Студопедия

Главная страница Случайная страница

КАТЕГОРИИ:

АвтомобилиАстрономияБиологияГеографияДом и садДругие языкиДругоеИнформатикаИсторияКультураЛитератураЛогикаМатематикаМедицинаМеталлургияМеханикаОбразованиеОхрана трудаПедагогикаПолитикаПравоПсихологияРелигияРиторикаСоциологияСпортСтроительствоТехнологияТуризмФизикаФилософияФинансыХимияЧерчениеЭкологияЭкономикаЭлектроника






Модели множественной регрессии






Построение модели множественной регрессии (или многофакторная модель) заключается в нахождении уравнения связи нескольких показателей у и х1, х2 и т.д., т.е. определяется как повиляет изменение показателей хi на величину y.

Для построения модели множественной регрессии используют:

линейную модель

степенную модель

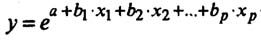
экспоненциальную модель

Для анализа уравнения множественной регрессии применяют метод наименьших квадратов

 
 

(МНК). Для линейных уравнений, а также нелинейных уравнений, которые необходимо привести к линейным, составляется система нормальных уравнений:

 

Для решения этой системы целесообразно применить метод определителей:

где числители в 1-м уравнении - частные определители параметров а и b, получаемые заменой соответствующего столбца матрицы определителя системы значениями левой части системы.

Другим видом уравнения множественной регрессии, которое не редко нужно находить в контрольных работах является уравнение в стандартизированном масштабе:

bi (бета)- стандартизованные переменные

К такому уравнению также применим МНК

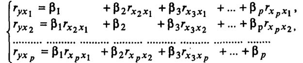
Стандартизованные коэффициенты регрессии определяют из данной системы уравнений:

Связь стандартизованных коэффициентов с коэффициентами множественной регрессии bi в эконометрике определяются следующим уравнением

Параметр а рассчитывается по формуле

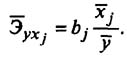
Средние коэффициенты эластичности для линейной регрессии определяют по формуле

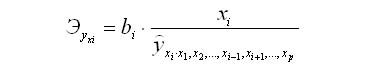
Для расчета частных коэффициентов эластичности используется формула:



Поделиться с друзьями:

mylektsii.su - Мои Лекции - 2015-2026 год. (5.039 сек.)Все материалы представленные на сайте исключительно с целью ознакомления читателями и не преследуют коммерческих целей или нарушение авторских прав Пожаловаться на материал