Студопедия

Главная страница Случайная страница

КАТЕГОРИИ:

АвтомобилиАстрономияБиологияГеографияДом и садДругие языкиДругоеИнформатикаИсторияКультураЛитератураЛогикаМатематикаМедицинаМеталлургияМеханикаОбразованиеОхрана трудаПедагогикаПолитикаПравоПсихологияРелигияРиторикаСоциологияСпортСтроительствоТехнологияТуризмФизикаФилософияФинансыХимияЧерчениеЭкологияЭкономикаЭлектроника






Определяется трудоемкость работ






Трудоемкость – это затраты живого труда на производство единицы продукции или единицы работ.

Расчет трудоемкости осуществляется двумя методами:

- технико-экономическим;

- опытно-статистическим.

Опытно-статистический метод можно реализовать двумя путями: методом аналогов и вероятностным методом.

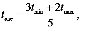
Для определения ожидаемого значения продолжительности работ t ож вероятностным методом необходимо воспользоваться формулой:

(4.3)

где tmin - минимальная трудоемкость работ, ч.-дн.;

tmax -максимальная трудоемкость работ, ч.-дн.

Сроки tmin и tmax устанавливает руководитель.

Рассчитанная по формуле (4.3) продолжительность работ будет выражена в чел-днях.

Установление любого времени работ сопровождается риском, так как можно не уложиться в данное время по каким-либо причинам. Для этого рассчитывается среднеквадратичное отклонение:

σ 2=0, 04× (tmax - tmin)

Для построения линейного графика необходимо рассчитать длительность этапов в рабочих днях, а затем перевести в календарные дни. Расчет длительности работ в рабочих днях осуществляется по формуле:

,

где tОЖ - трудоемкость работы, ч. - дни;

p - количество смен в сутки (p=1);

КВН - коэффициент выполнения нормы (КВН =1);

с - число работников, занятых в выполнении данной работы;

КД - коэффициент, учитывающий дополнительное время на компенсации и согласование работ (КД =1.2).

Длительность этапов в календарных днях:

,

где tК - коэффициент календарности.

tккал/(Ткалвдпд),

где ТКА Л – число календарных дней в году;

ТВД – количество выходных дней;

ТПД – количество праздничных дней в году.

Результаты расчетов представить в таблице 3.

Таблица 3 - Трудозатраты на проведение НИР

№ этапа Содержание этапа Исполнители Трудоемкость работ, чел-дни σ 2 Длительность работ, дни
tmin tmax tож tрд tкд
                 
  Подэтап 1 Р И     1, 4 0, 04 0, 84  
  Подэтап 2 Р И     8, 8 0, 08 5, 28  
  Подэтап 3 И     10, 8 0, 08 12, 96  
  Подэтап 4 Р И     10, 8 0, 08 6, 48  
  Подэтап 5 И     10, 8 0, 08 12, 96  
  Подэтап 6 И     12, 8 0, 08 15, 36  
  Подэтап 7 Р И     18, 8 0, 08 11, 28  
  Подэтап 8 И     31, 6 0, 16 37, 92  
  Подэтап 9 И     8, 2 0, 12 9, 84  
Итого:       0, 8 107, 64  

 


Поделиться с друзьями:

mylektsii.su - Мои Лекции - 2015-2026 год. (1.891 сек.)Все материалы представленные на сайте исключительно с целью ознакомления читателями и не преследуют коммерческих целей или нарушение авторских прав Пожаловаться на материал