

При постоянном значении коэффициен­та инфильтрации здания отношение теплопотерь Q данного здания или группы зданий при любой наружной температуре tн > tно красчетным теплопотерям

При отсутствии данных о типе застройки и наружном объеме жилых и общественных зда­ний строительными нормами и правилами СНиП II 04.07.86 «Тепловые сети» реко­мендуется определять расчетный расход тепло­ты на отопление жилых и общественных зданий по формуле

где q0 - укрупненный показатель максимального расхода теплоты на отопление I м2 площади жилых зданий, Вт/м [Дж/(с • м)]; А — общая площадь жилых зданий, м2; К1 — коэффициент, учитывающий расход те­плоты на отопление общественных зданий. При отсутствии данных рекомендуется принимать К} = 0, 25.

Для экономного использования топлива весьма важное значение имеет выбор начала и конца отопительного сезона. Начало и конец отопительного сезона для жилых и общест­венных зданий обычно регламентируются мест­ными органами власти.

Действующими в нашей стране строитель­ными нормами и правилами продолжительность отопительного периода определяется по числу дней с устойчивой среднесуточной температу­рой +8 °С и ниже. Эту наружную темпера­туру обычно считают началом и концом отопительного периода tнк = 8 °С.

Переход от директивной экономики к рыноч­ной в принципе снимает какие-либо ограниче­ния в назначении продолжительности отопи­тельного периода. Эту продолжительность (на­чало и конец) определяет потребитель тепловой энергии — абонент энергоснабжающей органи­зации. В то же время для энергоснабжающей ор­ганизации важно знать продолжительность пе­риода, в течение которого будет иметь место спрос на теплоту, подлежащий удовлетворению энергоснабжающей организацией. Такой спрос на теплоту должен определяться, как правило, на основании многолетних статистических дан­ных с учетом прогноза роста (снижения) при­соединенных к тепловым сетям тепловых нагру­зок. Нормы СНиП должны применяться в основ­ном при решении проектных, а не эксплуатаци­онных задач.

Начало и конец отопительного сезона для промышленных зданий опреде­ляются наружной температурой, при кото­рой теплопотери через наружные огражде­ния делаются равными внутренним тепло­выделениям. Так как тепловыделения в промышленных зданиях значительны, то в большинстве случаев длительность отопи­тельного сезона для промышленных зданий короче, чем для жилых и общественных. Среднесуточная температура наружного воздуха, соответствующая началу и концу отопительного сезона промышленных зда­ний с большими внутренними тепловыделе­ниями, может быть найдена по формуле


Поделиться с друзьями:

mylektsii.su - Мои Лекции - 2015-2026 год. (0.404 сек.)Все материалы представленные на сайте исключительно с целью ознакомления читателями и не преследуют коммерческих целей или нарушение авторских прав Пожаловаться на материал